香山释奴问题的提出
辛亥革命时期,香山曾发生过一次释奴运动的高潮。1910年2月14日,香山县令沈瑞忠颁布告示,宣布濠涌乡释放奴仆五十余名。与此同时,《香山旬报》刊登了获得人身自由的世仆的公开感谢信,名为“铭谢德光”,“长歌德政”。这一事件顿时在香山全县引起轰动,产生了极其广泛的影响。
蓄养奴隶是封建社会中保留奴隶社会的残余物。中国奴隶制的发展不很成熟,它是以家内奴隶为主的。因此,贯串于整个中国封建社会中,奴隶作为封建贵族和富人家庭的装饰品而存在,即把奴婢使用于侍奉、歌舞、扈从以及家庭杂务。当然封建社会里也有使用奴仆从事生产的,例如香山沙田地区便常使用世仆耕作。
岭南自古有蓄奴的风气,在南宋已出现人身隶属关系的世仆。他们 “俗谓之仆丁,亦曰下户”,或 “名之为二男”, 又有称为义仆、佃仆的,身份不自由,对家主有比较强的人身依附关系。元代,广东蓄奴的风气较之宋代更甚。明代虽法律上规定庶民不能拥有奴婢,但珠江三角洲地区却盛行“役僮仆出入垄亩”,家内服役更不用说了。清代法律明确规定庶民可以蓄养奴婢,取得奴婢也极为容易。役使奴婢从事土地开垦,对地主阶级甚为有利,宗族势力的强大又是世仆制得以存在的有力保证。香山地区买卖奴婢之风极盛,蓄奴现象较为普遍。光绪年间,香山“县城富家妇女,出必肩舆、亲串遣婢媪随行,多者二三十人”(1) 。
世仆是由奴仆转变而来,而奴仆主要是地主通过各种手段,迫使走投无路的贫苦农民卖儿卖女以抵偿租债的产物。此外,还有通过手中掌握的政治特权,勒迫农民为奴仆。如清初,“香山陋俗,里长待甲如主视仆,任由磨灭丁银,加收私吞肥己,抗粮压累,泾渭难分,每遇现役,藉公科敛,以一派十,任意苛求”,“贫者逼写男女子孙奴隶”。(2)
世仆的社会地位低下,处在封建等级制下的低层,在衣食住行等各方面均有明确规定,不得稍越雷池半步。世仆的子孙从十六岁开始须要服役,年已六十才能在主人允准下免役,“但每年仍要到祠听候吩咐”,年七十方许留下颔须。世仆在乡,衣服只许穿布素,不得穿白缎;只许穿布鞋,不得穿缎面毡底鞋,更不得穿白袜;只许戴毛毡棉纱帽,不许戴缎帽纱帽。世仆妇女不准穿绸缎及镶鞋,即使女儿已出嫁,返家之日,亦不得有违这一衣着规定。世仆穿长衫、戴红帽者,只能在叩贺主人以及自己娶妇之时,平时一概不准;世仆所戴雨帽,只许用黑色或蓝色带,不得用白带。甚至连所披蓑衣,亦只许用别种布带为记,以识别世仆的身份。世仆不仅受到家主及其宗族的欺压,而且出于世俗的偏见,也备受社会的歧视与凌辱。
生活在社会底层的世仆,处境十分悲惨。长期以来,他们为争取人身自由而进行过不懈的斗争。明代世仆一般采取逃亡的办法以求自由,有时甚至杀主而逃。但更多的是消极怠工,抗拒主人的役使。明末清初,全国农民起义四方蜂起,如火如荼,珠江三角洲地区的世仆在形势推动下,纷纷起来为争取自由而斗争,这就是有名的社变。香山古镇以冯春隆、冯大伦为首,海洲以刘綦廉为首,于顺治三年 (1646) 攻海洲,四年正月,蕉园外海四姓世仆驾船千艘攻香山县。九年清兵将冯春隆、冯大伦*压镇**下去。十二年海洲刘綦廉复申社盟,未几亦被*压镇**。但世仆的反抗并未停息,直至康熙二年,冯大伦的余*党**仍“乘机由陆路焚劫三日”而去。(3) 世仆起义之处,夺租霸村占屋,而且毁山挖骨,破棺碎尸,反映了世仆对家主的深仇大恨。
因此辛亥革命时期,香山革命者把释放奴婢、废除蓄奴陋俗作为肃清地方封建残余、推动社会改革的重大问题。《香山旬报》创刊之始,就接连发表评论,深入宣传释奴的必要性,为发动群众,开展释奴运动而大造舆论。
贵刚首先在旬报发表〈释奴议〉一文,公开提出释奴问题。他高举法国大革命时期的自由*权人**旗帜,猛烈批判蓄奴陋俗,指出:
何谓之人?就法律上言之,则有权利义务之谓人也。庐骚倡天赋*权人**之说,风靡一世。盖一人有一人之权。虽暴君污吏,豪家巨族,终不宜挟种种之权力而妨害之。罗兰夫人有云:妨害他人之自由者为大罪恶,放弃自由者亦如之。痛哉言乎!吾为此惧。吾为此羞。惧则惧吾种之尽沦于奴隶之域,而不复有自由之日也;羞则羞同胞之有沦于奴隶之域,已不得有自由之日也。嗟夫!吾同胞果有身为奴隶者耶!谁生厉阶,至今为梗。非得宏达有志之士,大声疾呼,力破其藩。彼奴隶人者方以固利权,不复知*权人**之可贵;而今奴隶者又必安于习惯,不复知自由之宜争。将使世世子孙,皆有为奴隶之叹。违反人道,莫此为甚。此释奴之说,所为刻不容缓者矣。(4)

质直〈释婢私议〉书影
作者认为,香山西南乡盛行蓄奴,奴隶处境悲惨,有义务而无权利,过着非人生活。因此解放奴隶,实为当务之急。释奴之方法不外两条:其一,发动奴婢控诉其悲惨生活,以唤起社会的同情和法律的保护,使奴婢得到解放;其二,从法律上制定对买卖和蓄养奴婢的惩戒条款,如有奴婢控诉或有人举报,查实之后,小则处以罚金,大则判处若干年监禁,则蓄奴者人人自危,势必不敢以身试法。
接着,旬报又刊发质直的〈释婢私议〉一文,认为蓄奴对社会至少造成三大危害:一是部分人*身卖**为奴,丧失人身自由,没有独立人格尊严;二是做牛做马,任人驱役鞭打,过着非人生活;三是赌徒烟鬼卖儿女为奴婢,以供赌博嗜烟之用,造成社会道德的沦丧,因此必须制止人口买卖,释放奴婢。他指出:
当婢者,既立契券,则履行契券之时期内,皆失自由运用之权。蓄婢之家,其为慈善者,犹可言也。然浇漓刻薄者必居大多数。庭台楼阁,尽是牢笼;夏楚宣威,有如地狱。而富众之主人,因虐婢至毙命者,则司空见惯矣。据本报所载,如前山寨之韦某,山场乡之某尼,其最近之杀婢者也。(5)
《香山旬报》经常揭露奴婢备受虐待,过着非人生活。如隆都下泽乡林谦干妻刘氏性素凶悍,家畜一婢,稍逆其意,即以剪刀戳其头部,以铁锤击其手指,以致伤痕满面,手指肿烂,四邻啧有烦言;而悍妇将婢禁锢家中,不许出街。(6) 又揭露何云冲强奸其婢。婢之母投诉总局。而所谓局绅缪某者,竟对婢母说,既索取了补银,则须将女交还其主人作妾。(7)
香山革命青年的先锋人物刘思复和郑彼岸也大力宣传释放奴婢。刘思复着文指出:
考吾国本无奴制。周官司厉郑司农注曰:今之奴婢,古之罪人也。风俗通言,古制本无奴婢;奴婢皆是犯事者。故奴婢实为刑法上之一种罪名,而非人人皆得蓄奴者也。不料至于后世,买奴之风,竟为法律所承认。且明明规定于律书之条文,而禁其种种之自由。斯不亦异乎!今吴越诸省,富贵之家,有蓄奴至三千者;吾粤巨室,亦多买奴仆。世世子孙,不能自由。其远悖人道,实与美洲昔日之黑奴,俄国今日之农奴无异。(8)
郑彼岸则宣导释奴,身体力行,从自己做起。据其亲人回忆:
岸父在《香山旬报》宣导释奴放婢,自己以身作则,把他的妻杨幼庄之随嫁婢宝珍解放了。并请宝珍的父母前来,交还*身卖**契,宝珍父母愕然,不敢接受。他们说没有赎身钱。岸父笑说,我不要你赎身钱,你父女可自由往来,如自愿仍在我家工作,按月给予工资。这个解放奴婢创举,邑人视为奇事。(9)
释奴运动的开展
旬报释奴宣传引起强烈的社会反响,释奴成为当时人们热议的重要话题。不久香山士绅郑陶斋也挺身而出,上书中央政府戴尚书,呼吁政府仿效美国释放黑奴之法,施行仁政,革除买卖奴婢陋俗。信中说:
窃见吾粤有所谓二分二者,鬻身于人,永远世为奴隶。闻有主人,待之甚酷;其子孙亦不能读书进学,成材出身,为各国之所无;亦伤好生之大德。昔美前总统林肯,释放黑奴,全球推为仁政。人类进化,史册腾光。不忖奄陋,儗请我公奏陈于朝,将世代为奴一例删去;并禁各省鬻身为奴。庶清绝奴隶之风,各遂成材之志。倘蒙采及管见,以为可行。则诚法外施仁,行见颂功德者,万世靡穷。而地球各国,亦将播公之英断矣。(10)
20世纪初清朝政府宣布实行立宪,也比较关注释奴问题,认为蓄奴“尽失天赋*权人**,实为地方陋习;亟应一律开放”。并通饬地方政府“逐一确切查明,从前*身卖**为奴其子孙为奴仆者,应即切实查开,妥筹办理”。(11)
1909年至1911年间,香山各个乡村,释放奴婢逐渐开展起来,一批批奴婢陆续获得解放。而首先释奴的事件发生于申明亭。据《香山旬报》报道,1909年5月间,申明亭乡绅杨士瀛的祖先于乾隆年间收买梁用安为世仆,已有二百多年,如今为了回应禁革陋俗,特邀集族人公议,宣布释放世仆,将当年*身卖**契纸交出销毁,并禀请政府存案。杨士瀛带头释奴行动受到公众舆论的普遍赞扬。旬报指出:
今该士绅能首倡放奴之议,为各乡开其先,诚足嘉许。更愿一般之主持乡政者,群起而踵其后焉。则数千年之旧俗,诚不难革除于一旦也。世有林肯,企予望之。(12)
刘思复也盛赞香山申明亭乡首倡释放奴仆,认为这是“民族平等观念发达”的表现。(13)
其后不久,泮沙乡许赞辉发起释奴之举。经托其族人许澄汉禀准邑令,齐集各家奴十五人,交回契纸,宣布免除奴婢身份,令其子弟入学,与学生一体看待。(14) 其它各乡也纷纷宣布释奴。而其中最大的一批释*事件奴**发生于濠涌乡。
香山濠涌乡之释奴,是由归国华侨实业家严迪光热心牵头倡议实现的。严迪光 (1875-1923),南朗濠涌村人,美国归侨。自幼家境贫寒,十八岁被*身卖**到三藩市巴哔埠做劳工。1911年,辛亥革命后回乡兴办实业,严迪光先与溪角刘姓朋友合伙开办香山砖厂。其后鉴于县城石岐尚无电力照明,严迪光于是又决定在石岐营造发电厂。严在朋友的帮助下,从美国购了两台一千千瓦的威士顶透平汽轮发电机,并从美国请来电力工程师朋友指导厂房建设和设备安装,厂址设在石岐悦来路南端的九曲河畔。1912年,石岐迪光灯厂正式建成投入运行,发电总容量虽然仅为二千五百千瓦,但这是香山县最早开办的火力发电厂,也是当时被民国政府列入全国四十家先进发电厂之一。严迪光由于长期生活在美国,深受自由平等思想的影响,十分热心推动家乡的释奴运动。在严迪光等开明士绅的宣导下,严氏族人通过释奴决定。
1910年2月14日,县令沈瑞忠颁布濠涌乡放仆告示,宣布:
族内共有世仆五十余名,各自遵照宪示放为平等,听其自由,日后不得作为世仆。至世仆曾经前人给有住屋者,任其照旧居住,不忍追回,[⋯⋯] 为此示谕该乡诸色人等,知悉现当立宪时代,理无积世奴仆,凡有世仆自应放为平等,毋得抗阻欺凌各宜懔遵毋违。特示。宣统二年二月十四日示。(15)
重获人身自由的世仆在《香山旬报》联合发表名为“铭谢德光”的公开感谢信,公开郑重表示:“异时饮水思源,将稼穑曾玄,长歌德政。千秋翼载,酬报无由。谨布旬章,先鸣谢臆。”感谢信最后由香山四都濠涌乡恢复人身自由的世仆七十八人签名。
奴婢解放中存在的问题
不料严迪光宣导放奴的正义行动遭到某些土豪劣绅的嫉恨,遂使该乡的奴婢解放出现挫折和反复。濠涌人放奴之后不久,即风云突变,发生意想不到的事件。
事件起于濠涌族人联名向知县禀报释奴之日,该村武生严廷扬向各仆勒索重贿不遂,不允在释奴书上签字。后来见禀报释奴报告书没有把他的大名列上,又恼羞成忿。于是严廷扬在族内拉拢一批人,组成“敢死会”,大放厥词,掀起事端,向释奴运动疯狂反扑。他们诬称严迪光发起释奴为干犯族例,又污蔑严迪光受贿五百元,嗾使凶*党恶**徒将严迪光“硬斥出族革尝”。然后另立苛刻条例,将释奴抓回严刑殴打,非常惨烈。甚至勒逼男女老少释奴缴交殓葬费共八百元。其手段之凶残狠毒,令人发指。(16)
严迪光面对严廷扬破坏释奴运动的凶残*行暴**,坚决予以回击。他向旬报投稿,公布严廷扬等人“武断乡曲,慢欺同种,素不为乡族所齿”的事实真相:
廷扬种种失着挟怨成仇,誓欲架捏谋吞,冀偿贪壑。乃先集匪无赖等辣立苛约,凌虐各仆,教逼各仆认迪光受贿以善其谋。各仆以报恩未能,岂忍报怨。廷扬虎欲不遂。乃嗾婪老*党恶**驱打众仆,苦不可言。且诬迪光干犯族规,革尝出族,实欲噬迪光产业,诡辞狡险,阴险蛮横。现各放仆皆存,可一一调查据校。宝燊函信俱在,尤能作出证凭。(17)
濠涌乡释*事件奴**乡劣武生严廷扬等人阻挠放仆的恶行,经由《香山旬报》披露之后,迅速引起社会各方人士的强烈反应。人们十分关注事件的进展,尤其是对放仆的处境十分揪心。而严迪光以被该武生等恶人诬陷,情有不甘。于是据情赴县禀控。由邑令批札饬淇澳司查处,务必查个水落石出。与此同时,乡中各仆户于释奴后,处境毫无改善,且受虐更甚于前,势难隐忍,也据情赴县提交禀控。(18) 于是围绕释奴问题,正义与邪恶势力展开了激烈的斗争。
1910年9月21日《香山旬报》刊登广告公布释奴事实真相,予以充分肯定:
严迪光提倡义举,恪守宗规。洵称阖乡公益,不应革尝出族,妄启猜嫌。经本族绅耆呈请县台立案。嗣后祖宗尝业一体同沾。族众人等,毋得再肆浇漓,至干禀究。(19)
濠涌乡释奴与反释奴双方较量的结果, 正义终于战胜了邪恶,阻挠放仆一方遭到了可耻的失败。
但这次释*事件奴**余波犹存。此前反对释奴的人还在,心不死。他们虽一时怵于县府明谕,屈于释奴公理,大势所趋,而无可奈何。及后则仍在暗中煸动乡愚,肆意虐待已经解放的奴仆。而之前的奴仆,则势力微弱;加以积威所渐,惟有以对不平等待遇忍气吞声而已。释奴以后,有几名已放奴仆之妇女上山割草。讵料挑草回乡中的时候,竟被乡人抢去,并将所带器具一并焚毁。很明显,这些人如此下手,窥其用意,无非必欲使已放世仆的衣食断绝无以为生而后快!然而这么一来,这些奴仆于未放之先,虽任其主人鞭策若马牛,犹不至于颠连冻馁。如今却徒拥释放之美名,而身受凌虐,则有增无已。释奴本意是施行仁政,反而变成*政暴**了。
针对这种情况,《香山旬报》发表了同盟会员郑道实的文章〈论放奴宜先筹安置之法〉。他列举释奴中存在的问题,要求县府当局绝不能“熟视而不思所以救之”。而补救之法,就是查究鼓动虐待放仆之人和开导无知之辈。尤其要对放仆酌量情形妥筹安置之法。他认为一般情况下应做好以下三点:(1) 既放之后,平等待遇。凡乡中公共所享之权利,准一体享受。乡人不得藉词阻挠。(2) 前日给与仆人之住屋,既放之后,即为仆人之物,不得取回。给与仆人耕种之田园,应以寻常佃户相待,不得即时取回。(3) 已放仆人,雇之工作,应给相当价值。(20)
郑道实的文章指明了释奴运动的正确方向,为释奴运动的善始善终提供了可靠保证。经过辛亥革命时期的强力荡涤,香山各个乡村封建时代的世仆残余被扫荡净尽,社会文明从此又向前跨越了一步。
汉人剃发蓄辫的悲惨经历
辛亥革命时期,在同盟会员的大力宣导下,香山曾经发生轰轰烈烈的剪辫运动。这是一次荡涤陋习、改革社会风气的重大事件,也是一次文化革命运动。
清朝统治时代,中国男子除了出家人以外,每个人脑后都拖着一条辫子。这是清朝统治者规定的男子发式。满族人的发式本与汉族男子的总发绾髻有很大区别。世代生活在白山黑水之间的满族祖先,终年以渔猎、游牧为生,逐水草而居的粗犷生活造就了他们独特的梳妆方式。满族成年男子额前结短辫齐眉,脑后长发围颅盘环,这种发式也是便于山林中骑射。金代金太宗天会七年 (1129) 曾下旨,凡女真人皆留辫发。女真人的发式风俗,经历了数百年,被其后人满族所延续下来。满族的男子直接因袭了女真人编发为辫的独特习俗,将头发半剃半留,剃去周围头发,只留颅后发,编成一条大辫子,称为“辫连子”,俗称“练子”,垂于脑后。
清代首脑努尔哈赤非常重视这一习俗,凡被他攻占之地,男子发式必须划一,不分老少,一律剃发投降,并以此作为一种胜利的象征。1621年,努尔哈赤攻下辽沈后,即大规模地强迫汉人剃发留辫。清朝定都北京之后,仍然强令剃发。
此前汉人原有本身的服装和发式,蓄留辫发之事,原本非汉人习俗。汉族有几千年的文明史,有灿烂的文化,相比异族,汉人有一种强烈的文化优越感,满洲人文化自愧不如。满洲人民族自卑感一方面促使其贵族拼命学习汉文化,另一方面又使满洲贵族深恐汉人看不起他们,因此迫使汉人同化满族风俗,以人格*辱侮**的方式使汉族精神萎缩,使汉人丧失自尊、自信,打掉汉人骨子里的民族优越感。
1644年,清兵入关,在攻占北京,尤其是在攻占南京之后,厉行剃发令,“叫官民尽皆剃头”,违令者“杀无赦”。当时不仅有“留发不留头,留头不留发”之令,而且还有“一个不剃全家斩,一家不剃全村斩”之令。古代汉人有“身体发肤,受之父母”的祖训,剃发留辫违背了汉族的历史传统和思想感情。面对满人用恐怖手段强迫汉人改易发式,当时不甘于向异族屈服的小民,不肯依照清朝用严厉法令所规定的剃发式样“将额前和脑后四周的余发剃去,将长发编成辫发垂在脑后”,许多人宁愿掉了脑袋也不愿剃发,于是便发生了历史上有名的“扬州十日”、“嘉定屠城”等民族悲剧。清朝建立后全国因服饰、发式而被杀的汉人数达几百万。
民国时期,有些城市街上的流动剃头担前的小柜上,总是竖着一根长杆,上面挂着磨刀布,据说这根长杆在当年就是用来挂人头的。因为清朝初年严厉执行剃发令,由满洲旗兵督押着剃头担在街上巡视,见到还未剃发的男子,就捉住当场剃发。他若是拒绝,就立时砍了头挂在剃头担前的长杆上示众,因此杆上经常挂着累累人头。直到后来虽然大家都习惯了剃发留辫,但是街上的剃头担还保存着清初的式样,在担子前面竖着一根木杆。
当时在中国的一位亲眼目睹这种凄惨情景的西方传教士写道:“全世界像汉族这样因服饰、发式而遭*杀屠**的民族绝无仅有。” 于是, 清朝统一中国之后, 凭借政权的力量使满人习俗剃发留辫变成了满汉民族共同的习俗。
汉人对蓄辫问题反抗失败, 被迫服从屈辱了二百多年。从此,中国男人在脑后就多了一条长长的发辫。由于这条辫子有这样一段惨痛的历史,一般小民对于脑后的辫子就非常看重,人人都有一条,若是没有辫子,不仅是失礼的事,而且会惹来麻烦。除了和尚以外,当时每一个男子都是有辫子的,就算是“瘌痢头”,也要设法装上一条假辫,再戴上一顶帽子,否则无端端的没有了辫子那就要被人目为“乱*党**”了。
*片鸦**战争以后,列强东侵,清朝日益沦落。那条长辫子日渐成了西人眼里“东亚病夫”的象征。头蓄长辫、身穿长袍马褂、手执烟枪、枯瘦如柴,便是外人眼中的中国人形象。

辫子图
香山剪辫运动的发端
剪辫的最初动机是改善国人形象和实行现代化的需要。满清的腐朽,西人的凌辱,激起了爱国志士的救国情怀。人们从摈除陋俗,革新国人面貌,振兴中华的角度,要求剪辫易服。香山人是开展剪辫运动的先锋。早在1872年,香山人容闳带领幼童到美国留学,这些幼童全部脑后拖着辫子,美国小孩常常跟在他们后面喊“中国女孩子”,甚至把辫子*辱侮**为“猪尾巴”。于是后来便有学童毅然剪长辫,着西服。此举可谓开了风气之先。
1895年,孙中山广州首义失败之后,在日本断发易服。到了20世纪初,伴随着反清革命的高涨,出现了批判辫子的高潮。邹容在《革命军》中把辫子列为反清革命的一个重要原因,斥责清廷强迫男人留辫子是迫使汉人“为牛为马,为奴为隶”。革命*党**人则以去辫为革命反满之标帜,革命的前奏,于是剪辫运动如火如荼地开展起来。
1900年,章太炎在上海当众剪掉辫子,在全国引起轰动。1902年以后,中国大规模地往日本派留学生,其中不少人到了日本就剪掉了辫子。不仅留学生,国内新式学堂的学生也出现剪辫的风气。1903年拒俄运动中,许多留日学生愤于清廷之腐败*国卖**纷纷剪辫,走上革命道路。1905年,蔡元培在上海中国公学读书时,学生基本都剪去了辫子。

《香山旬报》第九十八期宣传剪辫漫画
到了辛亥革命前夕,香山革命者创办《香山旬报》,先后发表了许多评论文章,积极宣传剪辫运动。郑彼岸愤怒声讨满清采取大*杀屠**手段强迫汉人留辫,在邑城演说社讲到清军残暴时,声泪俱下,自举他的辫子道:“这条豚尾,杀了许多人。”复庵在《香山旬报》发表〈剪发之冷观〉一文,述及往事,满怀悲愤地写道:“其时先朝遗老,碎首沥血,以死殉发者,所在多有。即深山古刹中,黄冠髡首,抱道自贞者,亦可莫非吾先民之韬光遁迹者哉!悲凉惨血之历史,既已传之简编而斑斑可考矣。”(21)
郑道实在《香山旬报》发表文章鼓吹剪辫,指出:“夫辫发为物,即不必计其本非汉族制度,及被外人所诮辱。即以利害问题论,试执十人而质之曰:吾人具此辫发,于起居动作便乎否乎?吾可决其以为不便者十而八九也。”(22) 于是香山人就开始实行剪辫。许多留学生和华侨都把辫子剪去。
然而剪辫运动既然是荡涤陋习、改革社会风气的革命事件,必然遭到*动反**势力的打击。清廷内部死硬*动反**分子视剪辫为大逆不道之事,大加鞑伐。香山的官员尤其顽固不化,公然禁止剪辫。于是屡有民众因剪辫而遭受当局的惩办。
1908年底,有五名剪辫人被县令判处各打一百大板。又有张溪人黎生在澳门剪去长辫,回到石岐后,在南门内请理发匠廖阿角为其接假辫, 企图蒙混过关。但不幸被巡勇察觉捉拿,县官审理此案时,以“不守国制”罪名,将两人枷号半月。此外又有县城中学堂八名学生剪去辫子,后该学堂的监督林某发现这一情况,竟贴出公告,明示禁令,不准学生剪辫,可谓顽固之极。(23)
县城西区有一名姓劳的巡士,因见剪辫风气日开,便将辫发剪去,不料被该局姓何的巡尉看见之后,诚恐绅士不悦,即将劳巡士开除。(24)
本县一名乡人剪发后行经山场乡,有乡勇两名,在村外守卫,见其已剪发,不许入村。而附近的前山地方,也在严密搜查剪辫人。(25)
斗门大赤坎乡人赵岳,寄寓省城,在某馆学习医科,因为剪发而被官军拘拏,扣留多天,后被堂兄联名保释回家。附近邻里乡亲引为前车之鉴,竟有剪辫人重新留发蓄辫,以复回原形,也有人甚至装假辫以为掩饰。(26)
总之,香山县*动反**官员倒行逆施,滥用刑法*压打**剪辫民众,使得刚刚兴起的香山剪辫运动遭受了暂时的挫折。
香山剪辫运动高潮的形成
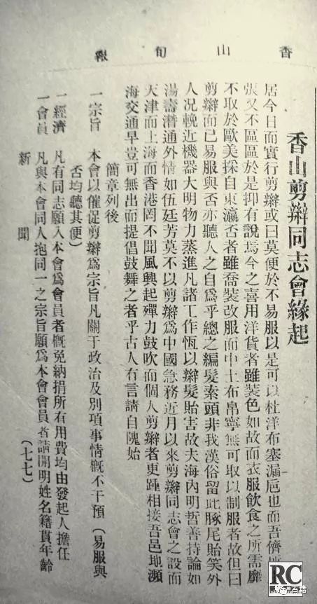
尽管香山的剪辫运动遭到许多干扰破坏,但在同盟会员的推动下,香山人民无视当局的威胁和*压打**,形成一股剪辫新风。1910年10月间,同盟会员郑彼岸之弟弟郑自强、郑佩刚等联合同志,创设剪辫同志会。为了不给*动反**当局抓住把柄干涉破坏,剪辫会的创办人采取了非常巧妙的策略。他们明确规定该会只是为了顺应时代潮流移风易俗而剪辫,而且只以催促剪辫为宗旨。凡关于政治及别项事情,概不涉及,是否改易服装均听从本人自便。凡有同志愿入本会为会员者,概免纳捐。所有用费,均由发起人负担。但是会员除本人实行剪辫外,尚有劝导别人剪辫的义务。剪辫同志会公开发表如下公告,详细说明成立香山剪辫同志会的缘由和章程:
居今日而实行剪辫,或便于不易服,以是可以杜洋布塞漏也。而吾侪所主张,又不区区于是,抑有说焉。今之喜用洋货者,虽装色如故,而衣服饮食之所需,靡不取于欧美,采自东瀛。否者虽乔装改服,而中土布帛宁无可取以制服者。故但曰剪辫而已,易服与否,亦听人之自为乎?总之编发索头非我汉俗,留此豚尾,贻笑外人。况挽近机器大明,物力蒸进,凡诸工作,恒以辫发贻害。故夫海内明哲善持论如汤寿潜,通外情如伍廷芳,莫不以剪辫为中国急务。近月以来,剪辫同志会之设,而天津、而上海、而香港,罔不闻风兴起,殚力鼓吹。而个人剪辫者更踵相接。吾邑地濒海交通早,岂可无出而提倡鼓舞之者乎?古人有言请自隗始。

《香山旬报》第一百零七期宣传剪辫漫画
简章列后
一宗旨 本会以催促剪辫为宗旨。凡关于政治及别项事情,概不干预 (易服与否均听其便)。
一经济 凡有同志愿入本会为会员者,概免纳捐。所有用费,均由发起人担任。
一会员 凡与本会同人抱同一之宗旨,愿为本会会员者,请开明姓名、籍贯、年龄、职业、住址,寄投本会通信处,即为本会会员。
一义务 本会会员除实行剪辫外,并有劝人剪辫之义务。
一赞成员 凡赞成本会宗旨现尚未剪辫者,亦可入会为赞成员。惟届剪辫时不得推委(本会定于十二月初一日实行剪辫)。
一演说 本会成立后拟即聘员,演说剪辫之利益。
一通信处 暂设东门佐寿堂郑建初、石岐国光李毅父、洪安猪栏阮勉男为通信机关。
发起人 郑佩雄 陈竞存 李毅父 阮亚刚 郑佩刚 王子标 吴叔寰 郑佩强 程大元李税南 郑自强(郑自强亦为郑彼岸之弟) 郑贵斌 同启 (27)

《香山旬报》第七十六期刊载〈香山剪辫同志会缘起〉
1910年底,剪辫同志会散发传单,宣布将在崇义祠开会演讲,刚上任的知县包允荣却以“诚恐人心浮动,别滋事端,出示严禁”(28)。但革命*党**人对此不予理会。1910年11月17日,剪辫同志会在城内崇义祠举行成立大会。由于宣导剪辫深得人心,受到民众热烈拥护,参加大会的各界人士达一千多人,场面异常热烈。孔教会小学堂学生亦全体赴会,女界到者也有百余人。同盟会员郑讽一宣讲成立剪辫同志会的理由,指出现在举国同胞均知辫发无益,亟思剪除。但碰到许多阻力。如子弟间为父兄所禁止;学生间为监督校长所禁止;工人亦有为东主所限制者。为了去除这些阻力,特发起剪辫会,以推动剪辫运动的发展。随后许多人接连登台演讲,诉说辫发的种种弊端。有人演讲完毕后,立即在演坛上将辫发剪去。是日当场请剪辫会员代其剪辫民众约有百余人之多。(29) 这次会议掀起了剪辫运动的高潮,并使剪辫运动正式走上有序发展的轨道。
会议以后,县城外的许多乡村纷纷行动起来,相继建立剪辫同志会,形成群众性的剪辫热潮:
隆都沙溪下泽墟,由杨霖贺、林谦干、余炽垣、林廷沛、林亚佩等发起,联合同志二十人,倡立剪辫同志商界人等入会。入会之后,限于一月内,随时自便剪辫,不得逾限。现已定于十月初十日起,至十一月初十日止,一律实行剪辫。并聘请剪辫工匠萧某,自备剪辫机器,与各人剪辫,分文不受云。(30)
谷都鸟石乡郑照良、锐德二君,发起剪辫不易服会,订于十一月初一举行。该乡人欣然赞成。两君即于十月廿二日先行剪去发辫;继后又有七人剪去。现在乡中工商各界报名入会者,极为踊跃云。(31)
近日剪辫之风盛行,无论何人皆以剪辫为快事,而我邑尤以恒美乡为最多。计一月来,剪去辫发者,先后共三百余人。前有某宅之十龄童子,见人剪辫,即浼人代他剪去。归家为母所见,大加申饬。后为其伯某晓以利益,其怒始解。(32)
隆镇各乡人,近因潮流所播,剪辫日多。又闻人演说这条辫子,外国人每诮为豚尾,并半边和尚之名词,未免自形羞愧,其稍为开通者辄欲去此八千根烦恼,以故此一星期内,剪却辫子者,不下千余人云。(33)

《香山旬报》第五十六期关于香山县释奴的告示
以上一系列事实充分表明,在剪辫同志会的大力推动下,香山民众剪辫运动迅速掀起高潮。同时我们也从中看到,民众发式的改变与政治变革紧密关联。香山剪辫是革命运动发生的前奏。剪辫运动胜利开展之日,便是革命蓬勃发展和清王朝衰败灭亡之时。香山如此,全国皆然。清王朝鼎革之后,所有香山人,乃至全国汉人头上的辫子便从此消失了。
【附录】香山知县沈瑞忠颁布的放仆告示(上)放仆的鸣谢德光(下)
县令颁布濠涌乡放仆告示
钦加知府衔赏戴花翎补用直隶州署香山县正堂加十级纪录十次沈 [瑞忠] 为出示晓谕事。现据濠涌乡生员严宝燊等呈称,生等族内共有世仆数十名,遇有吉凶等事,饬充工役,历代相沿,成为陋习。查家奴世仆,为立宪政体所无,现奉通行,凡有各乡各族,从前鬻身为奴者,准即开放,任其骗户立籍,报明立案等因,生等族内共有世仆五十余名,各自遵照宪示放为平等,听其自由,日后不得作为世仆。至世仆曾经前人给有住屋者,任其照旧居住,不忍追回,惟恐乡内无知之辈,横生阻力,滋生事端,势得联叩宪阶,伏乞赏给示谕,俾众周知等情,到县。据此除批揭示并谕饬该族绅耆遵照外,合行出示晓谕。为此示谕该乡诸色人等知悉,现当立宪时代,理无积世奴仆,凡有世仆自应放为平等,毋得抗阻欺凌,各宜懔遵毋违。特示。
宣统二年二月十四日示 《香山旬报》第56期,庚戌 (1910) 三月月十一日,第75页。
铭谢德光
窃维免役蠲傜固盛朝之异典,循善布惠,实贤远之,高风邦赞等先世,寒蝉曳叶哀无枝,顾服仳离鬻身作仆,守卑贱舆台之义,受主君厮豢之庥。出入岁时,既蒙抚䘏农工生聚;且沐裁成。宜乎百世承流,共溯渊源之旧。同侪报效,敢萌违背之思。迩值治启新猷,乾符握泰天高。帝德泽溥丁男瑞雪卿云遍海隅而布化;和风甘露,环草木以嘘春然虽拜丝纶上锡之洪慈,尤藉矜恤下情之伟度。今邦赞等蒙耆绅严任臣 祥光丙熙 鸿书 金光 紫荣 迪光 子琛 宝燊 焯 垣 席珍诸公,钦承明诏,俯赐优容。径开劝掖之门,聿彰祖武倡羾联衔之牍,代叩廉明大君子乐普逾施贤父母克垂仁爱。
此后穷檐曝日,知羣钗妇孺,咸祝耆英,异时饮水思源,将稼穑曾玄,长歌德政。千秋翼载,酬报无由。谨布旬章,先鸣谢臆。
香山四都濠涌乡放仆
陈桂开 阮永益 黎启庆 孙贤任 阮永谦 方邦赞 余建猷 陈全庆 孙开任 余喜元 陈本庆 孙兆和 陈康保 余喜朝 阮敬祥 孙献任 余喜全 孙彩任 方锦辉 阮荫祥 余建泽 陈泽庆 姚灶华 陈三行 陈阿快 余润良 余建琼 阮章焕 阮丙辰 陈彩庆 高顺开 阮兆康 余润宜 余润宽 陈亚立 陈亚平 陈亚至 陈灶保 余观银 陈杰庆 方康熙 余顺松 陈贺森 方晃辉 姚顺和 陈祥庆 黎桂祥 余观熀 方小良 陈亚杨 余亚南 陈有祥 余庆长 陈兆开 陈顺邦 陈贺德 余顺棠 余建荣 方永治 余顺利 方凤辉 黎满庆 余绍经 陈满开 余亚赞 黎长发 黎喜庆 方小祥 余建辉 余喜培 陈帝彰 陈仲生 陈顺兴 陈观成 黎闰昆 黎亚财 陈亚斗 陈亚建 老少男妇等仝叩
《香山旬报》第五十六期,庚戌 (1910) 三月月十一日,第76页。
【注】
(1) 光绪《香山县志》,卷五〈舆地五.风俗〉。
(2) 香港《新界葵涌陈氏族谱》民国十九年抄本。
(3) 道光《香山县志》,卷八〈事略〉,页52-53。
(4) 贵刚:〈释奴议〉,《香山旬报》第2期。
(5) 质直:〈释婢私议〉,《香山旬报》第40期,己酉(1909) 九月十一日,页1-4。
(6) 〈悍妇虐婢〉,《香山旬报》 第77期,庚戌(1910) 十月十一日,页64。
(7) 《香山旬报》第62期,庚戌 (1910) 五月十一日,页7-9。
(8) 丹水:〈民族平等观念之发达〉,《香山旬报》第32期,己酉 (1909) 六月二十一日,页1-4。
(9) 郑佩刚:〈香山旬报及其创办人郑岸父〉,《广州文史》第25辑。
(10) 〈放奴伟论〉,《香山旬报》第18期,己酉 (1909) 闰二月初一日,页20。
(11) 〈放奴之举将有实行消息〉,《香山旬报》第33期,己酉 (1909) 七月初一日,页32。
(12) 〈乡绅放奴之伟识〉,《香山旬报》第28期,己酉(1909) 五月十一日,页18-19。
(13) 《香山旬报》第32期。刘思复在〈民族平等观念之发达〉一文中写道:“吾于最近时事中得两事焉。恒人所不甚注意,而实于民族前途关系至巨,且足觇吾国人平等观念之日渐发达者。斯何事?其一则为吾邑申明亭乡之倡放世仆,其二则为南海某君之倡建疍民学堂也。”
(14) 〈实行释奴〉,《香山旬报》第45期,己酉 (1909) 十一月初一日,页57。
(15) 〈县令颁布濠涌乡放仆告示〉,《香山旬报》第56期,庚戌(1910) 三月月十一日,页75。
(16) 〈濠涌武生严廷扬诈索不遂挠败宪政凌虐放仆诬蔑宗亲状〉,《香山旬报》第68期,庚戌(1910) 七月十一日,页70-71。
(17) 〈看看看濠涌严任臣严宝燊严廷扬等蛇蝎同窝借端诬噬尤复哓哓逞辨耶〉,《香山旬报》第68期,庚戌(1910)七月十一日,页81-82。
(18) 《香山旬报》第71期,庚戌(1910) 八月十一日,页49。
(19) 《香山旬报》第75期,庚戌(1910) 九月廿一日,页87。
(20) 道实:〈论放奴宜先筹安置之法〉,《香山旬报》第76期,庚戌(1910) 十月初一日,页3-8。
(21) 复庵:〈剪发之冷观〉,《香山旬报》第74期,庚戌(1910) 九月十一日,页9-11。
(22) 道实:〈即剪发以觇国民之心理〉,《香山旬报》第82期,庚戌 (1910) 十二月初一日,页3-6。
(23) 〈监督禁止学生剪辫之顽陋〉,《香山旬报》,第78期,庚戌(1910) 十月廿一日,页69。
(24) 〈巡士竟因剪辫被革〉,《香山旬报》第77期,庚戌(1910)十月十一日,页62。
(25) 〈乡勇何恶于剪辫人〉,《香山循报》第99期,辛亥(1911)四月廿五日,页67。
(26) 〈剪发复留之可哂〉,《香山循报》第99期,辛亥(1911)四月廿五日,页69-70。
(27) 〈香山剪辫同志会缘起〉,《香山旬报》第76期,庚戌(1910) 十月初一日,页77-78。
(28) 〈政界取缔剪发会之无谓〉,《香山旬报》第83期。庚戌(1910) 十二月十一日,页50-51。
(29) 〈剪辨同志会开幕纪事〉,《香山旬报》第81期,庚戌(1910) 十一月二十一日,页47-48。
(30) 〈隆都又有剪辫同志会〉,《香山旬报》第78期,庚戌(1910) 十月廿一日,页65。
(31) 〈谷都又有剪辫会出现〉,《香山旬报》第79期,庚戌(1910) 十一月一日,页53。
(32) 〈剪辫者触目皆是〉,《香山旬报》第79期,庚戌(1910) 十一月一日,页54。
(33) 〈隆镇剪辫之盛〉,《香山循报》第123期,辛亥 (1911)九月十七日,页65-66。