抽动症也被称为图雷特综合征(Tourette Syndrome,TS),症状可涉及运动功能(运动抽动)、语言功能(发声抽动 ),并在3 岁时出现明显症状。抽动症会影响儿童的方方面面,包括学习、生活、社交等等。虽然部分患儿症状会随着年龄增长好转,但依然有部分患者症状会持续到成年。
目前,抽动症的治疗,依然以药物治疗为主,但是药物治疗存在许多不良反应,这就使得探索替代治疗方法显得尤为重要,而经颅磁刺激 (TMS) 或经颅直流电刺激 (tDCS),在这方面有着明显优势。
研究进展
虽然抽动症的神经生物学机制尚未完全了解,但普遍认为其症状与皮质-纹状体-丘脑-皮质环路功能失调有关。
tDCS在治疗抽动症方面,已经有了进展。例如2008年,Mrakic-Sposta等人,通过tDCS干预患者左侧运动皮层,发现抽动症状得到明显缓解;2015年,Carvalho等人,通过对辅助运动功能区(SMA)进行10次tDCS阴极干预,患者抽动症状明显减轻,在之后6个月的随访中,疗效依然稳定;其他一些试验也得到了类似的结果。
2019年,《Experimental Brain Research》上发表了诺丁汉大学心理学院的研究论文,介绍了tDCS应用于抽动症治疗的最新进展。

诺丁汉大学心理学院的研究论文
共有10名患者参与了此次临床试验。除了抽动症状外,患者还并发多动症、焦虑、抑郁症、强迫症等,同时服用可乐定、阿立哌唑、舍曲林、西酞普兰等药物。
tDCS干预,被设置为双侧刺激的方式,放置于辅助运动功能区(SMA)上方的头皮区域。干预电流强度被设置为1mA,时间为20分钟。伪刺激方案为开始15秒,及结束前15秒进行干预,其他时间不起作用。
试验前,采用《耶鲁抽动严重程度量表(YGTSS) 》评估患者抽动症状的严重程度,并录制8分钟的视频;之后,进行20分钟的tDCS干预(真/伪刺激);然后再次评估患者症状,并拍摄视频记录。
研究团队使用基于Rush视频的抽搐评分量表,使用总损伤评分(身体面积 + 抽动频率 + 抽动严重程度)计算的重复测量方差分析,揭示了 tDCS 类型(阴极/假)的疗效。

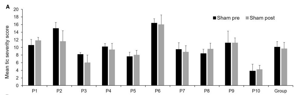
如上图所示,伪刺激试验中,患者症状未见明显改善。

如上图所示,在tDCS阴极干预试验中,患者评分出现了显著变化,表明阴极干预后,患者抽动损伤评分显著降低。
研究结论
本试验的目的,是通过对辅助运动功能区(SMA) 施加1mA阴极、或伪刺激,进行20分钟的tDCS干预,研究其对抽动症状和皮质兴奋性的影响。试验结果表明,使用Rush方法分析数据,tDCS干预在总损伤评分(抽动频率 + 严重程度+ 身体区域数量)中显示出影响。
由于本次试验的样本数量有限(n=10),同时考虑影响试验效果的因素(如干预方案、电极放置不当、患者对tDCS干预时出现的个体差异等),未来应在更大的样本中进行进一步的调查,以评估其疗效。
参考资料
Dyke K, Jackson G M, Nixon E, et al. Effects of single-session cathodal transcranial direct current stimulation on tic symptoms in Tourette’s syndrome[J]. Experimental brain research, 2019, 237(11): 2853-2863