
治疗慢性丙型病毒性肝炎(CHC)合并肾功能衰竭血液透析的患者,我们需要既不影响肾功,又不被血液透析影响疗效的理想药物。
来源丨医学界消化肝病频道
HCV主要通过血液传播,血液透析者由于长时间体外循环、营养状况和免疫功能差及反复穿刺等原因,成为CHC的易感人群[1]。据统计,血液透析患者中HCV感染率高达10%-25%[2]。而HCV感染可能会对肾功能产生负面影响,会降低肾功能不全患者的生存率[2,3]。
因此对肾功能不全的CHC患者的抗HCV治疗非常重要,但是由于血液透析可能会对药物的代谢产生影响,而血液透析患者又应避免使用或慎用能够加重肾功损害的药物。那么,适合这一类患者使用的抗HCV药物是否存在呢?让我们在临床实践和临床试验中寻找答案吧。

一例成功治疗者 [4] 的启示

患者是一位76岁的日本男性,GT1b型CHC病史和肾病综合征病史均为11年,肝功能Child-Pugh分级为*级A**,接受透析治疗。患者未曾使用过干扰素,治疗者为患者选择了ombitasvir(25mg/日)+paritaprevir(150mg/日)+ritonavir(100mg/日)的抗HCV的初治方案,但是在用药12天后,患者的血肌酐升高至8.23mg/dL,血钾升高至5.6mEq/L。患者治疗前的基线检验值见表1:
表1 患者基线检测结果

由于初治方案的肾功损害,患者中断了抗HCV治疗。在1年以后,治疗者为患者启用了择必达(Zepatier,Grazoprevir/elbasvir)12周方案,患者获得了良好的快速病毒学应答(RVR)和持续病毒学应答(SVR),未出现药物不良反应。患者同时使用熊去氧胆酸、雷贝拉唑等药物,Zepatier与这些药物并未出现相互作用。在治疗过程中,患者的ALT和HCV RNA动态变化过程见图1:

图1 患者在治疗过程中的ALT和HCV RNA
动态变化过程
注:实线:HCV RNA;虚线:ALT;
红线以后为Zepatier治疗情况
这例患者的成功治疗让我们思考,Zepatier是CHC+血液透析患者的理想药物吗?是否有足够的证据支持这一结论呢?
证据之一
C-SURFER研究[5]
Ⅲ期临床试验C-SURFER,研究了CKD4、5期肾病患者,在接受或不接受血液透析的情况下使用Zepatier的疗效和安全性。在最初登记的235名研究者中,有179(76%)名患者是血液透析患者,191(81%)名患者是CKD5期患者。在最终纳入分析的116名患者中,CKD4期患者的SVR12为100%,CKD5期患者为98.9%(具体见表2);此外,C-SURFER研究还证实,Zepatier的药物安全性良好。
表2 C-SURFER亚组分析结果

证据之二
一项回顾性研究[6]
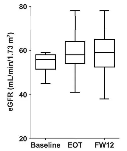
在一项回顾性研究中,研究者在Zepatier的9项II/III期临床试验中,挑选出32名CKD3期(30≤基线eGFR <60mL/min/1.73m2)患者进行分析。结果发现,Zepatier在这些患者中,SVR12达到97% (31/32)。最为重要的是,Zepatier不但没有对患者的肾功能造成影响,部分患者在治疗后还出现了肾功能的改善。如图2所示,中位eGFR值在治疗前、治疗终点及随访第12周,具有显著差异,治疗后eGFR值增加。

图2 不同时期中位eGFR值比较
证据之三
真实世界中的大规模研究[7]
Kramer教授在AASLD 2017年年会上报告了真实世界中Zepatier治疗CHC+CKD患者的有效性。研究者研究了使用Zepatier治疗的2436例CKD患者,其中CKD4期、5期患者为407例。结果如下(表3):
表3 Kramer教授团队研究结果

总结
血液透析CHC患者的抗HCV治疗是临床医生面临的一大难题与重要挑战,而多项研究充足的证据表明,Zepatier是CHC+血液透析患者的双赢选择,让这一难题得到更好的解决方案。
Zepatier的两种组成成分——Elbasvir和Grazoprevir,主要由胆汁及粪便排泄,经肾脏代谢率<1%;且二者与血浆蛋白结合率分别超过99.9%和98.8%,使药物疗效不受血液透析影响。美国肝病研究协会和美国感染病学会联合发布的CHC诊治指南推荐Zepatier用于CKD/血液透析患者,且无需调整剂量。相信随着Zepatier在中国上市后的广泛应用,我国CHC+血液透析患者将越来越多地得到获益。
参考文献:
[1] 华银玲,郭丽斌,时祥音,等. 维持性透析患者感染丙肝病毒危险因素logistic回归分析. 中华医院感染学杂志2017,27(7):1497-1503.
[2] Roth D, Gaynor JJ, Reddy KR, Ciancio G,Sageshima J, Kupin W, Guerra G, Chen L, Burke GW. Effect of kidneytransplantation on outcomes among patients with hepatitis C. J Am Soc Nephrol. 2011;22:1152–1160.
[3] Baid-Agrawal S, Pascual M, Moradpour D, Frei U, Tolkoff-RubinN. Hepatitis C virus infection in haemodialysis and kidney transplantpatients. Rev Med Virol. 2008;18:97–115.
[4] Kanda T, Yasui S, Nakamura M, et al. Successful retreatment with grazoprevir and elbasvir for patients infected with hepatitis C virusgenotype 1b, who discontinued prior treatment with NS5A inhibitor-including regimens due to adverse events. Oncotarget. 2018;9(22):16263-16270.
[5] Roth D, Nelson DR, Bruchfeld A,et al. Grazoprevir plus elbasvir in treatment-naive and treatment-experienced patients with hepatitis C virus genotype 1 infection and stage 4-5 chronic kidney disease (the C-SURFER study): a combination phase 3 study. Lancet. 2015;386(10003):1537-45.
[6] Reddy KR, Roth D, Bruchfeld A,et al. Elbasvir/grazoprevir does not worsen renal function in patients with hepatitis C virus infection and pre-existing renal disease. Hepatol Res. 2017;47(12):1340-1345.
[7] Jennifer R. Kramer, Amy Puenpatom, Kevin Erickson, et al. Effectiveness of Elbasvir/Grazoprevir in patients with Chronic Hepatitis C and Chronic Kidney Disease: Results from the Veterans Affairs system. AASLD 2017,HEPATOLOGY, VOLUME 66, NUMBER 1 (SUPPL).