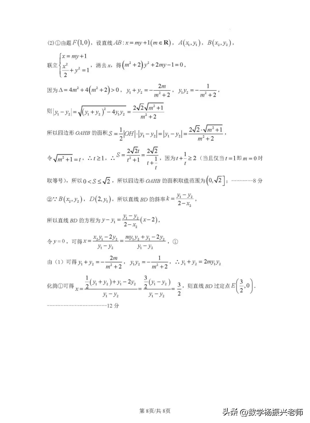
2023-2024三明高一期末考试 (福建三明2020高一上期末数学)

福建三明2020高一上期末数学,三明一检数学2024试卷

福建三明2020高一上期末数学,三明一检数学2024试卷

福建三明2020高一上期末数学,三明一检数学2024试卷

福建三明2020高一上期末数学,三明一检数学2024试卷

福建三明2020高一上期末数学,三明一检数学2024试卷

福建三明2020高一上期末数学,三明一检数学2024试卷

福建三明2020高一上期末数学,三明一检数学2024试卷

福建三明2020高一上期末数学,三明一检数学2024试卷

福建三明2020高一上期末数学,三明一检数学2024试卷

福建三明2020高一上期末数学,三明一检数学2024试卷

福建三明2020高一上期末数学,三明一检数学2024试卷

福建三明2020高一上期末数学,三明一检数学2024试卷

福建三明2020高一上期末数学,三明一检数学2024试卷

福建三明2020高一上期末数学,三明一检数学2024试卷