诺贝尔物理学奖这么多年以来一直是物理领域最为权威的奖项,无数物理学奖都以获得诺贝尔为荣,不过很多物理学家却并不是以自己最为突出的贡献获得的诺贝尔,比如爱因斯坦,爱因斯坦最伟大的成就是相对论,不过爱因斯坦之所以斩获诺贝尔,却是因为光电效应。

而爱因斯坦的诺贝尔奖得来也十分崎岖,首先,这个奖是 1922 年补授的,另外,当时反对的浪潮十分激烈。而这背后,是物理学的两大方向之间的激烈交锋。
物理学可分为理论物理和实验物理两大方向,自然而然,物理学家也可以分为理论物理学家和实验物理学家。有人的地方就有江湖,就好像华山派气宗和剑宗之争一样,在 20 世纪初,实验物理和理论物理之间是谁也看不上谁。(指部分极端的物理学家,并不是全部)

理论物理是从理论上探索自然界未知的物质结构、相互作用和物质运动的基本规律的学科。理论物理的研究领域涉及粒子物理与原子核物理、统计物理、凝聚态物理、宇宙学等,几乎包括物理学所有分支的基本理论问题。而实验物理主要是从实验上来探索物质世界和自然规律。
对于实验物理学家而言,只有自己通过亲眼真正观察到了这个现象或者规律,这样得出来的自然规律和宇宙法则才是最为正确以及富有意义的。

在 20 世纪初,因为爱因斯坦的横空出世,实验物理与理论物理之间的矛盾空前激化。1905 年爱因斯坦发表了题为 《论动体的电动力学》,这是一篇注定载入史册的论文,在这篇论文里,爱因斯坦提出了区别于牛顿时空观的新的平直时空理论——狭义相对论。

“狭义”表示它只适用于惯性参考系。这个理论的出发点是两条基本假设:狭义相对性原理和光速不变原理。理论的核心方程式是洛伦兹变换。
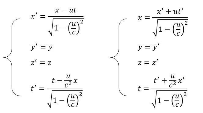
洛伦兹变换是狭义相对论中两个作相对匀速运动的惯性参考系(S和S′)之间的坐标变换, 是观测者在不同惯性参考系之间对物理量进行测量时所进行的转换关系,在数学上表现为一套方程组(如下图),洛伦兹变换最初用来调和19世纪建立起来的经典电动力学同牛顿力学之间的矛盾,后来成为狭义相对论中的基本方程组。

洛伦兹变换.左侧为正变换,右侧为逆变换
狭义相对论预言了牛顿经典物理学所没有的一些新效应(相对论效应),如时间膨胀 、长度收缩、横向多普勒效应、质速关系、质能关系等。
像时间膨胀,两个完全相同的时钟之中,拿着甲钟的人会发现乙钟比自己的走得慢。这现象常被说为是对方的钟“慢了下来”,但这种描述只会在观测者的参考系上才是正确的。任何本地的时间(也就是位于同一个坐标系上的观测者所测量出的时间)都以同一个速度前进。时间膨胀效应适用于任何解释时间速度变化的过程。

时间膨胀
有人根据时间膨胀提出一个非常有趣的观点,有人就提出来了一个有意思的问题,如果当我快还有几秒就要死的时候,突然接近光速运动,那么我的时间就慢了很多很多,那么我是不是就死不了了?“
狭义相对论已经成为现代物理理论的基础之一:一切微观物理理论(如基本粒子理论)和宏观引力理论(如广义相对论)都满足狭义相对论的要求。
所以当狭义相对论诞生之后,立马引起了物理学家的一阵争议,当时的物理学家一般都相信以太是物理学史上一种假想的物质观念,相信以太论的物理学家也相信存在着绝对参照系,这是受到牛顿的绝对空间概念的影响。

以太说曾经在一段历史时期内在人们脑中根深蒂固,深刻地左右着物理学家的思想。著名物理学家洛伦兹推导出了符合电磁学协变条件的洛伦兹变换公式,但无法抛弃以太的观点。而狭义相对论的提出则把以太说扫进了历史之中。
所以很多顽固相信以太论的物理学家则对相对论提出了反对,比如迈克耳孙至死还念念不忘“可爱的以太”,认为相对论是一个怪物。他还做过著名的迈克耳孙—莫雷实验来论证以太的存在。 当时物理学界还掀起了所谓的“保卫以太”的运动,JJ.汤姆孙在1909年宜称:“以太并不是思辨哲学家异想天开的创造,对我们来说,就好像我们呼吸空气一样样不可缺少”。

除了对以太论的顽固捍卫之外,一些物理学家之所以对狭义相对论质疑,是因为对其中的理论,比如崭新的时空观等,都难以理解或者接受。比如相对论的先驱庞加莱、马赫等。
不过,支持者也不少,比如虽然是化学家但是经常跨界物理学的,1909 年,奥斯特瓦尔德首先提名爱因斯坦为1910年诺贝尔物理学奖候选人,推荐理由是爱因斯坦狭义相对论的伟大贡献。以后他又于1912年、1913年再度提名爱因斯坦。而后来1912年时,德国物理学家普林斯海姆也因为爱因斯坦狭义相对论的成就推荐爱因斯坦为获奖候选人时。

然而对于爱因斯坦因相对论获得诺奖,许多的实验物理学家表示论强烈反对,因为相对论尤其是广义相对论在当时并没有实验基础,而量子力学之所以发展迅猛,是由于科学仪器的加速迭代,并不断发现微观世界的新现象。理论物理学家很多时候就是在实验结果的基础上抽象规律,或者根据已知的现象推定规律。
但是相对论在当时并没有任何实验基础,这让很多实验科学家不满,其中以瑞典科学界最为严重,瑞典科学界在20世纪早期过分注重实验物理学,而将理论轻视为纯粹的猜想。瑞典科学界的领袖哈瑟伯格一直坚持认为精确测量“是使我们能够深入了解物理定律的根本和主要条件,是走向新发现的唯一道路,是科学进步的不二法门”。

在实验室里不断求索的实验科学家
哈瑟伯格认为爱因斯坦的相对论是一种“病态”物理,侵蚀了以前人们所持的正确的信念,与西方文明的古希腊传统的真、善、美观念完全相反。他认为爱因斯坦没有做过任何实验,他的理论不是由实验归纳出来的;他修改基本假设,将不同的物理领域归纳成为一个统一的理论。这对他们这些实验物理学家来说简直是形而上学的工作,不是科学的一部分,是科学中的达达主义的表现。
哈瑟伯格直到还在病床上依然在反对爱因斯坦的相对论获得诺奖,在他的强烈建议下,1920年诺贝尔奖授予了瑞士裔的法国一位冶金学家纪尧姆,原因是“发现镍钢合金的反常性以及它在精密物理学中的重要性”。纪尧姆听到这个消息都愣住了,自己都觉得不够资格拿这个诺贝尔奖。

当时诺奖委员会中关于爱因斯坦相对论获得诺奖的呼声越来越高,诺奖委员会也不知道是不是脑子抽风,让获得诺贝尔医学奖的古尔斯特兰德起草一份关于相对论的报告。。。
古尔斯特兰德迷信过去的科研观念,认为爱因斯坦从来没有做过实验,所有理论不过是闭门造车的瞎编乱造。如果想要获得诺奖,必须要拿出实验数据和结果。一直到 1922 年,他还在强烈反对爱因斯坦的相对论,额,医学家插手物理学家的事情,这画面太美。。。

古尔斯特兰德
获得诺贝尔化学奖的物理化学家阿累尼乌斯对古尔斯特兰德的意见表示同意,1918年普朗克刚刚因为量子论获奖,再紧接着因量子论颁奖给爱因斯坦,不妥;如果真要因光电效应颁奖,就应该给予实验物理学家。他还建议,1921年干脆不颁发物理学奖。结果,1921 年的诺贝尔物理学奖人选果真没有公布。
后来,德国的诺贝尔获奖者著名实验物理学家勒纳和斯塔克也大力反对爱因斯坦和相对论。可以说在当时爱因斯坦的相对论引发了物理学界的一阵漩涡。

勒纳
终于到了众多叫嚣爱因斯坦相对论没有实验基础的实验物理学家到了打脸时刻, 1911年爱因斯坦预言,当恒星的光非常接近太阳时,因为太阳的引力将会有一个小小的偏离,并第一次提出这种恒星光线的弯曲是可以测量的。1915年爱因斯坦的广义相对论发表,并计算出星光在穿过太阳附近时所产生的偏折角度为1.75角秒。这就是广义相对论的“光线偏折”的预言。

为了证明广义相对论的正确,爱因斯坦求助于天文学观测,提出了三个可以用天文学观测来验证的广义相对论效应。首先爱因斯坦用广义相对论解决了长期悬而未解的水星近日点附加进动问题。
爱因斯坦找到了他的亲密队友爱丁顿,爱丁顿经过活动,让戴森出面说动英国派出了两支日食观测队,一支到南美洲巴西的索贝瑞尔,由戴森亲自领队;一支到非洲西岸的普林西比岛,由爱丁顿领导。观测队各携带一台33厘米口径的天体照像仪,巴西观测队还多带了一台10厘米口径的光学望远镜。
最终爱丁顿与戴森多次讨论后,对3个观测结果的重要性给出评判,用加权平均的方法给出偏离1.64角秒的结果,与爱因斯坦的预言很接近。

爱丁顿
1919年11月戴森教授在皇家学会和皇家天文学会上宣布:观测结果支持爱因斯坦的理论。伦敦《泰晤士报》于11月7日发出头版头条新闻“科学革命:牛顿的思想被*翻推**。”但是,还是有不少人怀疑他们发表的结果,甚至散布发表的日食观测结果是“经过爱丁顿的烹调”。为此,戴森公开了原始底片的拷贝。
这个时候,就连爱因斯坦的老对手玻尔也第一次开始提名爱因斯坦,他特别提到相对论是“第一位的和最重要的”,还说,“在这里,我们面临着物理学研究发展中最有决定性意义的进步”。
这个时候,诺奖委员会让阿列纽斯出一份报告,在勒纳和斯塔克影响下,阿列纽斯提出红移实验还没有被完全证实,而且德国科学家革尔克于1916年曾提出,水星近日点的进动早就由德国物理学家格伯解决了。

阿列纽斯
爱因斯坦在1915年对水星的进动提出了公式,按照公式与牛顿万有引力定律所得的差值为每世纪43.03秒。最终与观测值十分接近,格伯的理论基础以及革尔克的意见被证实是建立在相互矛盾的假说之上,这个时候相对论的支持者已经越来越多了。
阿列纽斯提到的红移实验是指爱因斯坦曾预言恒星发出的光谱谱线由于强大引力的作用会使其波长变长,也就是发生引力红移。这个在当时因为观测设备的原因,一直没有办法证实,2010年在科学家通过实验,将引力红移效应的实验精度提高了一万倍,从而更准确地验证了爱因斯坦的预言。
不过,实验物理学家提出的质疑在爱因斯坦的两个预言被证实之后大部分都被*翻推**了,当时许多曾反对爱因斯坦的科学家都提名了爱因斯坦,比如汤姆孙。所以当普朗克在1922年提出1922年诺奖授予玻尔,1921年诺奖补授爱因斯坦时候,得到了诺奖委员会的认可,但诺奖委员会为了避免引发更大的争议,爱因斯坦最终因为光电效应获得了诺贝尔奖。

当时许多实验物理学家固守传统的科研观念,非常强调实验结果,将理论轻视为纯粹的猜想,而在经过爱因斯坦事件之后,实验物理学家的许多观念得到了革新,后来物理学就进入了量子力学和相对论两强争霸时代。
不过实验物理学家也没有闲着,在量子力学与相对论的巅峰之争索尔维会议上,也是积极参与做起了吃瓜群众。
