文丨溪谈朱雀
编辑丨溪谈朱雀
在阅读之前,麻烦您点一下“关注”,方便您进行讨论和分享、增加阅读体验,感谢您的支持。
●—《前言》—●

白斑综合症病毒(WSSV)在世界范围内 造成对虾养殖的重大损失 , 发展抗性虾种群是管理该病 的一个重要选择。然而,WSSV耐药的遗传力通常较低,常规选择的遗传改良进展缓慢。
实验旨在确定基因组选择的能力和准确性,以提高白腿虾的WSSV抗性。用WSSV对虾进行实验挑战,并在感染后23天评估抗性为死或活(DOA),激发试验中的所有虾均对18,643个单核苷酸多态性进行基因分型。
●—《虾的抗毒性》—●

由白斑综合症病毒(WSSV)引起的疾病是全球对虾养殖的一个严重问题,它感染过的养殖虾种 ,具有高毒性,通常在几天内导致死亡。 消除病原体,可以降低与白斑病相关的经济风险,但在开放式池塘系统中消除通常是不可能的。
虾缺乏适应性免疫系统,依靠先天免疫系统来预防、耐受和清除感染,因此,其他牲畜使用的几种常规方法,例如 接种疫苗以增强免疫反应并提供保护,可以提高虾的成活率 。

南美白石罗佩 氏虾WSSV抗性遗传力的估计范围在0.01至0.31之间,这具体取决于虾的批次、存活天数,面对WSSV暴发,白斑病毒拷贝数(0.18)和池塘存活率(0.16)的遗传力较低。
选择后的遗传增益取决于在该种群中选择的性状的遗传力及其表型方差(遗传方差)、育种价值估计的准确性以及应用的选择强度。结果显示,WSSV耐药性的每代遗传增益范围为1.7%至6.5%。

育种候选者交配产生2个G1种群,一个基因组估计育种值高,另一个基因组估计育种值低,G的生存在挑战测试中比较了“随机”交配亲本种群的种群和后代。
结果表示过滤从mRNAseq鉴定的500个推定SNPs,得到323个SNP、,这些SNP被选中包含在定制的18 K Illumina SNP阵列中(MAF > 0.1,>51X覆盖率,并消除了每个重叠群的多个SNP和固定在R和S线中的SNP等位基因)。

在芯片上打印的总共290个SNP中,基因分型后的质量控制留下了643个SNP的基因型,这些SNP被认为可以接受基因组估计育种价值(gEBV)预测。
在G0挑战测试中,死亡率迅速增加,如预期的那样持续到第五天左右,然后,而不是通常的趋于平缓,每天继续死亡,直到测试结束。根据标准做法,即使有些动物仍在死亡,测试也于 22 天结束,以促进 G0 和 G1 之间的一致比较。

种群(DOA为0.30,DS为0.53)为纯R系动物(DOA 0.22和DS 0.39)和易感系动物杂交抗性(DOA 0.34和DS 0.48),在分析中包含的线的固定效应和不固定效应的情况下,都获得了类似的估计值。
结果发现纯抗性系(R系)和杂交RxS系动物内的遗传变异很大(纯R系DOA为0.056,杂交RxS系DOA为0.061,纯R系DS为22.5,杂交RxS系个体为27.7),因此可以预期良好的选择响应。这得到了育种值准确性的支持,该值通过对整个数据集的交叉验证估计,DOA为0.69,DS为0.64。

●—《功效分析》—●
分析表明,当随机组中有30名男性和女性时,高阻力组中选择的父母的最小数量应为40-20名男性和女性。 假设一个雄性与一个雌配以产生每个单独的家庭,评估基因组选择的实验功效。
在测试的1885只动物中,由于缺少亲本数据,删除了35个兄弟姐妹的家庭(随机gEBV组),无法确认3只动物来自实验中使用的父母,留下了1847条记录,对来自G1家族(32个高gEBV,19个随机和8个低gEBV)进行分析。

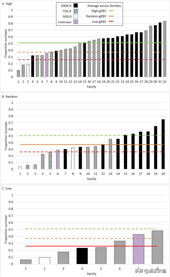
与随机组和低gEBV组相比,高gEBV组的累积死亡率以较慢的速度增加,并在较低水平上稳定。低gEBV组死亡率最快,累计死亡率达到75组最高水平(试验结束时低组累计死亡率为63%,随机组为49%,高gEBV组为13%),高gEBV组生存率提高了<>%。

高gEBV组家庭的平均存活率为51%,明显高于随机组(38%),而随机组又明显高于低gEBV组的25%存活率;家庭内生存范围较大,高gEBV家庭差异最大,平均家庭生存范围也最大。
存活后代比例最高的家庭在高组、随机组和低组中遗传了更大比例的抗性系基因(100%对75%或50%);低组没有一个家庭的存活率超过50%,而高组的一半家庭存活率超过50%,其中四个家庭的存活率超过32%,存活率超过70%。

高 (A) 随机 (B) 和低 (C) gEBV 的每个受挑战家庭中存活的比例选择 G1组,条形图的阴影表示该家族中抗性血统的百分比(黑色 100%,灰色 75%,白色 50% 和条纹(当父母一方的种群来源未知时)。
水平线显示了高(绿色)、随机(橙色)和低(红色)gEBV G 存活家庭的平均比例1组。实线与 G 相关1在每个图中表示的人口。
DOA在G中的遗传性1人口大于G0总体,无论选择组的效应是否在模型中拟合。对选择的估计实现响应大于预测,组间表型差异大于统计学估计的组效应。

平均生存率在 G1在一代基因组选择后,相对于G的平均生存率,对死活二元性状(DOA)的高WSSV抗性,种群从38%增加到51%1随机选择的虾。这清楚地证明了基因组选择作为开发WSSV抗性 南美白白对虾 的工具的力量,使用这种特殊的“合成”种群,其中包含WSSV抗性的巨大变异。
存活天数(DS)性状的遗传收益更大,具有基因组遗传力(h2DS) 和假性遗传方差 (V一 DS) 的6,预期比 DOA (h2DOA0.32, V一个 DOA0.07)。由于在文献中观察到DS和DOA之间始终如一的强正相关(例如r > 0.8)一种性状的改善可能会导致另一种性状的改善。

交叉验证,通过消除单个值并与剩余数据中的预测值进行比较,以前已经用于预测基因组选择的准确性,例如在 南美白乳杆菌 中报道了通过交叉验证进行基因组预测的准确性,以抵抗细菌性疾病、饲料效率性状和增长率。
我们使用功效计算来设计一个选择实验:(1)给出功效>0.95,以检测我们从估计的遗传力和选择差异中期望的选择反应,以及(2)给出尽可能多的高抗性家庭,适合进一步育种以增加抗性。

为了实现这一目标,我们的目标是产生30个高电阻,20个随机和10个低电阻系列。由于缺乏可用的育种者候选者,我们产生了32个高抗性,20个随机和8个低抗性家族。
预测的选择响应,基于从 G 估计的遗传力0交配后的实际选择差异(即每个选择组中亲本的平均育种值)对于选定的抗性组为0.075,对于选定的易感组为-0.084。然而,对选择的实际响应高于预测,且具有统计学意义( p < 0.05)。

然而,由于测试的虾很年轻,一旦达到适合标记的大小就会混合,我们预计全兄弟姐妹的共同效果很小。测试条件是受控和标准化的,尽管疾病压力和其他环境因素的随机变化仍然存在,应该不会在连续两代之间造成很大的差异。
首先,基于基因组学的方法确定了初始G中抗性的遗传变异。我们之前表征起始种群的试验表明,杂交系含有介于纯R线和S系动物之间的WSSV抗性水平,这表明等位基因可能具有促进抗性的加性效应。

其次,对选择组之间显著差异的检测表明,在第一代选择中,选择增加了WSSV的抵抗力。第三,在组内检测到广泛的差异,特别是在高gEBV组中。这很可能反映了高gEBV组中R线的比例理论上可以在0到100%之间(父母是纯R线和RxS线个体的混合体)。
第四,选择响应大于所应用的选择强度、估计遗传力和加性遗传方差的预期。最后,一代人存活率提高13%高于传统选择方法,遗传增益在商业上很有趣。

这里报告的生存水平在最佳人群中略高于60%,对于商业生产来说可能并不令人满意。然而,当疫苗接种被用作保护人群免受流行病侵害的手段时,由于群体效应,无需为每个人接种疫苗即可有效保护人群。
在选择虾的WSSV抗性时面临的另一个主要困难是,几乎不可能使用挑战测试的幸存者作为育种候选人,因为它们可以垂直传播病毒并感染后代种群。此外,清洁幸存者以将其纳入生产WSSV特异性无病原体亲鱼的育种计划的实际困难是巨大的。

我们已经表明,通过应用基因组选择,可以在南美 白乳杆菌 的育种计划中实现对WSSV抗性的显著有用的遗传改良。与传统方法相比,使用基因组数据可提高遗传力估计值,并将选择的准确性提高到商业相关的水平。
●—《用于研究的动物》—●
该研究使用了两个由哥伦比亚基准遗传学选择性繁殖了几代的白腿虾,第一个种群来自1997年开始的哥伦比亚大西洋沿岸的繁殖活动。该人群尚未暴露于WSSV,本文称为易感系(S线)。

该种群的家庭和家庭内组合选择侧重于快速生长,对陶拉综合征病毒的抵抗力,一般池塘存活率和严格的生物安全协议下16代的稳健性。
第二个种群,本文称为抗性线(R线),源自2008年的太平洋种群,以高强度(1 × 10−4),以便在 WSSV 存在下存活 7 代,大西洋和太平洋人口在哥伦比亚各自的海岸被隔离。
所有进入研究的动物都被认为是未感染病毒,S系动物每3个月对所有OIE列出的病原体进行PCR检测,发现所有列出的病原体均呈阴性超过4年。在激发试验之前,对来自R线的动物的代表性样本进行了WSSV的PCR检测43并发现为阴性。

大西洋和太平洋起始人群对WSSV感染的总体反应是从以前的试验中知道的,过去的挑战试验表明,S线包含的耐药性表型变异很小(家庭存活率在0-6%的范围内)。感染后死亡发生得非常快,没有动物存活超过4天。
相比之下,感染后 20-54 天,R 线中激发后生存率的变化范围为 15% 至 20%,杂交F1后代通过交叉R线和S线产生的WSSV抗性介于纯系之间。
图6

●—《基因组育种价值及参数估计》—●
G中所有动物之间的基因组关系矩阵(G)0估计如范拉登描述的那样,通过在多变量混合模型包DMU中运行动物模型进行遗传评估,所有受到病毒挑战的动物和所有育种候选人都包括在估计中。
使用动物模型分别分析DOA和DS性状:y=Xb+ZU+E
其中 y 是表型(DOA或DS)的载体, b 是杂交估计固定效应的向量,拟合有两个水平:纯种R或RxS杂交, u 是试验动物和候选者的估计育种值(gEBV)的向量, u ~ N (0 ,Gσ一个 2),其中 G 是基因组关系矩阵和 σ一个 2是 y 的加性遗传方差, e 是随机残差的向量。

假设随方差正态分布σ2e. X 和 Z 是将每个观测值链接到正确的固定效应类别和动物的设计矩阵,在单个性状模型中分别估计了两种性状的方差分量。这两个性状都作为连续性状进行分析,即仅在观察到的量表上进行分析。
●—《基因组EBV预测的准确性》—●
从 G0我们使用交叉验证估计基因组EBV预测的准确性的数据。每只动物被分配一个数字(1-10,创建10个随机选择的非重叠验证子集),分析重复10次,每次掩盖其中一个验证子集的所有性状的表型。

每个性状的准确度 (Acc) 估计为阿克=RgEBV,yh,RgEBV,y是表型和gEBV之间的相关性,对于每只动物,使用来自其表型被掩盖的运行的gEBV, h 是从完整数据集估计的遗传力的平方根。
给定一定的选择强度,可以根据估计的遗传参数预测对选择的反应。应用功效分析设计了一个选择实验,适合记录遗传增益并在可用基础设施的限制内验证遗传参数。对评估DOA性状的基因组选择的能力进行了预测,因为该性状被认为具有最高的经济相关性。

育种者选自 G0基于2018年WSSV挑战测试估计的DOA gEBV育种候选库,男性和女性分别在gEBV上排名,并选择了排名列表的两个尾部。
选择前60名雄性和60名雌性作为可能的高抗性育种候选者,选择后20名雄性和20名雌性作为可能的低抗性育种候选者。未被选入这些名单的动物,以及来自 G 的未经测试的动物,作为可能的“随机选择”父母。

产生了的32个家庭,其中8个来自高抗性动物之间的交配,20个来自低抗性雄性和雌性之间的交配,4个来自随机选择的动物之间的交配。
亲本的平均基因组育种值为25.0(抗性组)、−005.0随机和−28.0(易感组),避免了可能的全兄弟姐妹或同父异母兄弟姐妹之间的交配。为了本实验的目的,后代被称为G1人口。

2019 年,在哥伦比亚图马科的 Ceniacua 孵化场生成了配偶名单,并通过人工授精繁殖了动物。精选亲鱼的人工授精,包括从雄性候选者中提取精子细胞并将质量转移到人工授精的雌性候选者,描述如下:
雌性被放置在单独的孵化池中,在孵化每个科的约5,000个无节幼体样本后,将每个家庭的约50,10个无节幼体放养在单独的10L幼虫培养箱中。

幼虫被喂食毛 蚴 属卤 虫 属和微丸的混合饮,在后幼虫200阶段(PL100),将每个家庭<>只后幼虫的随机样本以<> / m的速度转移到单独的水箱中2生长密度,直到它们达到适合弹性体标记的体型(约1g)。
因为尽管选择交配产生高和低gEBV选择组的亲本数量不同,但选择强度在两个方向上具有相似的强度。G中实现的选择强度和遗传力的预期遗传增益通过亲本的平均育种值乘以估计的遗传力来估计,比较了已实现和预测的遗传增益。

●—<参考文献>—●
【1】Flegel(2006)《在亚洲检测主要的对虾病毒》
【2】Hernandez-Llamas(2017)《与白斑病相关的经济风险以及经济》
【3】Cock J.(2017)《管理非本地虾种群疾病的策略》
【4】莱特纳 D.V.(2011)《西半球(美洲)养殖虾的病毒病》
【5】Lightner D. V.(2011)《在对虾生物安全计划中排除特定病原体以预防疾病》
【6】Lotz J.M.(2018)《对虾水产养殖中的病毒,生物安全和特定无病原体种群》