
小伙伴们好
2021年新的公务员上岸机会来啦
大家一定要好好准备,厚积薄发
争取在下半年开展的国考中一举上岸
概率问题一直是每年必考查的题型
今天就跟着图图来梳理一下
“在一起”这一具体概率模型
在一起
整个概率知识非常的丰富复杂,但公考中的概率问题考查得十分简单,反而它的基础知识——排列组合问题在公考中十分容易出难题;因此考场上考生在概率问题和排列组合问题的选择中应果断选择前者。
概率的基础公式 是概率等于满足题目的情况数除以总情况数。但“在一起”这一具体概率模型中,无须求出满足题目的情况,而是直接考虑实际情况计算分步概率,会大大简化计算。
下面列举几道例题为大家讲解:
【例1】(2018联考)
某单位工会组织桥牌比赛,共有8人报名,随机组成4队,每队2人。那么小王和小李恰好被分在同一队的概率是:
A.1/7 B.1/14 C.1/21 D.1/28
【解析】
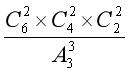
如果使用基础公式,概率 = 满足题目要求情况数÷总数,则解法如下 :
第一步,本题考查概率问题中的平均分组问题。
第二步,根据平均分组公式,8人平均分成4组,有
种方法;
小刘和小王
在同一队,则剩下的6人平均分成3组,有
种方法。
第三步,分在一队的概率为
。
因此,选择A选项。
上述解法十分复杂,且需要考虑平均分组去重复。 而如果直接考虑分步,则解法如下 : 先选出小王在某一组,此事件必然发生,概率为1; 那么剩余的7人中只有选出小李这1人在此组满足题意,概率为1/7。 因此,选择A选项。
很明显,这两种解法后一种优势明显。因此,在这一类分组的题目中,往往可以考虑使用分步概率,一个人为一步,将各步相乘即可。
【例2】(2018国考)
某单位的会议室有5排共40个座位,每排座位数相同。小张和小李随机入座,则他们坐在同一排的概率:
A.高于20% B.正好为20% C.高于15%但低于20% D.不高于15%
【解析】
第一步,本题考查概率问题,属于基本概率。
第二步,先让两人中第一个人随机入座,有40个座位可选;第二个坐在同一排的选择有7种,随机入座的选择有39种,因此他们坐在同一排的概率为P=7/39≈0.18(或略大于7/40=0.175)。 因此,选择C选项。
【例3】(2019联考)
某学校举行迎新篝火晚会,100名新生随机围坐在篝火四周。其中,小张与小李是同桌,他俩坐在一起的概率为:
A.2/97 B.2/98 C.2/99 D.2/100
【解析】
第一步,本题考查基本概率,用分步概率法解题。
第二步,100名新生随机围坐在篝火四周,即会产生100个座位,假定小张选择任一个位置坐下,则小李只能从剩余的99个位置中选择坐下,与小张坐在一起的情况有两种,即坐小张的左右两侧。故所求概率为2/99。 因此,选择C选项。
以上是最近几年非常热门的“在一起”的考题,基本上每年的国考和多省市联考都会出一道分步概率。值得注意的是江苏从最开始自主命题,这一类的分组在一起的概率就是非常高频的题型。近几年更是各种花样和各种模型,出题人的命题水平非常高。但本质上,仍然使用分步概率即可解决这一类问题。
【例4】(2021江苏)
某市举办足球邀请赛,共有9个球队报名参加,其中包含上届比赛的前3名球队。现将这9个球队通过抽签的方式平均分成3组进行单循环比赛,则上届比赛的前3名球队被分在同一组的概率是:
A.1/21 B.1/28 C.1/63 D.1/84
【解析】
第一步,本题考查概率问题。
第二步,假设上届比赛的前3名球队分别为甲乙丙三个队,分步考虑,先将甲分到任意一队,概率为1;剩余8个位置中,乙队要选择与甲队分到一组的位置,概率为2/8,还剩余7个位置,丙队要选择与甲乙在同一组的位置,概率为1/7。分步用乘法,故上届比赛的前3名球队被分在同一组的概率是1*(2/8)*(1/7)=1/28。 因此,选择B选项。
再来看一道不易被发觉可以分步的概率问题。
【例5】(2018江苏)
某学校举行迎新篝火晚会,100名新生随机围坐在篝火四周。其中,小张与小李是同桌,他俩坐在一起的概率为:
A.2/97 B.2/98 C.2/99 D.2/100
【解析】
直接使用分步概率:
一共有4名警察,先选出3个人随机分到3个专案组,一组一个,概率为1。最后的那名警察只能在这3组中选不是自己派出所同事的那2组,因此概率为2/3。 因此,选择A选项。
从以上5道题目,可以看出类似的分组概率题型,均可以使用分步概率,能最快解决这一类问题。
你学会了吗?