
如果忘了今天是星期几,怎么办?可以查看手机,因为手机带有日期功能(万年历)。但是,手机的万年历只能查询前后几十年的时间。如果想知道数百年前或者数百年后某一天是星期几?又该怎么办?下面介绍两种方法(公式),只需要知道具体的日期(阳历),就可以很快推导出这一天是星期几?
第一种方法(公式):

其中:[]是取整运算即截取该数的整数部分,mod是求余运算;
W:星期,0~6分别对应星期日、星期一、星期二、星期三、星期四、星期五、星期六;
c:年份的前两位数字;
y:年份的后两位数字;
m:月份(注意:3≤m≤14,即某一年的1月和2月要使用上一年的13月和14月来计算,如1989年2月6日要看作是1988年14月6日,对应的值分别是c=19,y=88,m=14,d=6);
d:日期。
如果时间是在1582年10月4日或之前,公式则为:

比如要推导2018年11月22日(c=20,y=18,m=11,d=22)是星期几?
计算:

即2018年11月22日是星期四。
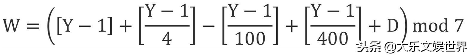
第二种方法(公式):

其中:[]是取整运算即截取该数的整数部分,mod是求余运算;
W表示星期,0~6分别对应星期日、星期一、星期二、星期三、星期四、星期五、星期六;
Y表示年份;
D表示这一天在该年中是第几天。
比如:要推导2018年11月22日是星期几?
计算:
Y=2018
D=31+28+31+30+31+30+31+31+30+31+22=326

即2018年11月22日是星期四。