跟BrainNews 一起做一件有意义的事
众筹| 一年时间,100篇,我们一起总结抑郁症的研究进展
免费分享给所有人
第061期
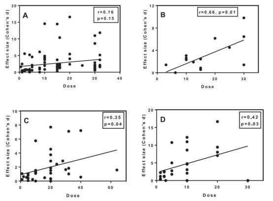
1,重审小鼠悬尾实验的有效性:原型抗抑郁药效用的系统综述及meta分析
译者:Lenore
关键词 :抗抑郁药;动物模型;有效性;效应值; Q统计
神经精神病学研究中动物模型的有效性需要进一步的查验。探查外部有效性的一类方法是进行系统综述和meta分析。本研究展示了抗抑郁药在小鼠悬尾实验(tail suspension test, TST)中药效的meta分析,采用PubMed检索以筛选出探查丙咪嗪和氟西汀在TST中药效的研究。
筛选标准为:在光照条件下实验;测试时间为六分钟;静止时间的得分为6或(至少)4分钟;采用成年小鼠;腹腔内(intraperitoneal, IP)给药。本研究使用了Cohen's d来估计效应值(Effect sizes, ES),Cochran's Q用于检验ES的异质性,Pearson's correlation用于分析剂量与ES之间的相关性,ANOVA用于检查各品系之间差异。
结果表明,抗抑郁药降低了动物在TST中的静止时间,一并降低了药物剂量和ES之间的相关性,但对品系差异没有影响。本研究指出,TST用于研究中可有效、一致、定量、且可重复地展现氟西汀和丙咪嗪在静止性降低上的药效。品系之间效应差异的缺席或许可以归因为许多品系的已有实验数量较少。

各研究中药物剂量与效应值之间的关系。
参考文献:Stukalin, Lan, Einat (2020) Revisiting the validity of the mouse tail suspension test: Systematic review and meta-analysis of the effects of prototypic antidepressants. Neuroscience and biobehavioral reviews. doi: dx.doi.org/10.1016/j.neubiorev.2020.01.034
2,暴露于PTSD的电击和提醒模型后杏仁核中的神经肽Y和*麻大**素相互作用
译者:Sheena
关键词 :NPY1受体,CB1受体,PTSD,抑郁
*麻大**素和神经肽Y(NPY)受体的调节可能为创伤后应激障碍(PTSD)提供治疗益处。在这项研究中,我们旨在研究PTSD大鼠模型中基底外侧杏仁核(BLA)中这些系统之间的功能相互作用。
将大鼠暴露于PTSD的电击和提醒模型,并在3周后测试其过度唤醒/ PTSD和抑郁样行为。暴露于电击后立即将大鼠与URB597(一种提高脂肪酸内酰胺类*麻大**素水平的选择性脂肪酸酰胺水解酶(FAAH)的*制剂抑**)或与NPY1受体激动剂Leu31,Pro34-NPY(Leu)微注射到BLA中。BLA内注射URB597可以防止电击/提醒引起的PTSD行为(惊吓)和抑郁行为(绝望,社交障碍)。实验结果已表明,URB597对PTSD和抑郁症行为的这些预防作用主要由*麻大**素CB1和NPY1受体介导,因为当将URB597与低剂量的CB1或NPY1受体拮抗剂共同给药时,它们的功能被阻断了。
同样,BLA内部注射Leu阻止了上述所有行为的发展。有趣的是,CB1拮抗剂阻止了Leu对绝望和社交行为的影响,但没有阻止灭绝和惊吓的影响。此外,暴露于电击和提醒状态会上调BLA和前额叶皮层中的CB1和NPY1受体,而BLA内URB597或Leu可使这种上调恢复正常。研究结果表明,eCB和NPY1系统之间的功能相互作用是复杂的,并为探索针对*麻大**类和NPY系统治疗压力相关疾病的新型治疗策略提供了理论依据。

电击和提醒状态对BLA和PFC中CB1r和NPY1r的影响
参考文献:Maymon, N., Zer-Aviv, T. M., Sabban, E. L., & Akirav, I. (2019). Neuropeptide Y and cannabinoids interaction in the amygdala after exposure to shock and reminders model of PTSD. Neuropharmacology, 107804. doi:10.1016/j.neuropharm.2019.107804
3,重度抑郁症奖赏处理的荟萃分析表明了奖赏回路的明显异常
译者:He
关键 词 :奖赏回路;荟萃分析
许多神经影像学研究调查了重度抑郁症的奖赏加工机制功能障碍。这些研究得出了一个普遍的观点,即重度抑郁症与奖赏回路内,尤其是腹侧纹状体的反应迟钝有关。然而,重度抑郁症与其他奖赏相关反应脑区之间的联系仍然没有定论,因此限制了我们对重度抑郁症的病理生理学的理解。
为了解决这个问题,我们对41项全脑神经影像研究进行了基于坐标的荟萃分析,包括794例重度抑郁症患者和803名健康对照者的奖赏相关反应。我们的发现与普遍的观点不同,即重度抑郁症主要与奖赏系统中的缺陷有关。相反,我们的研究结果表明,重度抑郁症与奖励回路的对立异常有关:腹侧纹状体反应低下和眶额叶皮质反应过度。目前的研究结果表明,皮质纹状体连接失调可能是重度抑郁症奖赏处理异常的基础,这为更精确地理解重度抑郁症奖赏回路异常提供了经验基础。

在重度抑郁症的奖赏反应中奖赏回路的对立异常。
参考文献:Tommy H. Ng et al. Meta-analysis of reward processing in major depressive disorder reveals distinct abnormalities within the reward circuit. Translational Psychiatry (2019)9:293.
4,抑郁症高危人群中色氨酸-尿嘧啶途径的血清代谢谱
译者:Navy
以前的报道表明,在慢性炎症中,色氨酸(TRP)-犬尿氨酸(KYN)途径在抑郁症发作中起关键作用。本研究的目的是调查高风险重度抑郁症(high-risk subjects of major depressive disorder,HRMDD)受试者血清TRP-KYN途径代谢产物的特征。本研究在HRMDD、患有慢性疼痛疾病的患者以及健康人的血清中,评估TRP-KYN途径代谢产物包括TRP,KYN,3-羟基邻氨基苯甲酸(3-hydroxyanthranilic acid,3HAA),3-羟基犬尿氨酸(3-hydroxykynurenine,3HK),运动尿酸(kynurenic acid,KYNA)和邻氨基苯甲酸(anthranilic acid,AA))的浓度。
在HRMDD血清中,观察到AA水平升高和TRP水平降低,而其他代谢物水平未发生显著变化。此外,受试者从健康状态到抑郁状态,AA2nd / AA1st比值与CES-D得分的增加显著相关。IL-1受体拮抗剂(IL-1RA)水平与AA水平呈显著负相关。更有趣的是,本研究证明了AA是有抑郁相关症状中可能的生物标记物,因为其在患有慢性疼痛疾病组和慢性不可预测的轻度应激抑郁模型小鼠中的代谢产物与其在HRMDD中的相似。因此,这些结果表明,AA可能是HRDMD的一个有效标志物。

TRP代谢物浓度在健康对照和HRMDD组中的差异
参考文献:Masashi Sakurai, et al., Serum Metabolic Profiles of the Tryptophan-Kynurenine Pathway in the high risk subjects of major depressive disorder, Scientific Reports, (2020) 10:1961.
5,德国新近入境难民的创伤后应激障碍、抑郁症和躯体化患病率的流行病学研究
译者:UTCS
关键 词: 德国;难民;抑郁症;心理健康
目标: 最近发生了世界范围的移民流动,但目前只有少数研究较为系统权威地报告了这些难民群体心理健康的流行病学数据。本研究采用了流行病学的方法,对最近从不同国家抵达德国的难民的创伤后应激障碍(PTSD)、抑郁和躯体化进行了评估。
方法:这项研究是在德国莱比锡一个收容那些寻求庇护者的机构中进行的。调查期间(2017年5月—2018年6月),共有1316名成人抵达该收容机构,其中有569人参加了本研究(N=67个初步研究和N=502个研究样本;回收率43.2%)。问卷(采用了11种不同的语言编写)中包括了社会人口学以及与飞行相关的问题,同时还包括了评估创伤后应激障碍(PCL-5)、抑郁症(PHQ-9)和躯体化(SSS-8)的标准化测量工具。创伤后应激障碍、抑郁症和躯体化的未加权和加权患病率数据,按性别和年龄组进行分层呈现。
结果: 根据已确定的划界分数,49.7%的被调查者至少对一种被筛查的精神障碍呈现出阳性症状,其中有31%患有躯体化,21.7%患有抑郁症,34.9%患有创伤后应激障碍;根据DSM-5计算了严重抑郁症、其他抑郁综合征和创伤后应激障碍的患病率,三者呈现的患病概率分别为10.3%、17.6%和28.2%。
结论:调查结果主要表明,难民们心理健康负担沉重,这为政府的卫生保健规划提供了重要信息。它们还为难民接受国的医疗保健系统和政府部门提供了重要信息,并表明尽早为遭受心理困扰的难民提供心理社会支持是非常有必要的。

研究样本中PTSD、抑郁和躯体化的共病模式(N=497)。
参考文献:Nesterko Y, Jäckle D, Friedrich M, et al. Prevalence of post-traumatic stress disorder, depression and somatisation in recently arrived refugees in Germany: an epidemiological study[J]. Epidemiology and psychiatric sciences, 2020, 29.
6,在重度抑郁症家族性风险增加的成年人群中,纹状体脑区在恐惧-惊吓以及工作记忆负载环境下对于奖赏的激活反应:一项初步研究
译者:Kagami
关键词 :重度抑郁症;奖赏;压力;纹状体;敏感性;fMRI
摘要:快感缺乏是重度抑郁症(Major Depressive Disorder ,MDD)的一项核心症状,其表现为在行为以及神经(例如纹状体区域)水平上,缺少或完全缺失对于奖赏刺激的响应。而暴露在充满压力的生活条件下,是重度抑郁症的另一个非常重要的风险因子。然而在重度抑郁症中,奖赏-响应缺陷以及压力之间联系的机制却所知甚少。本项研究主要探索了健康成年且具有重度抑郁症家族风险性志愿者(Healthy Vulnerable Adults, HVul,例如家族中有重度抑郁症患者)以及健康对照志愿者(Health Controls, HCons)中,压力条件是否会使得奖赏机制在两种人群之中产生差异。更加重要的是,已有许多文献报道在HVul人群中认知资源减少(reduction in cognitive resources)的现象,可能会使得压力引发的奖赏响应减少加剧。因此,本研究同时进行了关于认知资源的操作,以验证这种可能性。
方法:共16位HVul志愿者(包含12名女性),以及性别年龄相匹配的16位Hcon志愿者参与了本项研究,他们在进行一项工作记忆奖赏任务(working memory reward task)同时使用fMRI观测他们的脑区活跃程度。试验*共中**有三项变量因子,奖赏(奖赏,无奖赏),认知资源(低水平工作记忆或高水平工作记忆),以及压力水平(无刺激,不可预测的恐惧-惊吓)。仅奖赏期待阶段(reward anticipation phase)数据被分析。影像学分析主要关注于纹状体功能。
结果:在所有条件下,相较于Hcon组HVul组尾状核区域展现出较低激活程度。另外,在低工作记忆(working memory, VM)负载条件下,HVul组同时在伏核(nucleus accumbens)区域展现出较低的压力关联激活程度。更重要的是,在HVul组中当任务需求增加时(高工作记忆负载),压力增加了尾状核的激活程度,而当没有奖赏提示时两组面对压力其尾状核均不出现激活。
结论:本研究结果提示HVul人群对于进行性的快感缺乏症状可能有着更高的风险,这是由于他们对于奖赏有着较弱的价值认知编码,更难实践目标导向的行为,以及对于负向回馈有着更高的敏感性。这些发现对于压力以及奖赏响应机制是如何系统性发生关联并对重度抑郁症产生影响,以及认知资源是如何在其中调节这种联系的相关研究开辟了一条新的道路。

不同组在不同压力环境下对于奖赏提示的纹状体脑区域激活程度
参考文献:Gaillard, C., Guillod, M., Ernst, M., Federspiel, A., Schoebi, D., Recabarren, R. E., … Martin-Soelch, C. (2020). Striatal reactivity to reward under threat-of-shock and working memory load in adults at increased familial risk for major depression: A preliminary study. NeuroImage: Clinical, 26, 102193. https://doi.org/10.1016/j.nicl.2020.102193
校审/编辑:Simon/小时(brainnews编辑部)
前文阅读
1,060期抑研报|跨度10年25万人数据:抑郁症与消化性溃疡的双向关联
2,059期抑研报|日常饮食如何影响成年抑郁症患者症状?