
你听说过
夹逼准则吗

前几天的文章中,超模君介绍了拓扑中的一个有名定理——火腿三明治定理,聪明的模友们想起了另一个跟它很相似的定理——三明治定理(又叫夹逼准则)。

说起这个定理,超模君立马回想起当年的高数课堂……


“接下来我们来讲一讲夹逼准则”,话音刚落,沉浸在睡梦中的同桌突然惊起,接下来如同多米诺骨牌那样,睡着的同学都醒来了。大家议论纷纷。

“什么?夹逼?我没听错吧!”男生们露出了史上最纯洁的笑容,女生们脸红耳赤,相信耳听为虚,眼见为实,可是她们看了看课本后,都希望眼见不一定为实。
好了,那么它是怎么来的呢?是谁给他起个这么污的名字?

超模君查了很多资料,关于它的历史不详,只知道它是最初由阿基米德(Archimedes)和欧多克索斯(Eudoxus)用来计算圆周率π,后来经高斯发展成现在的定理形式。除了夹逼准则和三明治定理外,它还有许多叫法:两边夹定理、夹挤定理、迫敛法、两个警察和醉囚犯定理等,其中夹挤定理应该是最接近它的英文名字了(Squeeze Theorem)。

通过圆内外接正多边形的方法求解π(夹逼准则的思想)
说了这么久,只知其名,不知其所云,我们不能做名词*党**啊!
夹逼准则,说简单点,就是高中的放缩法(变大变小)加上大学的极限思想。更通俗一点,假如你的哥哥(姐姐)和弟弟(妹妹)都是同一天出生的,那么证明你也是那天出生,并且你们是三胞胎。

我们先来看一个小栗子,再给出夹逼准则的定义。
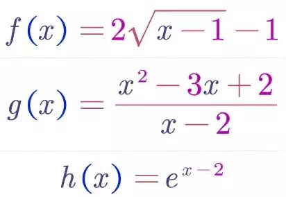
首先在图像上画出下面的三兄弟:

它们是有大小关系的,其中h是老大,g是老二,f最小,是老三。虽然三娃性格差异较大,但总有共同点,毕竟是同一个妈生(坐标轴)。

为了找出这个共同点,我们取一下在x=2这点处的极限(也就是让一个点无限靠近2所对应的函数值)。我们先来计算老大h(x)和老三f(x),由图像可以观察到,在x=2处的极限值就等于该点的函数值,我们马上可以知道:

于是我们得到了这个共同点,就是点F(2,1)。或许有人会问,怎么不用计算老二的极限值呢?这就引出了我们的主角——夹逼准则:

我们用西游记来总结一下上面的定理:
八戒有难,呼叫悟空和沙憎。
兄弟同心,斩除妖魔救八戒。
大意是:g(x)的极限求不出来(八戒有难),可以找到他的老大(孙悟空)和老三(沙憎),只要它们两个的极限算出来了(一起斩除妖魔),那么g(x)的极限自然出来了(八戒自然获救)。

虽然夹逼准则这个名字简单易记,但是它所解决的难题,都是那种面目狰狞、身材魁梧的变态题目,利用它在繁琐的表达式中迅速掌握对手的命门,化繁为简,以夺命剪刀脚紧紧将对手夹在中间,使其无力反抗,只好跪地投降!
我们来看一个栗子,大家可以动动脑筋思考一下:


二话不说,先写一个解字。第一眼看上去,无法直接代入,第二眼看上去,无法化简,第三眼,不看了,想打出题老师。别急,当遇到难题的时候,记得找老大和老三。首先这个和有n项,我们比较它们每一项的大小,可以发现:原来老大和老三就在身边!

老大在,仿佛看到了胜利的曙光。现在,我们把每一项都看作老大,然后每一项都看作老三,这样就形成了三兄弟关系链(本质上利用了放缩法)


兄弟同心,其利断金,极限神马的,放马过来吧!
对上式的左右两端取极限,得到都是1,由夹逼准则,立即推,原极限也为1。搞定。


下面两组图是使用夹逼准则的经典极限(令x趋于0),模友们看出来了吗?


本文系网易新闻·网易号“各有态度”特色内容
部分资料来源于网络
转载请在公众号中,回复“转载”
-----这里是数学思维的聚集地------
“超级数学建模”(微信号supermodeling),每天学一点小知识,轻松了解各种思维,做个好玩的理性派。50万数学精英都在关注!