
中国电工技术学会将于2016年12月23日(周五)在北京铁道大厦举办“2016第三届轨道交通供电系统技术大会”。
请感兴趣的读者扫描下方的二维码,或关注微信公众号“电气技术”,浏览会议详情和进行快速注册报名。注册时请准确填写相关信息,会议服务人员将及时与您确认参会事宜。
深圳能源集团股份有限公司东部电厂的研究人员范新宇,在 2016 年第 7 期《电气技术》杂志上撰文,从硬件组成结构和软件控制逻辑的角度出发对三菱 M701F3 型燃气蒸汽联合循环机组的燃烧系统的工作方式和调节原理进行了概念性的阐述。
随后针对三菱机组 ACPFM 系统的硬件网络配置、调节原理做了简单的介绍。最后,针对燃烧调整的基本原则,以及燃烧调整效果的评估提出了看法。
1 燃烧系统结构
三菱M701F3型燃气蒸汽联合循环机组的燃料供给主要由5个阀门来完成。值班燃料压力控制阀、值班燃料流量控制阀、主燃料压力控制阀A、主燃料压力控制阀B和主燃料流量控制阀。
燃料压力控制阀主要是为了保证燃料流量控制阀前后差压的稳定。燃料流量控制阀根据机组负荷不同,控制燃料流量。燃料气经燃料控制阀后,进入环形母管,分别供给环形排列,斜插在燃压缸中的20个燃烧器。
燃烧器由燃料喷嘴、燃烧筒、过渡段和尾筒以及其它附件组成。燃料喷嘴由8个环形围绕的预混主喷嘴和位于中心的1个扩散值班喷嘴组成。燃压缸中充满压气机排气,通过燃烧器旁路阀调节从过渡段直接旁路掉的压气机排气量,来控制参与燃烧的空气量。
参与燃烧的压缩空气经燃烧器中的旋流器与燃气充分预混后燃烧,完成工质加热过程。结构示意图见图1。
图1 燃烧系统结构示意图

从燃烧系统的结构和工作原理来看,M701F3型机组燃烧的稳定性主要是通过两种手段来进行控制。一,控制值班燃料量,即控制值班燃料比率;二,控制燃烧器旁路阀的开度,从而控制参与燃烧的空气量,即控制燃料空气比例(下称燃空比)。
从三菱控制逻辑来看,燃料总量控制信号指令CSO(control signal output)来自于5种控制指令“小选”产生,即燃料限制控制指令(FLCSO:Fuel Limit CSO)、转速控制指令(GVCSO:Governor CSO)、负荷控制指令(LDCSO:Load CSO)、叶片通道温度控制指令(BPCSO: Blade Path temperature CSO)和排气温度控制指令(EXCSO:Exhaust temperature CSO)中的最小者为最终的CSO指令。
其中,FLCSO指令是机组转速的函数,主要作用在机组启动升速过程中,控制机组的整个升速过程;GVCSO指令是以额定转速3 000 r/min为控制目标,采用闭环控制回路维持机组稳定在额定转速,该指令信号主要是作用在机组达到额定转速后,并网前的阶段;机组并网后,LDCSO开始投入,其主要功能是维持机组负荷的稳定;BPCSO和EXCSO不是机组常规的控制手段,二者与叶片通道温度(BPT温度)、燃气轮机排气温度(EXT温度)和燃烧器壳压有关,主要作用是为了防止机组热通道部件超温造成损坏,而限制CSO指令的继续上升。
得到CSO指令后,三菱控制逻辑又将其分成主燃料流量指令(MCSO:Main CSO)和值班燃料流量指令(PLCSO:Pilot CSO),三者的关系为:MCSO =CSO – PLCSO。其中,PLCSO是由以CSO为因变量的F(X)函数输出值加上由自动燃烧调整系统输出的修正量得到。由此看到,在燃料流量控制中, CSO和PLCSO为主要控制因子。
在三菱控制逻辑中,为了描述值班燃料量与总燃料量之间的关系,采用了值班燃料比率(PILOT FUEL RATIO)的概念,即值班燃料比率(%)=值班燃料流量×100/总燃料流量。
燃烧器旁路阀控制指令(BYCSO)是一个以MW/(Kpc+B)为因变量的函数。MW/(Kpc+B)为燃烧器壳压百分比值与燃气轮机负荷百分比值的比值经压气机入口温度修正后的一个参数。
也就是说,燃烧器旁路阀的开度为压气机入口温度、燃烧器壳压和燃气轮机负荷的函数,参与燃烧的空气量的控制是与这三个参数有关的,另外最终的BYCSO指令中也包含了自动燃烧调整系统输出的修正量。
压气机进口导叶(IGV:Inlet Guide Valve)的主要作用有两点:一是机组启动过程中防止压气机发生喘振;二是机组正常运行时,控制燃气轮机排气温度,提高机组联合循环效率。
但当IGV开度增大或者减小时,进入压气机做功的工质就会相应增加或减少,因此就会使燃空比发生变化,从而改变燃烧器的燃烧状态。但这种改变只是影响燃烧状态,而不是进行燃烧稳定控制。
2 自动燃烧调整系统结构
M701F3型机组共有20个环绕排列的燃烧器,每个燃烧器上装设有1个压力波动传感器。此外,分别在3号、8号、13号、18号燃烧器上还装设有1个压力波动加速度传感器。压力波动传感器和压力波动加速度传感器在安装方式和监视侧重点上都有所不同。压力波动传感器安装在喷嘴根部的燃烧器外缸上,其直接与燃烧区域相通。压力波动加速度传感器安装在喷嘴根部的金属壁上,不直接与燃烧区域相通。
自动燃烧调整系统(ACPFM:Advanced Combustion Pressure FluctuationMonitor)硬件网络结构如图2。从图中可以看到,传感器采集到的压力波动信号经前置器送至VIM模块。
在VIM模块中,压力波动信号经快速傅立叶转换为9个不同频段的频谱信号,振动频谱信号再经ControlNet网络送至ACPFM系统的多功能处理站(MPS:Multiple Process Station)进行预报警(PRE-ALARM)、甩负荷(RUNBACK)和跳机(TRIP)逻辑保护判断。
同时,VIM模块输出的振动频谱信号经RS232送至DTU,再由DTU经以太网络送至CPFA电脑主机。CPFA电脑主机是自动燃烧调整的核心组成部分,其数据来源有二。一是刚才所说的从VIM模块送来的振动频谱信号,还有就是从透平控制系统(TCS: TURBIN CONTROL SYSTEM)经以太网传来的机组各项运行状态参数,包括压气机入口空气温度、压气机入口INDEX差压、燃烧器壳压等等。
CPFA电脑主机接收到这些数据后,根据以往机组正常运行时采集的历史数据,运用复回归分析法来分析预测各个参数变量之间的相关性和相关强度,从而计算出自动燃烧调整的修正值,再将修正值送回至TCS系统,完成自动燃烧调整功能。
图2 ACPFM系统硬件网络结构图

3 燃烧调整介绍
3.1 燃烧调整控制逻辑结构
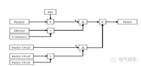
前面已经说过,M701F3型机组燃烧稳定的控制主要是通过控制PLCSO即值班燃料比率和BYCSO燃烧器旁路阀开度来实现的。因此,机组的燃烧调整主要就是围绕着这两个因素来展开的。PLCSO指令生成逻辑示意图如图3所示。
图3 PLCSO逻辑示意图

图3中PLCSO0是CSO的函数输出值。检修周期后机组初次启动时,三菱调试人员进行燃烧调整的主要工作就是确定CSO与PLCSO0之间的函数对应关系。另外,DPLCSO也为CSO的函数,T(PLCSO)为压气机入口空气温度的函数,二者用来对PLCSO0进行温度修正。
PLCSO(FX1)、PLCSO(FX2)和PLCSO(FX3)的功能分别与PLCSO0、DPLCSO和T(PLCSO)的功能相仿。只不过PLCSO(FX1)、PLCSO(FX2)和PLCSO(FX3)的函数对应关系是由ACPFM系统经复回归分析算法自动生成,经CPFA电脑主机通过以太网上传至TCS控制系统的,这就是ACPFM系统自动燃烧调整功能在PLCSO控制逻辑中的实现。
BYCSO指令生成逻辑原理与PLCSO相似,也分为人工调整部分和ACPFM自动调整部分。三菱调试人员进行人工燃烧调整的主要工作就是确定MW/(Kpc+B)与BYCSO0之间的函数对应关系。
3.2 燃烧调整基本原则
三菱调试人员进行人工燃烧调整的目的就是确定CSO与PLCSO0之间以及MW/(Kpc+B)与BYCSO0之间的函数对应关系。而燃烧调整的过程实际上就是人为在PLCSO0和BYCSO0指令上设置正、负偏置值(如图3的SG1),在各个机组负荷点不断寻找燃烧振动临界值的过程。
燃烧调整后,为保证机组安全稳定运行,PLCSO0最终设置值应至少保证在±1%偏置情况下,机组燃烧振动的稳定。同样,BYCSO0调整后的最小安全裕度应至少有±10%。
PLCSO和BYCSO对燃烧振动的影响以及对燃烧后的NOx排放的影响各有不同。PLCSO控制值班燃料比率。
值班燃料比率越高,火焰的稳定性越好,但NOx的排放量也会随之快速增加。值班燃料比率越低,NOx排放量也越低,但火焰的稳定性下降,严重时可以导致熄火。BYCSO控制燃空比。旁路阀开度越大,参与燃烧的空气量越少,火焰燃烧的温度越高,NOx的排放量会随之增加,此外还容易产生回火现象。
旁路阀开度越小,吹入喷嘴的空气量越多,火焰燃烧的温度越低,NOx的排放量也会随之下降,但容易造成空气吹熄火焰,导致燃烧器熄火。
在燃烧调整过程中,应时刻注意BPT温度的偏差程度。燃烧筒和过渡段暴露在高温区域,极易发生损坏。当燃烧筒和过渡段发生损坏产生裂纹时,压气机排气就会渗过裂纹,流入热通道,造成BPT温度下降。
因此,在发生某单个BPT温度过低造成BPT温度偏差过大的现象时,要及时降负荷甚至停机,以防止裂纹碎片对热通道部件产生二次伤害。
三菱将燃烧振动发生频率划分为9个频段,分别为LOW频段(15 Hz至40Hz),MID频段(55 Hz至95Hz),HIGH1频段(95 Hz至170Hz),HIGH2频段(170 Hz至290Hz),HIGH3频段(290 Hz至500Hz),HIGH HIHG1频段(500 Hz至2000Hz),HIGH HIHG2频段(2000Hz至2800Hz),HIGH HIHG3频段(2800 Hz至3800Hz),HIGH HIHG4频段(4000 Hz至4750Hz)。
在进行燃烧调整时,对各个频段都要注意其燃烧振动情况。随着,值班燃料比率和燃烧器旁路阀开度的变化,某个频段的燃烧振动幅度有可能反而会随着调整而增加,因此在调整时要注意选取合适的中间点。
根据以往燃烧调整的经验来看,在低负荷阶段,容易发生振动的频段为LOW频段和HIGH HIGH2频段。随着负荷的升高,HIGH1频段以及HIGH2频段的振动也会逐渐趋于偏高。在调整过程中,应着重注意各个高频段的振动情况,因为振动发生的频率越高,给燃烧器带来的伤害就越大。
4 燃烧调整效果的评估
对燃烧调整效果的评估可以从3个方面去考虑。
一是燃烧调整后,在各个负荷段以及变负荷工况下的各频段的燃烧振动情况。这可以通过负荷摆动试验后的振动频谱图和机组实际运行中燃烧振动情况,以及CPFM系统中燃烧工作点的位置是否趋于稳定工作区域中心位置来进行判断;二是燃烧调整后,机组联合循环效率有无变化。正常的只是针对PLCSO和BYCSO的燃烧调整,对机组联合循环效率的影响一般不大。但当需要对IGV开度进行调整时,机组联合循环的效率就会受到影响。
一般情况下,当环境温度比前次燃烧调整环境温度高时,为防止机组过早进入温控,则需适当开大IGV开度。当环境温度比前次燃烧调整环境温度低时,为防止机组排汽温度过低,降低余热锅炉效率,则需适当减小IGV开度。燃烧调整前,三菱工作人员会收集机组正常运行期间各个负荷段下的BPT温度和排汽温度,以及机组进入温控时的各个相关参数。根据这些数据和目前的环境温度再决定是否对IGV进行调整。
另外,减小IGV开度虽会提高排汽温度,提高余热锅炉效率,但是相应的燃气轮机部分由于做工工质的减少,效率会有所降低,所以在决定IGV开度的时候还要对此加以考虑,尽量选取合适的中间点。要对机组联合循环效率做出评估,就必须对燃烧调整前后各个负荷段下的各项数据进行对比分析。
数据应至少包括:燃气轮机负荷,CSO,PLCSO,Pilot Ratio,BPT温度,排汽温度, BYCSO,IGV开度,压气机出入口压力和温度,大气压力,大气湿度,高压、再热、低压主汽压力温度流量,余热锅炉排气压力和温度等等与机组联合循环效率相关的参数。
另外,也可以通过比较燃烧调整前后,相同负荷下,燃料气流量和燃气轮机、汽轮机出力情况来进行初步判断;三是NOx的排放情况,这可以通过余热锅炉烟气监测系统来进行判断。
5 结语
燃烧系统的稳定对于燃气轮机安全稳定的运行至关重要,而燃料热值成分的变化,大气环境温度的改变以及机组负荷的摆动都有可能加大燃烧时的压力振动。为了提高燃烧的稳定性,三菱燃气轮机设计了独特的燃烧器旁路阀结构,从而能够更加精确地对燃空比进行调控。
此外,在2000年,三菱推出了早期版本的燃烧压力振动监视系统CPFM(Combustion Pressure Fluctuation Monitor),早期版本的CPFM系统仅具备燃烧振动的报警、甩负荷和跳闸的逻辑连锁功能。
随着时间的推移,三菱不断完善该系统功能,又推出了功能更为优化的燃烧压力波动监视调整系统ACPFM (Advanced Combustion PressureFluctuation Monitor)。ACPFM系统在原先CPFM系统的基础上增加了一套燃烧压力波动分析系统CPFA(Combustion Pressure Fluctuation Analyzer)。
由此,ACPFM系统除了具备CPFM系统的所有功能外,还提供了实时燃烧压力波动分析,评估燃烧稳定安全裕度和自动进行在线燃烧调整的功能。
燃烧调整控制是三菱燃气轮机控制系统的核心部分。由于三菱的技术保密,至今为止我们对于该系统的关键内容也是知之甚少。要了解三菱燃烧调整系统,掌握燃烧调整技术除了要求技术人员对机组的运行特性及其主要参数的相关性非常熟悉外,还必须要有大量的试验数据作支撑。
这些需要国内主机厂家、调试、运行单位密切配合,共同努力积累经验数据才能够尽快吸收引进该项关键技术。
“2016第五届新能源发电系统技术创新大会”演讲报告精要版已在“分布式发电与微电网”微信(微信号:dggrid)上陆续发布,请感兴趣的读者关注阅读。