
(↑向上滑动图片查看更多)
关于“空气中自由释放的篮球能向上运动*吗?”的讨论
*注:这里及本文以下所谓的“向上运动”,不特指篮球“竖直向上运动”,而是指篮球在运动过程中的速度出现竖直向上的速度分量
序 言
在近期刚刚结束的2020年北京市高考中,物理卷第14题以从高处释放旋转篮球的生活场景为素材,通过提供新信息(空气阻力和偏转力的方向及大小),让学生结合已有的知识及方法(机械能转化、力与运动的关系及受力分析)判断并推测篮球在空中的运动情况。问题原文如下:
14.在无风的环境,某人在高处释放静止的篮球,篮球竖直下落;如果先让篮球以一定的角速度绕过球心的水平轴转动(如图)再释放,则篮球在向下掉落的过程中偏离竖直方向做曲线运动。其原因是,转动的篮球在运动过程中除受重力外,还受到空气施加的阻力
f 1和偏转力f 2。这两个力与篮球速度v的关系大致为:f 1=k 1 v 2,方向与篮球运动方向相反;f 2=k 2 v ,方向与篮球运动方向垂直。下列说法正确的是

A.k 1、k 2是与篮球转动角速度无关的常量
B. 篮球可回到原高度且角速度与释放时的角速度相同
C. 人站得足够高,落地前篮球有可能向上运动
D. 释放条件合适,篮球有可能在空中持续一段水平直线运动
该问题所描述的现象如图1中所示。首先对于题目中的A选项,由题目信息可知,不旋转的篮球下落不会受到垂直于运动方向的力而发生偏转,所以f 2的产生与球的转动密不可分。因此k 2与角速度有关,但仅从题目信息中无法得到该力产生的本质原因以及与角速度的具体关系。

图1 旋转篮球在空气中下落的运动情 况
题目中的B选项考察了学生对于空气阻力做功时能量转化过程的理解,由于机械能减少,篮球无法回到初始高度(本文2.1节的研究表明,如果忽略空气阻力的作用,篮球会做周期性运动,并可以回到初始位置。而空气阻力矩对其转动的影响请参见2.5节)。
对于问题中C选项所提到的篮球向上运动的可能性,如果从定性的角度分析这一现象,在篮球下落的过程中,由受力分析可知,随着速度不断增大,篮球受到f 1和f 2的合力沿竖直方向的分力可能会出现比重力大的情况,故而可使篮球竖直方向的分速度减小为零或变成竖直向上,所以篮球可能向上运动。图2中描绘了自由释放的旋转篮球在给定不同旋转速度时的运动轨迹,可以看到随着转速的增加,篮球在相同竖直位移(y轴)对应的横向(x轴)位移越大,且会出现在竖直方向上做往复运动的情况,绘制该图的理论讨论请参考2.3节。

图2 转速不同时篮球运动轨迹的变 化
(理论计算图像 )
而对于D选项所提到的“持续水平直线运动”,如果篮球的速度变成水平方向,则空气阻力的作用会使篮球速度减小,则篮球受到的偏转力f 2将变小,不能保持f 2与重力持续等大反向,所以不可能在空中持续一段水平直线运动。
可见,高考中这一问题的设置很好地考察了学生的科学思维,在引导学生从物理学视角认识和理解生活现象方面起到了很好的促进作用。同时这种现象并不仅限于篮球,它在其它任何涉及球类的运动中都很普遍,例如足球中的香蕉球、电梯球等,以及乒乓球的各类旋球技法[2,3]中。为了进一步挖掘这一现象背后的物理原理,本文将从如下几个方面展开讨论:
-
转动的球形物体所受到的偏转力是如何产生的?与物体的角速度有何关系?
-
哪些因素会影响球体的运动轨迹,将如何影响?
-
要想实现题目中C选项所提及的球体向上运动的现象,除了要满足“足够高释放”的条件外,是否还需要满足其它条件?
-
篮球虽不可能在空中持续一段水平直线运动,但其在空中的运动是否会像雨滴的收尾速度一样最终存在一个稳定运动的状态?
01 马格努斯效应及其简要证明
1672年,牛顿在剑桥观看一场网球比赛时观察到,上旋球会使球的下降速度更快。与此相反,下旋球会使球小距离地轻轻向上移动和漂移。1852年,德国物理学家海因里希·马格努斯提出: 当旋转物体的角速度矢量与其质心速度矢量不重合时,在与这两个矢量所在平面相垂直的方向上将产生一个横向力,导致物体飞行轨迹发生偏转,即著名的马格努斯效应[1].可见,由于马格努斯效应所产生的横向力即为篮球问题中的偏转力。

图3 马格努斯效应示意 图
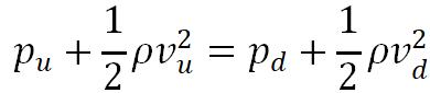
马格努斯效应的产生可以用伯努利原理来解释。如图3所示,考虑一个半径为r的球相对于流体以速度v向右运动,流体即以速度v相对球体向左运动。当球以角速度ω顺时针旋转时,其上下表面的速度方向不同。由于球的旋转,和其表面与流体的黏滞作用,其下端流体会因为球同方向运动的拖拽而加速;相反,球上端流体的速度会因为球反向旋转的阻碍而减小。因此,上下表面形成了由于流速差导致的压强差,由此产生了不为零的压力合力。这个力与球的转速方向垂直,也与相对流体的运动方向垂直,方向从流体经过球表面流速慢的一端指向流速快的一端。简单来看,球上端和下端的流体速度v u和v d可以表示为

(1)
利用伯努利方程,并忽略上下表面由于势能变化带来的压差,我们有

(2)
这里p u和p d是球上下表面的压强,ρ是流体密度。联立(1-2)式,可以得到

(3)
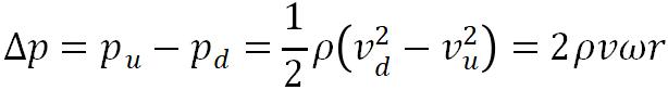
显然,这一压强差正比于转速,当转速为0时,压强差消失。进而,从量纲分析的角度,这一由物体转动带来的压强差在物体表面作用所带来的压力合力即为

(4)
其中S是球的横截面积。上式中力的具体形式可以进一步写为F=Cρωr 3 v,这里C是比例系数,可以在球表面经过面积分得到[4-6]。需要注意的是,常系数C还取决于流体在旋转物体表面的流动状态,因此不同形状以及表面粗糙程度不同的物体具有不同的系数C,对于其求解过程,这里不再展开讨论。但是这一系数的具体值,不影响(4)式得到的力关于转速ω、运动速度v的依赖关系。
(4)式得到的力即为马格努斯力,可以简写为

(5)
其中比例系数

(6)
与球的转速、空气密度、体积成正比。从这一推导中可以看到,马格努斯效应是伯努利原理的一个直接结果,与物体的转动和相对流场中的平动密不可分。总的来说,这一由于物体转动带来的垂直于物体平动方向的力会导致物体的轨迹相比于未转动的情况下更复杂,也会出现更丰富有趣的运动特征和轨迹。如图4所示,一个旋转着水平抛出的圆柱,会向上运动,而不是呈现出通常平抛运动的轨迹,这就体现了马格努斯效应对旋转物体运动轨迹带来的影响。

图4 旋转的纸筒在空中的飞行轨 迹
可见,只要能够让柱体保持旋转,同时借助螺旋桨带动其前进提供一个平动速度,便可用来制造飞行器,如图5所示.

图5 利用马格努斯效应制作的航 模
除此之外,马格努斯效应在船舶的推进装置中也有着广泛的应用。如图6所示的“Viking Grace”号就是通过安装圆柱形转子帆利用马格努斯力推进的客船。它利用发动机驱动转筒自转,使其逆风一侧表面的气压增大,顺风一侧表面的气压降低,从而产生一个垂直于气流方向的横向力。通过调整转筒的转速和旋转方向,可以调节帆体受力的大小和方向,从而为船舶提供前进的推力[7]。综合来看,在燃料节省与环境排放压力日趋增大的情况下,转子辅助航行技术具有一定的应用前景。

图6 全球第一艘采用转子帆技术的客船——"Viking Grace" 号
02 旋转物体的运动轨迹:
马格努斯效应的影响
在下面的研究中,我们具体考虑一个无质心初速度且有稳定旋转速度的球体在空气中自由释放后的运动。运动过程中其质心平动速度为v,球体绕质心旋转速度为ω.

图7 空中飞行的球形物体的受力示意 图
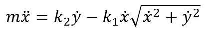
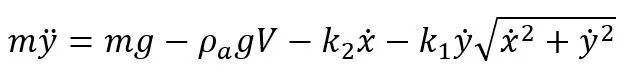
如图7所示,简便起见,我们考虑在空中运动的一半径为r,密度为ρ b,体积为V=4π r 3/3的旋转球体。在竖直方向,该球体受到向下的重力mg与向上的浮力ρ a gV,这两个力大小恒定与球的运动状态无关,这里ρ a是空气密度。此外,球体受到与运动方向相反的空气阻力f 1=k 1 v 2,以及在垂直于运动方向球体受到马格努斯效应产生的压差带来的马格努斯力f=2 k 2 v。考虑球体在x-y平面内的运动,可以列出如下两个运动方程

(7)

(8)
其中θ是球运动方向与x轴夹角,满足

(9)
联立(7-9)式,可以得到

(10)

(11)
对于球体而言,空气阻力系数和马格努斯力系数分别为

(12)
这里我们取了(6)式中的C=π 2/2[4],利用上面的关系以及球的质量m=ρ b V=4πρ b r 3/3,(10-11)式可以化简为

(13)

(14)
其中系数

(15)
这里

是空气与球体的密度比。实际上,在球运动的过程中,空气会给球一相对质心的力矩从而影响球的转速,进而改变系数

并影响球的质心运动。简便起见,在本文2.1-2.4节的讨论中,我们只关注球的质心运动,而不考虑球转速的变化,即将球的转速视为一定值。考虑转速由于空气阻力矩导致的衰减而对球运动轨迹的影响将在2.5节中给出。
显然,根据(15)式,若

,则

,

,且

,此时球体的运动方程(13-14)近似为自由落体的运动方程,空气阻力和马格努斯效应不明显。因此要想明显看到马格努斯效应或空气阻力的效应,需要球体的密度不太大,这也是演示马格努斯效应的实验通常采用空心球或气球等密度较小物体的原因。接下来,我们首先讨论两种极端条件下的运动情况。
2.1 马格努斯力系数k 2远大于空气阻力系数k 1
当k 2>>k 1,也就是球的转速ω很大时,可以忽略空气阻力的影响,而只考虑马格努斯效应。进而球的运动方程可以简化为

(16)

(17)
求解这一组微分方程,可以得到球的运动轨迹满足

(18)
利用Matlab作出球的运动轨迹如下:

图8 忽略空气阻力情况下竖直方向自由释放的旋转球体的运 动
图8表示,在空气阻力相比马格努斯力可以忽略的情况下,球在运动过程中能量几乎不耗散,且在x-y平面内做周期运动。由(15)式可以看出,这种情况下球上下震荡的频率为

,即球旋转速度越快,球相对于空气的密度越小,这一震荡运动也越快。
2.2 长时间后的稳定运动:匀速直线运 动
观察图7中的受力分析不难发现,球在运动过程中可能存在一种稳态运动:即受力平衡下的匀速直线运动。这种情况下,球的受力平衡方程为

(19)

(20)
这里,θ s和v s分别代表球在受力平衡状态下飞行方向与水平面的夹角和质心运动速度。联立上述方程组可以解得

(21)

(22)
其中系数

(23)
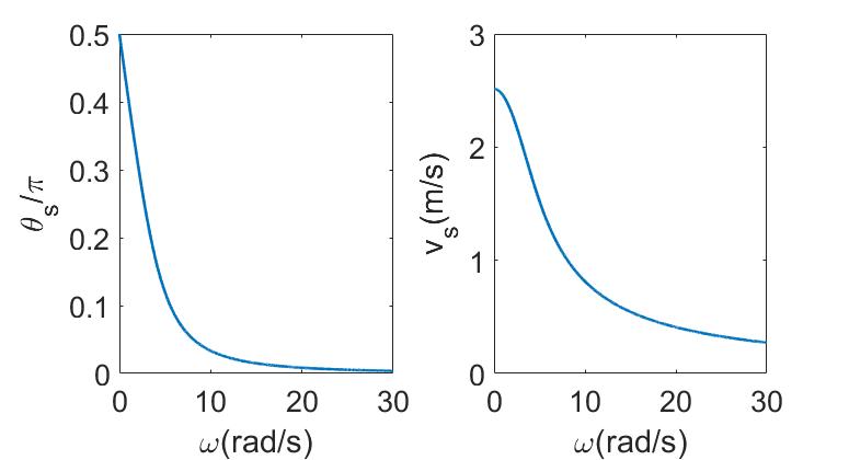
我们将受力平衡状态下球体速度与水平面的夹角θ s和运动速度v s分别称作收尾角度和收尾速度,并在图9中分别给出了随着转速增加时θ s和v s的变化趋势(按照篮球的参数取值进行计算,取半径r=0.123m,质量m=0.6kg,空气密度ρ a=1.29kg/m3,重力加速度g=9.8m/s2)。

图9 空气中旋转球体的收尾角度 θ s与收尾速度v s 随球转速的变化
从图9可以看出,随着转速的增加,球体收尾角度和收尾速度均减小,且收尾角度随着速度的增加减小得更快。这表明,当球体转速越来越大时,球释放后最终的稳态运动接近一种在水平方向的漂移运动(与水平方向夹角非常小),因而可以在水平方向有较大的移动距离。
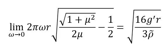
特别地,当球转速ω=0,球的运动不会偏转,最终会在空气阻力的作用下达到匀速状态。此时,μ→0,根据(15)式,收尾角度θ s=π/2, 即竖直下落;另外,根据(16)式,收尾速度为

(24)
这与直接计算空气阻力和重力作用下球体的收尾速度一致[8]。
2.3一般情况下的运动轨 迹
除了上面讨论的两种特殊情况,球的运动方程(13-14)没有一般的解析解。利用Matlab在不同的转速条件下求解(13-14)式,在图10中我们得到了若干有不同特征的轨迹。图10中计算所用参数与图9一致。
2.3.1无水平初速度释放篮 球

←a. ω=10π/s b. ω=17π/s→

←c. ω=20π/s d.ω=30π/s→
图10 无水平初速度自由释放旋转篮球在空气中的轨 迹
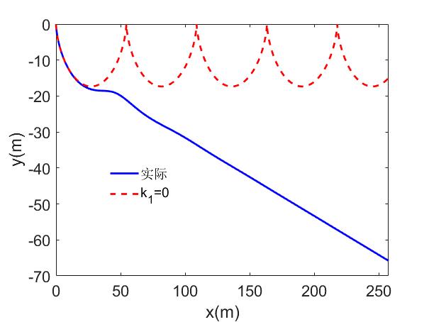
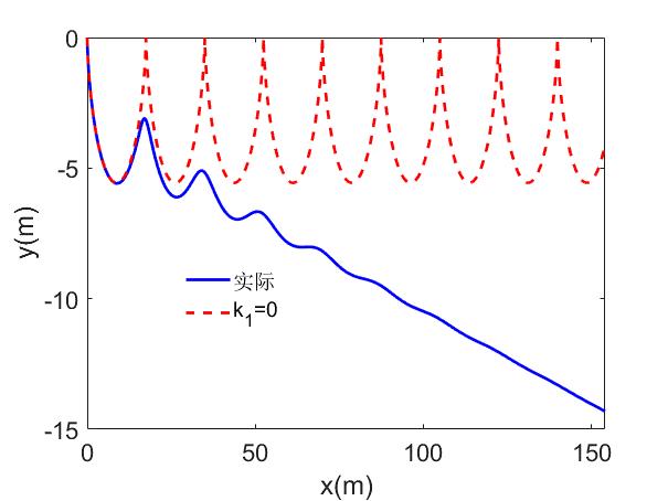
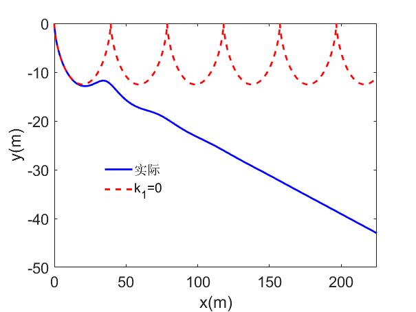
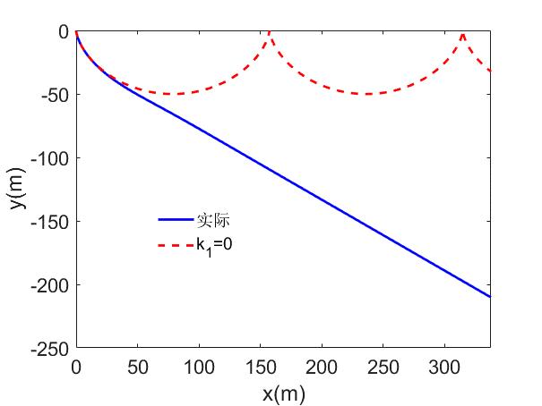
图10中,蓝色实线是Matlab数值求解球体动力学方程(13-14)式得到的解,红色虚线是2.1节中(18)式给出的不考虑空气阻力的解析解。球的转速在图10(a-d)中分别为ω=10π/s,17π/s,20π/s,30π/s.可以看到,在刚释放的一小段范围内,由于运动速度不大,空气阻力较小,蓝线与红色虚线几乎重合。随着运动速度的增加,空气阻力由于与速度二次方成正比而明显增大,从而使得蓝线与红线偏离。
另外,对比图10c和图10d可以看到,转速越大,球体在竖直方向上出现下降-上升的运动阶段越多。图10还表明,在运动的末期,球的轨迹趋于一直线,这与2.2节中给出的球的受力平衡解相吻合,此时球会做匀速直线运动直至落到地面。
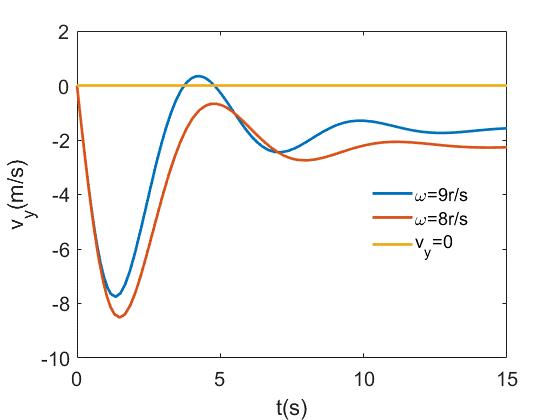
同时注意到,随着球转速的增加,球体可能在下落的过程中出现反向上升,如图 10 c和图 10 d所示,即本文开头所述北京高考物理卷1 4 题C选项所给出的运动情景。具体分析球上升运动的条件,如图11所示。

←a. 运动轨迹 b. 竖直方向运动速度→
图11 无水平初速度自由释放旋转篮球在空中出现上升运动的临界条 件
在图11中,我们绘出了转速分别为9r/s和8r/s篮球的运动轨迹(a)和竖直方向运动速度随时间的变化(b)。从运动轨迹可以看到,篮球是否出现上升运动的的转速临界点介于8r/s到9r/s之间。从图11b可以看出,转速为9r/s的篮球在扔出后5s左右,出现了y轴正方向的速度,即向上运动,而转速为8r/s的篮球没有出现v y>0的部分。同时,观察图10a,可以发现篮球向上运动临界点对应的竖直方向位移介于15-20米之间。因此,要想实现文章开头题目所述C选项的情景,需要抛掷篮球的离地高度至少在15m以上,同时旋转速度需要大于8r/s。
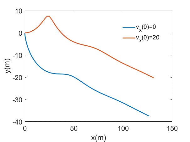
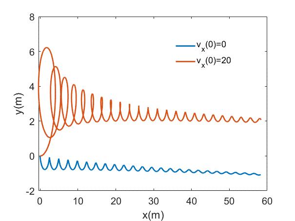
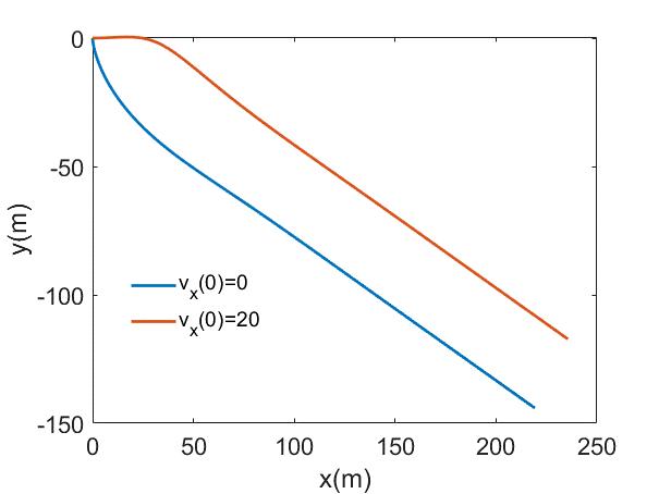
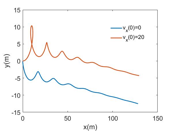
2.3.2 以一定水平初速度释放篮 球
图12给出了自由释放v x(0)=0m/s(蓝色实线)和以一定水平初速度v x(0)=20m/s(橘色实线)抛出的旋转球的运动轨迹的对比。球的转速在图12(a-d)中分别设定为ω=10π/s,17π/s, 30π/s, 80π/s.

←a. ω=10π/s b. ω=17π/s→

←c. ω=30π/s d. ω=80π/s→
图12 水平抛出的旋转篮球在空气中的轨 迹
从图12中可以看出,在初始角速度相同时,相比于无水平初速度的情况(对比图12b中的橘线和蓝线),当篮球以一定水平初速度释放时,初始时竖直方向的马格努斯力会出现大于球重力的情况,此时球开始“抬头”,即向上运动,运动到最高点后才开始下落。且当转速增大时,球的运动变得复杂,此时球会由于马格努斯力和空气阻力的共同作用在空中多次上升回落,甚至出现类似螺旋线的运动,如图12c与12d所示。
2.4 圆周运动和螺旋运 动
值得一提的是,在旋转球运动的所有轨迹中,会出现做圆周运动和螺旋运动的情况。当所抛掷球密度与空气等大时,即ρ a=ρ b,球在竖直方向所受重力与浮力平衡,也就是g'=0。此时,球运动方程(13-14)式化为

(25)

(26)
进一步地,若忽略空气阻力,则球只受到马格努斯力的作用,且总垂直于速度方向。不难推断这种情况下,球将在马格努斯力的作用下做匀速圆周运动,如图13 所示。

图13 带自转球体在仅受马格努斯力的作用下做匀速圆周运动
利用马格努斯力提供向心力,容易写出

(27)
其中R是球做圆周运动的半径,解之得

(28)
这是一个有意思的结果,此时马格努斯力会使得这样一个带自转的球体以

(29)
的转速做圆周运动。这一结果,在实验上可以用水平面上的旋转球体进行检验。这一运动状态与磁场中的带电粒子受洛伦兹力的作用而做匀速圆周运动的情景类似。
另一方面,若考虑空气阻力的作用,球体在做圆运动的同时速度会衰减,进而绕圈半径减小,因此会呈现出螺旋线的轨迹。在图14中,通过数值求解(25-26)式,我们分别给出了忽略空气阻力时

和考虑空气阻力时的旋转球的运动。图中计算所用球的自转速度取ω=10π/s,球的水平抛射初速度分别取v x(0)=10m/s(蓝色实线)和v x(0)=20m/s(橘色实线)。

←a. 无空气阻力的圆周运动
b. 计入空气阻力的螺旋运动→
图14 竖直方向(y方向)所受力为0时旋转球的运动轨 迹
观察图14(a)可以看出,忽略空气阻力时,球确实做圆周运动,且圆运动半径与抛射速度成正比,这与(28)式的理论结果一致。图14(b)表明,计入空气阻力后,球的轨迹是一类螺旋线,且随着抛掷速度的增加,螺旋线轨迹的尺寸增加。
2.5 空气阻力矩的影响
在前面的讨论中,我们假定了球的转速恒定,因此球受到马格努斯力的系数k 2恒定,故而球所受马格努斯力只会因为球质心运动速度的改变而改变。但在实际的扔球情境中,球的转速会因为空气阻力矩的存在而衰减,这会通过影响马格努斯力系数k 2的大小而影响球的运动,从而改变球的运动轨迹。一般来说,空气中旋转物体所受阻力矩与物体的转速成正相关,最常用的阻力矩模型一般认为阻力矩与转速的一次方或者二次方成正比,即

(30)
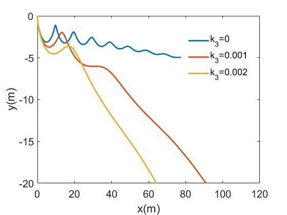
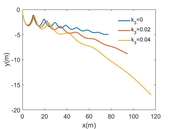
其中δ=1,2,k 3是空气阻力矩的系数。将上式与(13-14)式联立,我们可以求解转速衰减情况下球体的运动,相应的运动轨迹在图15中给出,球初始转速设为ω=40π/s.

←a. 空气阻力矩正比于转速
b. 空气阻力矩正比于转速平方→
图15 空气阻力矩对自由释放的旋转球体运动轨迹的影响
由图15可以看到,考虑阻力矩后,由于马格努斯效应随着转速的衰减而减弱,球在竖直方向的反向运动次数会降低。另外,对比图15b和图15a可以看到,当阻力矩正比于转速平方时,竖直方向震荡运动的衰减加剧得更为迅速。同时图中轨迹也说明,在考虑转速衰减后,球在同样的竖直位移下对应的横向移动随着转速衰减程度的增加而减少。
03
结论
总的来说,北京2020年高考物理卷第14题从高处释放旋转篮球的生活场景出发,通过给定新知识,考察了考生结合已有知识,并学习应用新知识解释物理现象、探究物理问题的能力。本文进一步分析了该题目所涉及的马格努斯效应,并具体讨论了旋转篮球在不同条件下释放后在空气中的运动轨迹,得到了以下结论:
(1)旋转球体在空气受到的偏转力为马格努斯力,可以从伯努利原理出发进行解释并推导其具体形式,为 F=Cρωr 3v, 与物体转速、相对流体的速度以及物体体积成正比 。利用马格努斯效应可以制成特定结构的飞行器,也可以用于轮船上作为推进装置节约能耗;
(2)在释放高度合适时, 当空气阻力相比马格努斯力可以忽略的情况下,旋转球在平面内做上下往复的周期运动;
(3)在释放高度合适时,旋转球在运动过程中最终会达到匀速直线运动的状态。且随着转速的增加,球体在该匀速直线运动中的收尾角度和收尾速度均减小,且收尾角度随着速度的增加减小得更快;
(4)根据数值计算结果,当释放高度至少达到15m,且球的初始转速大于8r/s时,旋转球在运动过程中将出现向上运动的情况;
(5)以较大的水平初速度抛出旋转的球时,球会先向上运动;
(6)当所抛掷球密度与空气等大,且不计空气阻力时,旋转球将做圆周运动。计空气阻力时,球的轨迹是一类螺旋线;
(7)若考虑空气阻力矩对释放球转动的减速效应,球在马格努斯力作用下的横向位移会减少。
参考文献
[1] Resnick R,Halliday D,Krane K S.Physics[M].John Wiley&Sons Inc,2002.
[2]蒋心怡, 吕建锋. 足球异常运动与其实际应用的MATLAB模拟[J]. 大学物理, 2019(11).
[3]赵炳炎,陈宗华.基于空气动力学的旋转球体飞行轨迹的计算模拟[J].物理与工程,2020,30(03):50-54.
[4] 潘慧炬.马格努斯效应的力学模型[J].浙江体育科学,1995(03):16-19+61.
[5] E·约翰芬纳莫尔, 约瑟夫B·弗朗兹尼, 约翰芬纳莫尔,等. 流体力学及其工程应用[M]. 机械工业出版社, 2006.
[6] 刘大为.球体飞行轨迹异常的探讨[J].大学物理,1987(01):43-45.
[7] 彭东升. 马格努斯效应及其在船舶上的应用[J]. 江苏船舶, 1990, 007(002):23-25.
[8] 赵芸赫,马宇翰.2019年北京高考物理24题引发的思考[J].物理教师,2020,41(01):86-88.
致 谢
感谢北京师范大学物理学系赵秀花同学对本文的仔细阅读、排版与校对,感谢首都师范大学附属中学范鸿飞老师、北京理工大学附属中学罗迪老师以及中国科学院大学物理学院欧仕刚同学对本文的仔细阅读和宝贵意见!
作者介绍
赵芸赫,北京师范大学物理学系本科、硕士,现为首都师范大学附属中学教师,研究兴趣为IYPT问题解决、中学阶段研究性课程设计;
马宇翰,北京师范大学物理学系本科,中国工程物理研究院博士,研究兴趣为有限系统热力学、黑洞信息问题。
来源:京师物理
编辑:小林绿子
