在阅读此文前,麻烦您点一下“赞和关注”,方便您进行分享和讨论,谢谢您的支持!

编辑|史小官
引言
建立了一个灵活的平台,用于 研究耳蜗Corti器官,OoC在基底膜BM振动向内毛细胞束振荡的转导过程,考虑的解剖组分包括外毛细胞、,外毛细胞束、Deiters细胞、Hensen细胞、IHB以及锁网层的各个部分。

在每个组分中应用牛顿的运动方程,这些组分相互耦合,并进一步与位于锁网层下缘液体运动相耦合,能够获得作用于IHB的力,并因此研究其运动与不同组分参数的关系,其中一些组分具有非线性机械响应。
即使是OHCs顶端轻微的弯曲也可能对从BM到IHB的运动传递产生显著影响,包括关键的振荡器行为,模型暗示OoC的组分可能在BM到IHB的传递过程中合作,以增强频率选择性、幅度压缩和信噪比,由于该模型是 模块化 的,可以轻松修改每个组分的假设和参数。

哺乳动物的听觉涉及一系列的传导过程,空气中的压力振动由外耳收集,并经由中耳传递到内耳的耳淋巴液中,同时减少阻抗不匹配。
在对非水生哺乳动物可听到的大部分频率范围内,耳淋巴液中声音的波长比整个耳蜗还要长,耳蜗的分隔结构产生了一种行进的表面波,其波长逐渐缩短,使得沉积在分隔上的能量集中在其较短的一段上。

耳蜗的分隔结构在文献中有所描述, 所谓的“分隔”, 是指由基底膜、耳蜗器以及覆盖在OoC上方并与其通过一个薄的液体间隙分隔的听觉板组成的螺旋带,基底膜具有高度各向异性的刚度,主要是由于存在辐射状胶原纤维。
从耳蜗的基底到顶部,基底膜的刚度逐渐降低了两个数量级,宽度增加了约四倍;而基底膜厚度的纵向变化不太明显,将分隔视为“水平”,它在以下部分进行了划分:

基底膜充当弹性屏障,暴露在耳蜗中隔和耳后庭之间的压力差下,当振动存在时,该压力差很大,而OoC和TM则受到耳后庭的屏蔽,传递给耳蜗分隔的大部分弹性能量驻留在基底膜上。
重点研究耳蜗器 的一个部分,该部分在基底膜的特定纵向位置感知振动,将其传递到相应的内毛细胞束,然后传递到听觉神经,从这个角度来看,基底膜的运动将是“输入”,内毛细胞束的运动将是“输出”。

耳蜗器在耳蜗的基底区域的形状与靠近顶部的形状相当不同,将关注基底区域的耳蜗器,这里可以探测到更高的频率,并且耳蜗器对低幅放大和频率选择性有最大的影响。
显示了描述中考虑的组成部分,外毛细胞束附着在听网膜上,当外毛细胞的角质板上升时,相应的外毛细胞束会沿兴奋方向倾斜。

内毛细胞束并未附着在听网膜上,忽略了网状板的倾斜对内毛细胞束倾斜的影响,以便转动内毛细胞束并向听觉神经发送信号,需要在听网膜下的亚听网膜通道中有内淋巴液流动。
目标并不一定是获得对OoC的不同组成部分的机械参数的精确描述,而是希望深入了解这些组件是如何相互协作以实现其整体运作的。

希望能够提供可能解释IHBs未附着在TM上的好处的解释,以及一个有趣的事实,即在将流体流动转化为机械振动后,该振动再次转化为流体流动,这次是沿着一个窄通道进行,涉及高耗散。
在选择了模型之后,可以细致地遵循牛顿定律,大部分分析可以保持为解析形式,只需要轻微的数值处理,通过采用这种方法,与现实偏离,但得到了一种简单透明的方法。

一个已经得出的结论是,OoC能够压缩来自镫骨传递到BM的振动幅度并调谐频率,通过将BM的运动作为输入。
将主要研究一个更有争议的问题,即是 否存在另一种或附加的滤波器, 可在从BM到听神经的传递过程中实现压缩和调谐,通常将这种“第二个滤波器”的猜测归因于TM的运动,但分析表明这一特征并非必要。

CPs可以对内淋巴和相应的OHC和OHB施加的局部力产生轻微的凸起或凹陷。相关特点是,考虑了亚听板道中的局部压力相对于SM中的压力。
范围和约定
通常有三行OHCs,但一些模型假设只有一个OHC,发现第二个OHC使得我们可以将IHB的共振频率相对于BM的频率进行定位,为了保持模型简单,不包括第三个OHC,尽管这很容易实现,因为平台是模块化的。

根据测量结果,对于给定的OoC切片,RL围绕柱状细胞头部作为刚性梁旋转,将原点设在这个旋转点上,假设RL和HC上边界的平衡位置沿着一条直线,将其作为x轴,y轴指向“向上”。
传统上,人们认为TM和RL之间的相对运动主要是剪切运动,它控制着OHC的激励并产生内淋巴流动,Nowotny和Gummer表明,亚韧带间隙可以收缩和扩张。
最近的测量结果,在距离共振不太远的频率下,这种相对运动的x和y分量的振幅数量级相同,专注于脉动模式,通常被忽视。

用L、LHC和LT表示RL、HC和TM的长度,RL相对于x轴的角度用θ表示,IHB相对于y轴的角度用θin表示,假设|θ(t)| ≪ 1,因此RL和HC在x轴上的投影也覆盖长度L和LHC。
详细的建模
内淋巴对OoC组分施加的压力可以对它们的运动产生重要影响,由于内淋巴流量由亚听道间隙的 高度D0进行缩放, 自然而然地可以将所有数量以涉及D0的单位表示,长度的单位将是D0,时间的单位是D20/ν,质量的单位是ρD20,其中ν和ρ分别是内淋巴的运动粘度和密度。

这些单位的预期数量级为D0 ∼ 10 微米,D20/ν ∼ 10^-4 秒,ρD20 ∼ 10^-7 千克·米^-1,所有变量和参数都是以这些单位表示的,使用这些单位可能有助于在不同大小的耳蜗之间进行结果的比较和缩放。

目标是建立一个灵活的平台,其中OoC的每个解剖组分都由一个简单的模型描述,这个模型能够转化为一个简单的微分方程,可以通过改变系统中的一个微分方程来改变任何组分的模型,可以轻松地检查模型中的某个特定特征如何影响整个OoC的性能。

亚听板通道
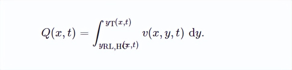
用p(x, y, t)表示耳淋巴中的压力,用v(x, y, t)表示局部速度的x分量,x方向上的流量为:

假设RL、HC和TM的运动与D0相比非常小,因此积分的上下限可以设为0和D0,假设耳淋巴是不可压缩的,进入区域的净流量必须通过该区域的膨胀来补偿,因此有:

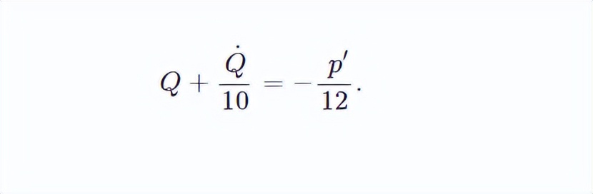
通过估算亚听板通道中的流体速度与与BM接触的流体速度相似,即使对于100 dB SPL,BM速度也不超过10−2 m/s,导致雷诺数最多为10−1数量级,流动肯定是层流的,利用不可压缩性,使用§2.2中定义的单位,并注意速度的二次项至少比线性项小一个数量级,x方向的Navier-Stokes动量方程简化为:

假设唯一的输入是BM的运动,而SM出口处的压力p(LT)被设定为恒定值,将p(LT)设定为0,即SM中的压力将被视为等于RL和HC下组织的压力,将RL视为一根直的梁,但从中排除了CPs,以探索它们可能弯曲的可能性,RL服从旋转方程的运动。

IRL是RL的转动惯量,κRL是RL的转动刚度,Fi是由位于x = xi处的CP施加在RL上的力,FH是由HC施加在RL上的力,积分范围是0≤x≤L,不包括CPs,CPs是位于毛细胞顶部的丰富肌动蛋白区域,毛细胞的顶毛束生根于其中。
假设每个CP可以相对于RL形成凸起,每个CP的长度为ℓ,其高度yi(x) = θx + bi(1 + cos [2π(x − xi)/ℓ]),其中bi是相对于RL的平均高度,将CP归因于质量m和位置yi = hi : = θxi + bi,则其运动方程为

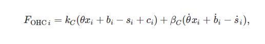
FOHBi是由毛细胞束施加的力,FOHCi是细胞的张力,设置Fi = kCPbi + βCPb˙i,其中kCP和βCP分别是恢复力系数和阻尼系数,通常假设CP在RL内固定,相当于将kCP和βCP取无穷大。

覆膜是具有粘弹性的,它的静态杨氏模量在几十到几百千帕斯卡的量级,并且根据其所在的区域,具有不同的性质,覆膜的多孔弹性、电动力学、纵向-径向耦合和波动特性在中有所介绍。

覆膜的机械特性被认为对耳蜗的调谐能力至关重要,为了验证这一说法,将覆膜的运动消除,并用位于恒定位置yT(x) = 1的刚性边界来替代。
假设OH层施加的力是其倾斜角的函数,而倾斜角本身是hi的函数,为了模拟测得的力,其具有一个不稳定的中心区域,采用以下表达式:

在上述表达式中,kB定义了刚度,sgn(hi) = hi/|hi|,而Hi表示不稳定区域的范围。
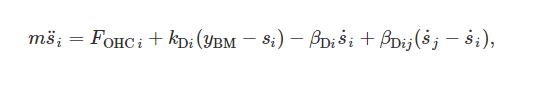
将外毛细胞想象成由两个物体组成的偶联体,每个物体具有质量m,并通过弹簧连接,一个物体位于切角板处,另一个物体位于与Deiters细胞的边界处,弹簧的一个特殊特点是它的松弛长度可以变化。

将FOHBi视为hi的函数意味着束运动所做的功在一个完整的周期内为零,如果一个周期的持续时间与适应时间相比不是很短,那么FOHBi就变得依赖于历史而不仅仅是hi的函数,并且它在一个周期内所做的功不一定为零。
用ci表示细胞相对于其静息长度的收缩量,用si表示下方物体相对于其平均位置的高度,假设OHC的张力具有以下形式:

kC和βC是正的常数参数,ci的值由毛细胞束的倾斜控制,假设当切角板向TM移动时,毛细胞束向兴奋方向弯曲,假设hi,按照长度Hi进行缩放,作为“兴奋程度”的一个指标, ci随着hi/Hi的增加而增加。
由于一个OHC可以收缩的最大长度应该有一个上限值Δ,当切角板偏离其平均位置较大时,收缩预计会饱和。

兴奋程度hi/Hi可以与Z(X − X0)/2kBoltT等同起来,由于ci不是FOHCi作用的两个物体之间距离的函数,OHC的运动能在一个完整的周期内进行非零的功。

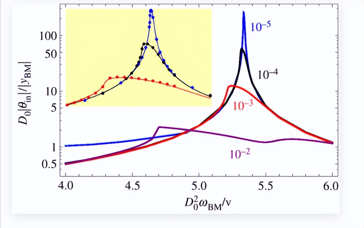
当Δ = Δc时, OoC成为临界振荡器, 在附录C中计算了在Δ = Δc附近的输出振幅表达式,发现Δc = 0.254D0,在Δ → Δc的极限下,振荡频率为ωc = 5.338,以ν/D02为单位。

强调这些值取决于所采用的参数,它们仅对特定的切片有效,对于ν = 7 × 10^-7 m^2 s^-1和D0 = 5 × 10^-6 m,临界频率为ωc/2π = 24 kHz,临界收缩量为Δc = 1.3 μm,OHC的长度通常约为∼10D0,其临界收缩量相当于其长度的几个百分比。
临界振荡器行为对于调谐和幅度压缩是一个巨大的优势,探讨了在“第二滤波器”中具有这种行为的影响,研究Δ = Δc的情况。
参考文献
1.Rabbitt RD, Holmes MH. A mechanical model for tuning andstimulated otoacoustic emissions in the cochlea. J Acoust Soc Am.1992;91(1):421-444.
2.Elliott SJ. The Physics and Psychophysics of Music: An Introduction.Springer Science & Business Media; 2013.
3.Neely ST, Kim DO. A model for active elements in cochlear biomechanics.J Acoust Soc Am. 1986;79(5):1472-1480.
4.Mountain DC, Hubbard AE, Goss SA, Neely ST. A model of activeelements in cochlear biomechanics. II. Power and dissipation in the humanear. J Acoust Soc Am. 1990;87(1):226-241.
5.Shera CA, Guinan JJ, Oxenham AJ. Otoacoustic estimation of cochleartuning: validation in the chinchilla. J Assoc Res Otolaryngol.2010;11(3):343-365.
6.Ruggero MA, Temchin AN. Unexceptional sharpness of frequency tuningin the human cochlea. Proc Natl Acad Sci USA. 2005;102(6):18614-18619.