锂电池是一种“摇椅”式工作的二次电池,如果锂离子在石墨负极和正极材料间来回无损失穿梭,那么这将是最理想的状态,但是事实是由于受到石墨层状结构、正极材料晶体结构、电解液离子传导率、温度等多重因素的影响,锂电池会在使用过程中逐渐衰减、变差,直至无效。
在现行的锂离子电池中,常用的锂电池负极材料主要分为碳类负极材料、钛酸锂以及硅基复合材料等等,由于钛酸锂的能量密度限制、硅基复合材料的膨胀劣性一直没有得到很好的解决,碳类负极材料依旧占据着锂电负极的主要部分。
碳类负极材料主要是由石墨,硬炭,软炭负极三类组成的,石墨是常用的负极材料。石墨由于具备电子电导率高、锂离子扩散系数大、层状结构在嵌锂前后体积变化小、嵌锂容量高和嵌锂电位低等优点,成为目前主流的商业化锂离子电池负极材料。大家都知道,锂电池是一种“摇椅”式工作的二次电池,如果锂离子在石墨负极和正极材料间来回无损失穿梭,那么这将是最理想的状态,但是事实是由于受到石墨层状结构、正极材料晶体结构、电解液离子传导率、温度等多重因素的影响,锂电池会在使用过程中逐渐衰减、变差,直至无效。
在长期循环的过程中,锂电池的石墨负极形貌、结构会发生怎样的变化呢?正极材料采用钴酸锂,负极材料采用石墨,制备出锂电池后对其进行长期循环试验,并在不同循环节点取样检测分析。
1、石墨负极的形貌在长期循环中的演变
锂电池循环试验进行了1000周,分别取未装配(a)、活化后(b)、600周(c)、700周(d)、800周(e)、900周(f)、1000周(g)的负极极片进行SEM分析,结果如图1所示:

图1.不同循环次数后石墨负极的SEM 图(5000 倍)
可以看到,无论是未装配、活化还是循环后的石墨材料均是由几百纳米到几十微米的颗粒组成,颗粒尺寸分布并不均匀,而且5000 倍的放大图中并未发现石墨材料的形貌出现变化。在50000 倍的放大图中(图2),未装配的石墨具有干净的表面,只活化的石墨表面开始出现膜状物质,而且在接下来的充放电循环过程中石墨表面同样也存在这些膜状物质。经过EDS测试分析后,发现在未装配的石墨电极中,仅含有C元素。但是只活化和不同循环次数后的石墨电极中除了C元素以外,还出现了O元素,这个结果表明只活化和循环后的石墨电极中生成了含O物质,证明此膜状物质为SEI膜。

图2.不同循环次数后石墨负极的SEM 图(50000 倍)
2、 石墨负极的结构在长期循环中的演变
石墨负极在长期循环过程中可能发生的变化,主要体现在石墨层玻璃、层间距变大等。分别对未装配、600、700、800、900 和1000 次循环后的石墨负极进行XRD测试,结果如图3所示。根据Bragg 方程和Scherrer 公式,可以计算出石墨材料在(002)晶面方向上的层间距d002、石墨化程度、晶粒尺寸Lc,以及晶粒尺寸La。

图3.不同循环次数后石墨负极的XRD图
图4为石墨电极的d002 和石墨化程度随循环次数的变化曲线。在整个1000 次的充放电循环过程中,石墨电极材料的d002和石墨化程度的变化幅度非常小,但是d002 呈现增加的趋势,石墨化程度呈现减小的趋势。

图4.石墨d002 和石墨化程度随循环次数的变化
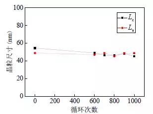
图5为石墨电极材料的晶粒尺寸Lc和La 随循环次数的变化曲线。未循环到1000 次循环过程中的Lc 呈现逐渐降低的趋势,La 没有出现明显的变化规律,其数值在47~49 nm 范围内波动。

图5.石墨的晶粒尺寸Lc 和La 随循环次数的变化
观察长期循环过程中石墨负极极片的形貌,结果如图6所示。只活化的石墨负极结合较好,表面状态正常,但是100 次和1000 次循环后的石墨负极边缘处和卷绕折痕处逐渐出现电极材料的脱落现象。由于石墨边缘端面处的反应活性高于基平面处,所以在边缘端面位置的副反应更激烈,使得石墨材料更易产生脱落。在整个长期充放电循环过程中,石墨材料的Lc 值呈现减小的趋势,d002 呈现增加的趋势。而Lc 值是d002 与晶粒内石墨片层数的乘积,所以晶粒内的石墨片层数呈现减小的趋势,这样的结构变化宏观上表现为石墨材料的脱落。

图6.只活化、100 次和1000 次循环后石墨负极的数码照片
在锂电池使用过程中,经常会出现容量衰减变快的现象,石墨负极的结构变化是其主要因素之一。我们也可以通过分析石墨负极结构和形貌的变化,来判断锂电池的合理循环寿命,在接近此参数时停止使用,以免负极石墨剥离铜箔析锂造成安全隐患。
本文数据来源:杨丽杰,锂离子电池石墨类碳负极的容量衰减机制研究