
2-硫胞嘧啶(TC)
文 | 万物喵知道
编辑 | 万物喵知道
☾↢研究背景↣☽
作为设计用于低浓度作用的生物活性物质,混合TC离子可能对环境中的“非目标”生物产生不利影响,由于它们有生物积累的倾向,是一种严重的物质对所有层次的营养食物链的威胁,包括潜在的人类健康。
鉴于上述考虑,扩展研究以确定2-硫胞嘧啶(TC)存在的电极过程的动力学和机制,用,主要用于髓系白血病和选定的表面活性剂(十六烷基三甲基溴化铵(阳离子)(CTAB)和-1-十磺酸钠(阴离子)(SDS),典型缓蚀剂。

十六烷基三甲基溴化铵(阳离子)
这些表面活性剂通过形成混合吸附层,可以有效地干扰界面层的结构,影响电极过程的动力学和机理的变化。
纳米结构循环复合银基电极的应用(R-AgLAFE)在“帽对”完美条件下是汞滴电极的优良替代品,因为其质量和性能参数类似于HMDE和环境保护。
☾↢实验材料和方法↣☽
电化学实验采用μAutolab III型/GpES4.9版恒流器和可编程M165D电极支架,三极单元,工作电极-循环循环液体汞合金膜银基电极(R-AgLAFE),表面积为17.25 mm2,参考电极-氯银(Ag/AgCl)在3mom/dgcm−3氯化钾,辅助电极-铂线。

溶液在298°K下进行热处理,并用氮气脱氧,使用1mol⋅dm−3氯酸盐(VII)作为支撑电解质。
这种选择是由于ClO4−离子的复合物制造性能差,对水结构破坏敏感,以及它们只在汞表面吸附少量吸附。
研究溶液中Bi(III)离子的浓度为1⋅10−3mol⋅dm−3。此外,在进行测量前制备了含有2-硫胞嘧啶(Fluka)、1-十磺酸钠(Fluka)和十六烷基三甲基溴化铵(Fluka)的溶液。以下浓度或范围的有机物浓度使用:TC-1⋅10−3摩尔⋅毫米−3,SDS从1.5·10−5到9·10−5摩尔·d毫米−3和CTAB从1.5·10−6到1.5·10−5摩尔·dm−3。

磺酸钠结构
☾↢测量程序↣☽
在直流偏振、方波伏安SWV和循环伏安CV中,最佳实验工作条件如下:直流阶跃电位2 mV,脉冲振幅20 mV,频率120 Hz,SWV阶跃电位2 mV,扫描速率5-1000 mV−1和CV的步进电位为5 mV。速率常数的值由EIS测量得到。
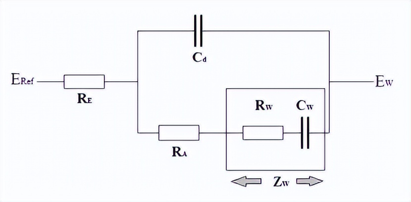
阻抗数据在10 mV间隔的法拉第电位区域内15-100,000Hz的36个频率收集,并通过兰德尔等效电路的有效表达式进行分析。这就考虑到了(Zw)中的欧姆阻力(Re)、双层容量(Cd)、电荷转移阻力(Ra)和Wartburg元素(方案1)。
为了研究电极过程的动力学和机理,确定了形式势(E0 f)、可逆半波势(E1 γ∕2)、过渡系数(α)、去极化电还原过程的速率常数(Dox)。

☾↢实验结果和讨论↣☽
有机物质可以抑制、加速或不抑制电极过程。
对混合吸附层对去极化器电还原动力学的研究表明,在催化剂物质和潜在*制剂抑**的存在下,这一过程的动力学发生了变化。对TC和表面活性剂的动力学变化效果的定性估计采用直流、SWV和CV电极伏安法。

方案1随机等效电路
硫胞嘧啶的存在使得限制电流的大小增加(图1a,b)。极谱波的斜率也增加了,这表明在有机物质存在的情况下,Bi(III)电还原过程的速率增加了。另一方面,在含有TC的碱性电解质溶液中加入CTAB或SDS表面活性剂,表明了直流曲线图像中的差异。

图1a
CTAB的存在并不会显著地影响限制电流的大小(图1),而SDS(图1b)会导致限制电流大小的减弱变化,特别是在5·10−5mol·dm−3的浓度以上。指定的浓度被指定为一个临界胶束化浓度。
使用伊尔科维奇方程确定的值仅考虑SDS存在和确定的CMC以上溶液粘度的变化。在CTAB的存在下(在恒定的TC浓度下),直流波斜率的增加表明电极过程的可逆性增加,而SDS则相反(图1a,b)。

图1b
CTAB在含有1·10−3mol·dm−3Bi(III)的1mol·dm−3氯酸盐(III)溶液中的存在增加了Bi(III)离子电还原的可逆性。另一方面,SDS导致相反的情况,峰值下降,超过5·10−5mom·dm−3(临界胶束化浓度),由于形成的半胶束阻塞电极表面。
对于只含表面活性剂的溶液,可以观察到由SWV曲线图像产生的Bi(III)离子电还原过程的可逆性发生相同的变化(图2a-d)。SWV伏安图分析了表面活性剂对电极过程可逆性的影响。在SDS的浓度为3·10−5mom·dm−3时,SWV峰的变形情况(图2b)。

图2a
所指示的浓度归因于临界胶束化浓度和对不可逆电极的抑制反应(ks=1.97 10−4厘米·s−1的电还原1·10−3摩尔3−Bi(III)1摩尔·d毫米−3氯酸盐(七)(诺-诺2010b)的电极表面形成的半粒(图2,b)。
然而,研究的表面活性剂的存在SVW峰的电还原双(III)离子1摩尔·dm−3氯酸盐(七)在恒定浓度的催化剂物质(1·10−3摩尔dm−3)表明进一步增加电还原的可逆性过程CTAB的存在和SDS存在时可逆性的降低(。CTAB浓度的增加导致SWV峰值电流的增加,同时峰值电位有轻微的不稳定(图2c)。

图2b
然而,考虑到峰值的图片,它们仍然可以很好地防御(对于TC-CTAB混合物),在其一半高度的宽度没有剧烈的变化。这表明,由于阳离子表面活性剂的存在和在R-AgLAFE/氯酸盐(VII)界面上的混合吸附层的形成,Bi(III)离子电还原加速的动力学增强。另一方面,混合TC-SDS吸附层的特点是电极过程可逆性动力学的变化表现为更好的SWV峰值和高度下降,特别是在CMC以上(图2d)。

图2c

图2d
从CV伏安图(图3a,b)中,确定了阳极和阴极峰电位偏差ΔE的值,这些值与SWV方波伏安法中相应峰的高度和位置的变化有简单的关系。1·10−3moldm−3TC的存在显著增加了过程的可逆性。与碱性电解质(1.10−3moldm−3Bi(III),1moldm−3氯酸盐(VII))相比,ΔE值下降了很大幅度。
在这种体系中加入表面活性剂会影响ΔE值的变化。CTAB导致阳极峰和阴极峰的电位偏差进一步降低(图3a),而SDS则正好相反(图3b)。这些观察结果得出的结论是,混合吸附层的存在显著影响了2-硫胞嘧啶加速Bi(III)离子电还原过程的动力学变化。

图3简历曲线的1·10−3摩尔·深−3双(III)电还原1·10−3摩尔·密度−32-硫胞嘧啶和CTAB的注入
对Bi(III)离子电还原作为电极电位的函数进行的研究,缺乏实际速率常数kf的线性结合了Bi(III)离子电还原过程的多步骤特征,以及在2-硫胞嘧啶和2-硫胞嘧啶-表面活性剂混合物的存在下(图4a,b)。
另一方面,所有研究体系的阳极和阴极峰电位变化ΔE随极化速率的变化(表1a,b),表明Bi(III)离子电还原过程的速率受化学反应的控制。、

图4:1·10−3摩尔·dm−3和不同浓度的CTAB作为R-AgLAFE电极电位的函数
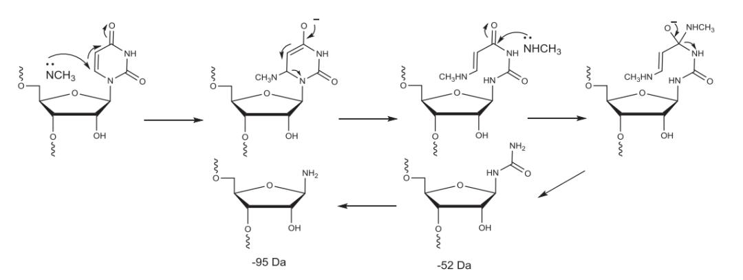
先前对2-硫胞嘧啶的研究表明,在电极表面形成Bi-(RS-Hg)活性配合物,介导电子转移。在2-硫胞嘧啶存在的情况下,在1moldm−3氯酸盐(VII)中发生了Bi(III)离子的电还原过程。
在碱性电解质溶液中,2-硫胞嘧啶-CTAB混合物存在时,Bi(III)离子电还原过程的机理没有变化。对于2-硫胞嘧啶,极化速率变化的偏差很小(在这些低速率下)。在混合吸附层形成的情况下,由于表面活性剂分子中带正电荷的氮原子之间的排斥相互作用,指向溶液。

表1在不同浓度的CTAB添加和110−3moldm−(110-3momdm−(III)电还原过程的∆E的变化
这将使先前形成的Bi-(RS-Hg)活性配合物更容易到达电极表面,从而增加Bi(III)离子电还原过程的速率(图5)。而在2-硫胞嘧啶-sds体系中,存在不同的依赖性,ΔE随极化速率的变化差异显著,特别是在CMC(5·10−5mol·dm−3)以上指出了Bi(III)离子电还原过程发生机理的变化。最有可能的是,表面活性剂分子阻止电极表面被挤出和CTAB的存在先前从吸附层中形成的Bi-(RS-Hg)活性配合物(图6)。

图5Bi(III)离子在氯酸盐(VII)中的电还原方案,包括活性配合物介导电子转移的中介作用
这改变了2-硫胞嘧啶的催化动力学向抑制作用。在论文中也观察到了类似的情况。然而,需要强调的是,在这两种情况下,Bi-(RS-Hg)复合物都起着关键作用,因为2-硫胞嘧啶在形成所研究的混合吸附层的吸附平衡中起着主导地位。

图6考虑活性配合物介导电子转移的Bi(III)离子的电还原方案
☾↢动力学参数↣☽
根据CV循环伏安曲线确定的阴极跃迁系数(α)和标准速率常数(ks)定量地表明了2-硫胞嘧啶的催化效果与碱性电解质溶液中表面活性剂的存在有关的变化。

表2:在不同浓度的CTAB添加物和110−3moldm−3 2-硫胞嘧啶存在下,阴极转变系数电还原的标准速率常数ks
在含有恒定浓度的2-硫胞嘧啶的碱性电解质溶液中加入CTAB后,过渡共产物α值的增加,表明Bi(III)离子电还原过程的可逆性增加。这也转化为标准速率常数ks的增加,限制了在CTAB存在时TC催化动力学的增加。
而在测试系统中加入SDS后,α值呈下降趋势。在含1.10−3mol·dm−3 2-硫胞嘧啶的氯酸盐(VII)溶液中,速率常数值随SDS浓度的增加而减小。特别是当浓度为5·10−5mol·dm−3SDS(CMC值)及以上时,浓度呈下降趋势。这导致了电解质力学的变化,以及由于碱性电解质溶液中表面活性剂浓度的增加而导致电极表面的阻塞。

表3:−3Bi(III)电还原的阴极转变系数α和标准速率常数ks
☾↢实验结论↣☽
TC-CTAB和TC-SDS混合吸附层的存在说明了2-硫胞嘧啶加速Bi(III)离子电还原过程的动力学变化。指出了Bi-(RS-Hg)配合物的主要作用,与2-硫胞嘧啶在所研究混合物吸附平衡形成中的优势有关。在存在加速去极化电还原的物质的情况下,随着电解质溶液中CTAB浓度的增加,电极过程的可逆性增加。
由于混合吸附层的打开,较早形成的Bi-(RS-Hg)活性配合物有更好的途径进入电极,这解释了电极过程速率的增加。另一方面,在2-硫胞嘧啶-sds混合物中,可以观察到相反的情况。
表面活性剂分子以半单体的形式阻止电极表面将较早形成的Bi-(RS-Hg)活性配合物从吸附层推出,导致机理的改变,从而导致Bi(III)离子电还原过程的动力学下降。然而,需要注意的是,Bi(III)离子在多步电还原过程中的脱水和活性复合物步骤比电子过渡阶段要快得多。这防止了检测在电极表面的活性复合物的形成及其组成。多样性在这些配合物的结构中的作用,但在bi-h2o-2-硫胞嘧啶的组合中似乎是重要的。
该研究的结果可以指向医学的一定方向,以识别和了解控制药物释放的其他机制。有必要研究这些药物的作用机制,并寻找可用于监测患者健康状况的控制药物释放的新系统。