
本文转自图灵新知, [遇见数学]已获转发授权
伟大的发现会成为未来的常识。

01
微积分的本质
“微积分的基本定理”是微积分的重要知识。打比方来说,这 就相当于金枪鱼中珍贵的鱼腩部分。高中的教科书里一般都会涉及 这方面的内容,比如“微分和积分互为逆运算”等。
这个表述确实没有错误。如果说是否正确,那当然是对的。

“微分和积分互为逆运算”这句话表述有些过于简洁,它具体的意思是什么呢?我非常希望大家能理解其本质。
大家是否曾觉得圆和球是相似的东西?关于圆和球存在以下 表述:
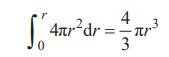
(1)“圆的面积”的微分就是“圆的周长”;
(2)“球的体积”的微分就是“球的表面积”。这些表述有些让人摸不着头脑,果真如此吗?
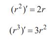
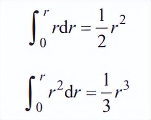
(1)半径为r的圆的面积是

对r微分后得出

这与半径为r的圆周长完全一样。
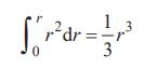
(2)半径为r的球的体积是

对r微分后得出

这是半径为r的球的表面积。

(1)设半径为r的圆(圆板)的面积是关于r的函数:

依照我们的老办法,现在思考“圆的半径增加Δr 时,面积会 增加多少”。
请观察图 95 中的大圆。圆的半径增加Δr时,哪里会增加呢?增加的部分是薄圆环。这个环状面积大致可以表示为:
圆的周长×Δr
即面积增加的部分(ΔS)为
ΔS ≈圆的周长×Δr

在这里,出现了一个符号“约等于”(≈)。因为外侧圆的周长 稍微比内侧圆的周长大一些。虽说有必要使用约等于号,但是总会 让人觉得不严谨。如果可以的话,还是尽可能转化为等号。
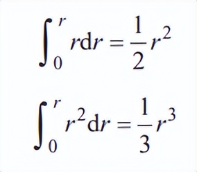
因此,首先将式子的两边除以Δr,因为

取Δr → 0时

的极限。这样一来,去掉“约”,即为

所以“圆的面积”的微分=“圆的周长”成立。
(2)我们用和(1)相同的思路来思考 “球的体积”的微分 = “球的表面积”。
半径为r的球的体积为

与圆的情况一样,我们来思考“球的半径增加Δr时,体积会增加 多少”。
根据图 96 可知,体积增加的部分是球外侧很薄的那一部分皮。假设球为乒乓球,可以说增加的部分是用赛璐珞做成的部分(乒乓 球本身)。为了便于观察,图 96 中的球体增加了较为夸张的厚度。这层薄皮的体积大致为
球的表面积×Δr
也就是说,体积增加的部分ΔV为

和圆的做法一样,两边除以Δr,取Δ 0 r → 时

的极限,得到

与刚刚的“圆的面积”的微分是“圆的周长”同理,可知“球 的体积”的微分=“球的表面积”成立。
根据以上证明可知,本节开篇所讲(1)、(2)虽然让人觉得不 可思议,但确实都是成立的。
实际上,这个关系就是“微积分的基本定理”。但是这其实是从不同的角度 讲解了相同的内容。详细来说即为以下内容。
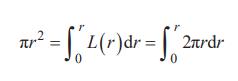
第一,我们可以认为“圆面积的微分”最终就是(在使Δr 趋向于 0 的极限情况下)把圆分割成薄圆环状。也就是说,粗略来讲 的话,微分就是从圆板上多个同心圆之间排列的薄圆环中,取出 1 个薄圆环。另一方面,积分则是累加极薄圆环的面积从而求出圆的 面积(图 97)。

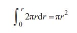
圆环的面积(≈ L(r)Δ r)等于圆的周长乘以Δr,累加所有圆环 面积就是圆的面积。所以圆的面积等于

即

成立。将式子两边除以2π,得出

第二,关于球的内容,累加“表面积×Δr ”,就能求出球整体 的体积。所以

成立。
将式子两边除以4π,得出

把微分公式

代入,得出积分公式

即“分割”成较小部分的操作是微分,相反,“累加”较小部分的 操作是积分(图 98)。

微分和积分就像硬币的正反面,是完全相反的关系。

02
基本定理的使用方法
真正理解了“微积分的基本定理”,就会觉得这东西并不复杂。但是,这个定理的厉害之处在于应用范围很广。虽然看起来很普 通,但是很实用。
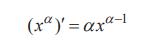
比如说“幂函数的微分公式”是

我们以此来尝试推导“幂函数的积分公式”。
根据微积分的基本定理可知,幂函数的微分公式的意思可以用 图 99 来表示。

即幂函数的微分公式的意思是:

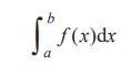
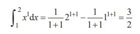
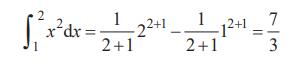
改变α的值就可以不断列举出:

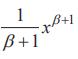
把这些式子(也可以说是句子)依次分别除以 3、4,可以 得出:

积分式子即使无限地写下去,其意思也十分简单。
也就是说,一般“指数增加 1”后写在分母和x的右上角,即

但是,有一点必须要注意。
实际上到目前为止,我们使用“积分”这个词时,意思是有 些不清晰的。比如说,在刚刚解释的幂函数中,微分

可以得到

但是,还存在其他函数,其微分结果也为

这里,我们漏掉 了微分得 0 的函数。问题就在于此。即如果将

微分的话,其结果也得

“微分得 0 的函数”也就是“没有变化的函数”,这种函数叫作“常数函数”。常数函数的斜率为 0,即对于任何 x 值函数的结果都 相同。设常数函数值为C,则可以写成

如图 100 所示,常数函数的函数值没有变化。其中的常数C,可以 是 100,可以是 -50,也可以是 10 万亿。重要的是C“没有变化”, 而不是数值本身是大是小。


这是幂函数的积分公式。
对f( x ) 的微分进行积分得出的函数,叫作“f (x ) 的原函数”, 写作F (x),即

原函数中始终存在“一项不定数值 C(不定项)”。在这里,“通过 积分求出原函数”,这叫作不定积分。相反,像之前提到求取面积 或者体积的积分,叫作定积分。不定积分和定积分不同,原则上不 写“从哪里到哪里的积分”。
多出的这个 C,就像多余的装饰品让人无法平静,不过可以不 用在意。因为在计算面积等问题时,C 就会消失。
例如,图 101 中灰色部分的面积,用定积分符号表示的话, 写作

这个定积分的值为





这里有一条向右上方倾斜 45°的直线y x = 。
从x =1到x = 2之 间的面积是多少(图 102)?

因为灰色部分是梯形,所以可以用(上底 +下底) × 高 ÷ 2 的 公式计算面积。图中的梯形往左边倾倒,上底的值为x =1时y的值, y = x=1。下底也一样,为x = 2时y的值,y = x= 2。高是2 −1 = 1,所以面积是

另一方面,使用积分公式可得

这与梯形面积公式计算出来的结果完全相等。
下面,我们来看抛物线的例子。
图 103 是抛物线部分图像。计算从x =1 到x = 2 的面 积。这次的图无法再使用“梯形面积公式”,所以只能使用积分。

套用积分公式得出

看,一瞬间就可以得出答案。没有积分似乎很难计算出来。不得不 说,积分真是太厉害了。
顺便说一下,前文说到圆的面积、球的表面积时出现了公式

这里只是把x换成了r,是幂函数的积分公式的特殊情况(分别为β =1、β = 2)。

03
近似和忽略
微积分的本质在于近似与忽略。近似指的是忽 略一些东西,只给出大概的答案。
即使是复杂的形状,也可以将其视为简单长方形的组合(积 分),函数在局部可以视为切线或者抛物线(微分),这个思考角度 才是微积分的要领。
重要的是不要在意细节。不在意细小的部分,“用直线段近似 函数图像”就可以搞清楚容积最大的冰激凌蛋卷筒是什么形状,也可以“把曲线看作折线的组合”来计算悬链线的长度。虽然整体计算很难,但分成较小的部分就会变成简单的累加。这就是微积分厉害之处。
实际上,这种思想并不仅限于微积分,可以说整个数学都是这样的。微积分则是了解该方法有效性的最好素材。
实际上,我们居住的现实世界中,近似可以说是无处不在。比如,不存在无限小的东西(无法比基本粒子更小),宇宙也并非无限广阔。
但是,在实际的微积分中,要考虑无限小的量,或者无限大的空间,这是近似。忽略基本粒子的大小,搁置宇宙的边界限制,这种想法或许与事实相悖,但是这种方法给我们带来的恩惠却不可估量。
微分积分的内容是从细致分割图形开始讲起的,之后又讲到自然常数e,最后又到悬链线的长度。读到这里,大家是不是已经自然而然地认可“近似和忽略”的思考方法呢?如果是的话,那么这就是很大的进步了。
推荐阅读
简单微积分 学校未教过的简易入门技巧 普林斯顿读本 入门教材
¥48.5
购买