泊松过程概念 (泊松分布预测产品失效率)

当今社会,生产质量的高低是企业竞争中的一个重要标志。在实际生产中,需要利用各种数学模型和数据分析方法对生产过程进行质量控制,以保证产品在规定时间内生产出来,并达到预期的质量要求。其中,泊松分布是一种常见的应用于生产过程的概率分布模型之一,本文将从以下几个方面详细地介绍利用泊松分布进行生产过程质量控制的方法。

一、泊松分布的概念及模型

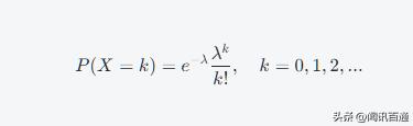
泊松分布是一种具有单参数 λ 的离散随机变量分布模型。其概率质量函数可以表示为:

泊松分布和泊松过程,泊松过程的四个特性是什么

其中,λ 表示单位时间内事件发生的平均次数,X 表示在单位时间内发生 k 次事件的概率。泊松分布的特点是在 λ 相同的情况下,任何两个相邻状态的间隔概率相同,即呈现出“长尾”的分布形态。

泊松分布和泊松过程,泊松过程的四个特性是什么

二、泊松分布在生产过程中的应用

在生产过程中,可以使用泊松分布来建模单位时间内的不良品数量。例如,在某一生产线中,每小时生产的不良品数量可以按照泊松分布进行建模。设 λ 为一个小时内生产不良品的平均值,则有:

泊松分布和泊松过程,泊松过程的四个特性是什么

其中,X 表示一个小时内生产 k 个不良品的概率。基于该分布,可以进一步进行生产过程的质量控制。

泊松分布和泊松过程,泊松过程的四个特性是什么

三、利用泊松分布进行生产过程质量控制的方法

在利用泊松分布进行生产过程质量控制时,我们可以根据历史数据估计出该生产过程中单位时间内的平均不良品数量 λ。然后,可以根据统计学原理计算出在一个单位时间内产生超过给定不良品数量(例如,每小时不能生产超过2个不良品)的概率,即:

泊松分布和泊松过程,泊松过程的四个特性是什么

其中,k 为给定的不良品数量。如果 P(X≥k) 的概率小于给定的阈值(例如,0.05),则该生产过程可以被认为具有较好的质量水平。如果 P(X≥k) 的概率大于给定的阈值,则说明该生产过程存在一定的质量问题,需要及时进行调整。

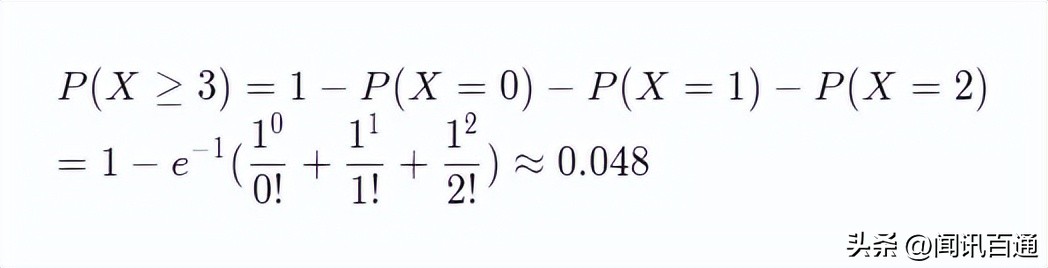
例如,在单位时间内不能超过2个不良品的生产过程中,如果λ=1,则在一个小时内产生3个或更多的不良品的概率为:

泊松分布和泊松过程,泊松过程的四个特性是什么

也就是说,在该生产过程中,每小时生产3个或更多的不良品的概率为4.8%,小于给定的阈值0.05,因此可以认为该生产过程具有较好的质量水平。如果该生产过程生产出了3个或更多的不良品,则需要及时进行调整,以提高质量水平。

泊松分布和泊松过程,泊松过程的四个特性是什么

四、总结

在实际生产过程中,泊松分布可以用于建模单位时间内产生不良品的数量,从而进行生产过程的质量控制。通过估计 λ 并计算超过给定不良品数量的概率,可以有效地控制生产过程中的质量,并及时发现并解决问题,提高生产效率和质量。在应用过程中,需要注意选择合适的阈值和采集足够的历史数据,以提高模型的准确性。