郑波1,2 宋宇3 徐步青3 王芮敏3 周峰3 马国远3
1.空调设备及系统运行节能国家重点实验室
2.珠海格力电器股份有限公司
3.北京工业大学制冷与低温工程系
摘要
气泵驱动回路热管是数据中心自然冷却的重要系统型式,可有效降低其冷却总能耗,气泵更是其中的关键专有部件。在前期气泵研究工作的基础上,专门针对小型滚动转子式气泵,建立其泄漏间隙模型,对不同间隙泄漏量、制冷剂种类对其泄漏特性的影响展开分析。研究表明:四种气泵间隙泄漏的泄漏量峰值均远低于常规压缩机,其泄漏量波动幅度也远小于压缩机的波动幅度;不同工质在气泵和压缩机中的泄漏量变化趋势基本一致;在轴向间隙泄漏中,R134a和R22工质的泄漏量峰值高于R32和R410A,按照其泄漏量大小排序为R134a>R22>R32>R410A,而在其他三种间隙结构中则相反;总泄漏量中,径向间隙泄漏量和轴向间隙泄漏量占比较大。
关键词
数据中心;自然冷却;气泵;间隙泄漏;工质
DOI: 10.19784/j.cnki.issn1672-0172.2023.02.010
0 引言
随着数字经济加速发展,作为新型基础设施的数据中心和5G基站得到快速发展,同时其能源消耗也在急剧增加,而采用热管、氟泵、蒸发冷却等自然冷却技术可以有效降低其冷却总能耗,助力数据中心和通讯基站绿色化和低碳化发展。其中,氟泵技术因其能效较高、节能效果显著、驱动力较大、布置方便以及安装不受限等特点,已在多种场景下得到广泛认可和应用[1-3]。氟泵自然冷却技术虽在大温差工况下较为节能,但在小温差工况中,其换热能力和能效比(EER)骤降,且润滑和汽蚀问题也会导致系统运行效果较差[4]。而同样具有较大循环驱动力的气泵驱动回路热管系统,理论上,在相同制冷量和蒸发温度下,其系统性能略逊于氟泵系统,但气泵循环回路与常规蒸汽压缩循环更为相似,二者的全年复合系统契合度更高[5],特别是润滑油的影响,且避免了氟泵固有的汽蚀问题,成熟度和可靠性更高。研究人员针对气泵驱动回路热管开展了相应的研究。李少聪[6]等设计了一种旋转气泵驱动的环路自然冷却机组,并将其性能与液泵(即氟泵)驱动回路热管机组进行比较,发现:当室内外温差25℃时,气泵机组EER比液泵高25.5%;室内外温差为10℃时,EER高104.7%。魏川铖[7]等将气泵驱动回路热管系统用于通讯基站,在过渡季节以及冬季,当室外温度小于17℃时进行散热,温差30℃下EER最高可达15.6。薛连政[8]等将自行设计的气泵驱动机组应用与北京地区某小型数据中心,结果表明:当室外温度低于15℃时,机组能够满足负荷要求,与采用空调器相比,全年节省电量6842.24 kW•h,年节能率为25.78%。Zhang[9]等比较了多种驱动回路热管形式,发现:在重力驱动回路热管出现明显偏离理想循环工况时,气泵驱动回路热管可有效改善并显著提高其性能。刘鹏[10]等针对数据中心自然冷却专用气泵,数值模拟了其在不同工况下的工作特性。薛佳[4]等针对R22、R410A、R32三种工质,研究了旋转气泵运行性能,并与标准压缩机进行对比,发现:不论何种工质,气泵的制冷量和EER平均为对应压缩机的1.3倍和1.7倍,而气体力和阻力矩的峰值和波动幅度均明显低于压缩机。王飞[11]等研究了数据中心用气泵驱动热管复合空调,发现:在中小型机房空调领域,采用变频转子式压缩机-气泵驱动热管复合空调AEER为5.56,在北京地区可实现数据中心PUE<1.30的目标。
尽管已有研究表明气泵驱动回路热管性能优越,但针对其中的关键驱动部件气泵,多用常规压缩机调频替代,有关气泵的专门研究还并不多,对气泵运动工作过程中制冷剂泄漏性能的针对性分析也较为欠缺。因此,本文针对滚动转子式气泵的间隙结构,建立气泵泄漏间隙模型,对不同间隙泄漏(径向间隙、轴向间隙、滑片两端与气缸端面、滑片与滑片槽泄漏)和不同制冷剂种类(R410A、R32、R22、R134a)对其运动过程泄漏特性的影响进行研究,以便为回路热管驱动专用气泵部件的设计和研发提供参考。
1 气泵及其泄漏间隙模型
1.1 气泵及泄漏间隙
滚动转子式气泵构造类似于滚动转子压缩机,如图1所示,其由滚动活塞、气缸体、滑板及其背部弹簧、偏心轮轴和气缸两端盖等主要零件组成[12]。当偏心轮轴绕气缸中心连续旋转时,吸气和压缩腔的容积呈现周期性变化,从而完成吸气、压缩、排气及余隙膨胀等一系列过程。滚动转子式气泵具有体积小、变工况性能好、能效高等优点,可以满足大部分气温较低时自然冷却工况的循环驱动需求。本文中滚动转子气泵排气量为36 cm3,转速2880 r/min。

图1 滚动转子式气泵基本构造
在滚动转子式气泵内部,零部件之间相互配合,但相对滑动的零部件之间并不直接接触,而是依靠充满润滑油的间隙进行配合。由于配合间隙部位压力有所差异,在压差作用下,气泵内部工质和润滑油会通过间隙通道,从高压部位向低压部位泄漏,这对于气泵的性能有非常大的影响。根据滚动转子式气泵的工作过程和结构特点,其零部件结构之间的配合间隙主要有6个,这也是制冷剂泄漏的主要通道,如图2所示。而泄漏通道主要分为4种类型,滑片两侧端面与气缸两侧端面配合的间隙(L1);滑片与滑片槽的配合间隙(L2、L3);转子两端与气缸端盖的间隙(L4、L5)[13],又称为轴向间隙,高温高压的制冷剂与润滑油从机壳底部经轴中央流入径向轴承和偏心轮,泄漏过程中,两者又进入相对较低的压力和温度下,制冷剂成为气体,从而形成两相流体。滚动转子外圆壁面与气缸内圆壁面的间隙(L6),又称为径向间隙,泄漏通道为细长形,泄漏量占据较大的比重,采用流经孔板的流动计算泄漏途径的泄漏量。

图2 气泵泄漏间隙分布图
1.2 间隙泄漏模型
1.2.1 径向间隙泄漏
泄漏通道前为压缩腔,通道入口简化为收缩形式的喷管,通道过程处理为等截面直管的形式,中间直管矩形截面保持不变,通道出口为吸气腔。考虑到转子角速度相对声速极小,故假定通道两壁面静止[14]。则泄漏质量流量为:

式中, δ -径向间隙,mm;
e -转子偏心距,mm;
Pe -通道出口处压力,MPa;
Te -通道出口处温度,℃;
Ve -出口e上的流速,m2/s;
H -气缸高度,mm;
R -气缸半径,mm;
Tc -通道入口处温度,℃;
k -等熵系数;
Me -通道出口处的马赫数。
1.2.2 轴向间隙泄漏
轴向间隙泄漏包含向吸气腔内泄漏L4和向压缩腔内泄漏L5,向吸气腔内泄漏量 qm4 和向压缩腔内泄漏量 qm5 为:

式中, r0 -转子外圆半径,mm;
ri -转子内圆半径,mm;
δ -转子端面与气缸盖之间的间隙大小,mm;
ν* -表观动力粘度,kg/(m•s);
Poil -润滑油压力,MPa;
Pc -压缩腔压力,MPa;
Ps -吸气腔压力,MPa。
1.2.3 滑片两端与气缸端面的间隙泄漏
该泄漏量计算类似转子两端与气缸端盖间隙计算,考虑粘性的影响,可得到泄漏质量流量为:

式中, μ -润滑油运动粘度,m2/s;
δ11 、 δ12 -滑片两端和气缸端面的上、下两侧的间隙值,mm;
hv -滑片伸进气缸的长度,mm;
Bv -滑片厚度,即滑片端面泄漏通道单程长度,mm。
1.2.4 滑片与滑片槽的间隙泄漏
滑片与滑片槽的间隙泄漏包括两个通道,分别为向吸气腔的泄漏 qm2 和向压缩腔的泄漏 qm3 :

式中: δ2 、 δ3 -滑片与滑片槽间隙,m;
ls -滑片槽的高度,m;
pd -排气压力,MPa。
2 气泵间隙泄漏特性分析
2.1 不同间隙泄漏对泄漏特性的影响
将滚动转子式气泵与压缩机的泄漏量进行对比,参数采用前述气泵模型参数,制冷剂为R410A,工况如表1所示。考虑到不同间隙由于所处位置和受力等情况不同,其大小有一定差别,间隙值太大导致泄漏量增大,能效比降低,间隙太小则使摩擦功率增加,同样会降低能效比[15-16],有些品牌压缩机样机测试时也将间隙值设为0.01 mm[17-18]。本文着重于气泵与压缩机间隙泄漏情况的差异性对比,因此,在对气泵间隙值优化分析之前,为了便于比较,根据上述转子泄漏模型,先将各个泄漏通道的间隙值取为0.01 mm,在0~720°转角的运行周期内,可得到不同泄漏通道制冷剂泄漏的质量流量变化。

表1 设计工况
2.1.1 径向间隙泄漏
根据转子泄漏模型,径向间隙泄漏通道的间隙值取0.01 mm,在气泵、压缩机运转0~720°转角的运行周期内,得到当间隙值为0.01 mm时径向间隙泄漏通道中制冷剂泄漏量的变化,如图3所示。

图3 气泵与压缩机的径向间隙泄漏量
从图3可知,随着转角增大,不论气泵还是压缩机,其径向间隙泄漏量先减小随后开始增加,达到泄漏量峰值并稳定一段时间后开始下降,之后随着转角持续增大,泄漏量逐步增大,并达到稳定的泄漏量峰值;气泵径向间隙泄漏量先达到峰值,且低于压缩机的径向间隙泄漏量峰值,比压缩机峰值低约23.4%;并且气泵的径向间隙泄漏量波动幅度也小于压缩机波动幅度,气泵径向间隙泄漏量波动幅度为1.49×10-3 kg/s,是压缩机波动幅度的78.44%。
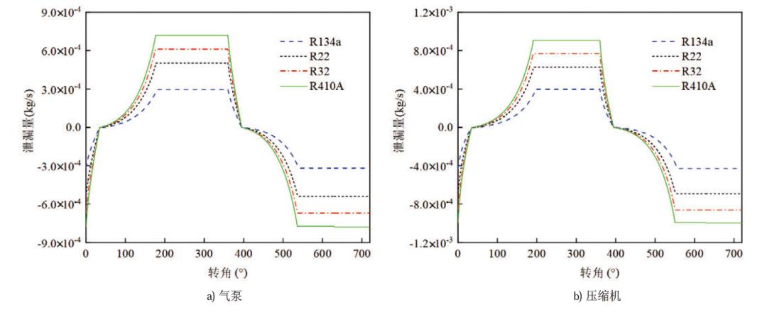
2.1.2 轴向间隙泄漏
气泵与压缩机的轴向间隙泄漏量比较如图4所示。从中可以看出,气泵轴向间隙泄漏量峰值远远小于压缩机,甚至小一个数量级,最大值为2.62×10-4 kg/s,比压缩机的轴向间隙泄漏量最大值小约94.2%;气泵轴向间隙泄漏量波动幅度也远小于压缩机波动幅度。

图4 气泵及压缩机轴向间隙泄漏量
2.1.3 滑片两端与气缸端面的间隙泄漏
气泵与压缩机的滑片两端与气缸端面的间隙泄漏量如图5所示。可以看到,气泵滑片两端与气缸端面的间隙泄漏量峰值低于压缩机,比压缩机峰值低约60.9%,且气泵泄漏量波动幅度也远小于压缩机波动幅度。

图5 气泵及压缩机滑片两端与气缸端面间隙泄漏
2.1.4 滑片与滑片槽的间隙泄漏
气泵与压缩机的滑片与滑片槽的间隙泄漏量如图6所示,从中可以看到,气泵滑片与滑片槽间隙泄漏量峰值低于压缩机,比压缩机泄漏量最大值小约55.9%;气泵泄漏量波动幅度也远小于压缩机波动幅度。

图6 气泵及压缩机滑片与滑片槽间隙泄露量
2.2 制冷剂种类对泄漏特性的影响
为了进一步比较不同制冷剂条件下气泵和压缩机泄漏量的变化,以常规的R410A、R32、R22、R134a四种工质为例,分别对不同制冷剂在气泵及压缩机中的四类泄漏进行比较分析。
2.2.1 不同制冷剂的径向间隙泄漏
图7为在气泵和压缩机中R410A、R32、R22、R134a四种工质对径向间隙泄漏量的影响。可以看出,二者变化趋势基本一致,按照径向间隙泄漏量从大到小顺序,依次排列为R410A>R32>R22>R134a,泄漏量波动幅度分别为1.49×10-3 kg/s、1.28×10-3 kg/s、1.04×10-3 kg/s、6.13×10-4 kg/s。

图7 不同制冷剂种类对径向间隙泄漏量的影响
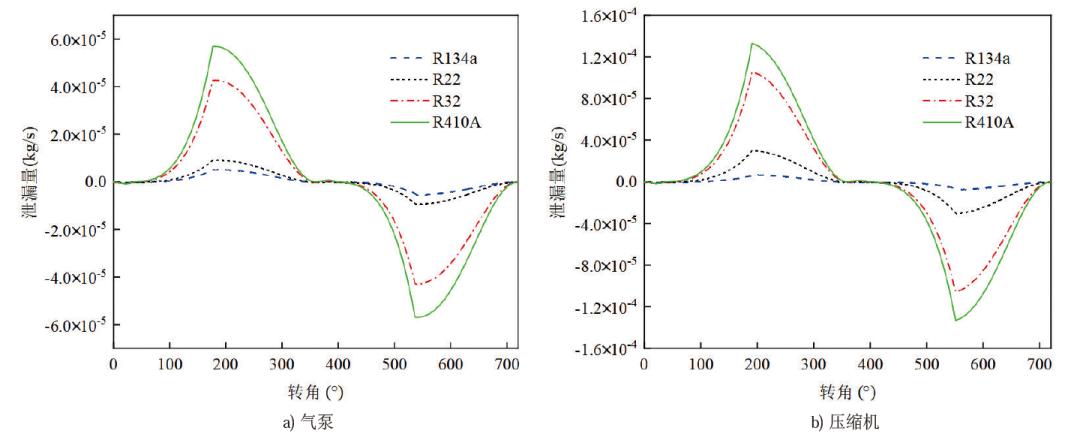
2.2.2 不同制冷剂的轴向间隙泄漏
图8为在气泵和压缩机中R410A、R32、R22、R134a四种工质对轴向间隙泄漏量的影响。可以看出,二者变化趋势基本一致。轴向间隙泄漏量按照大小排序与径向间隙泄漏量顺序相反,依次为R134a>R22>R32>R410A,且工质为R134a和R22时,轴向间隙泄漏量峰值明显高于R32和R410A。

图8 不同制冷剂种类对轴向间隙泄漏量的影响
2.2.3 不同制冷剂滑片两端与气缸端面的间隙泄漏
图9为在气泵和压缩机中R410A、R32、R22、R134a四种工质对滑片两端与气缸端面的间隙泄漏量的影响,总体来看,二者变化趋势基本一致。滑片两端与气缸端面的间隙泄漏量按照泄漏量大小顺序排列为R410A>R32>R22>R134a,与径向间隙泄漏量排序是一致的,但不同的是,R22和R134a的间隙泄漏量显著低于另外两种工质。

图9 不同制冷剂种类对滑片两端与气缸端面间隙泄漏量的影响
2.2.4 不同制冷剂滑片与滑片槽的间隙泄漏
图10为气泵和压缩机中R410A、R32、R22、R134a四种工质对滑片与滑片槽的间隙泄漏量的影响,可以看到,二者变化趋势基本一致。滑片与滑片槽的间隙泄漏量按照泄漏量大小顺序排列为R410A>R32>R22>R134a,也与径向间隙泄漏量排序一致,并且R22和R134a泄漏量远低于另两种工质。

图10 不同制冷剂种类对滑片与滑片槽间隙泄漏量的影响
2.2.5 不同制冷剂总泄漏量
汇总对比不同工质的四种间隙泄漏情况(图11),可以看到,不论气泵还是压缩机中,轴向间隙泄漏量中,R410A最小而R134a最大,但另外三种泄漏量中R410A均为最大,所以总泄漏量大小排序为R410A>R32>R22>R134a。这是由于泄漏量主要与间隙两端压差有关,R410A、R32、R22、R134a其冷凝压力与蒸发压力差分别为1.3339 MPa、1.3714 MPa、0.85285 MPa、0.5997 MPa,较大的压差会导致R410A和R32工质泄漏量偏大;而对于R410A和R32来说,虽然工质压差相近,但R410A的粘度小于R32,流动阻力较低,故泄漏量高于R32。对于气泵来说,四种制冷剂均表现为径向间隙泄漏量最大,占比超过80%,分别为82.22%、89.23%、91.23%、91.59%;而对于压缩机来说,轴向间隙泄漏量及其占比明显高于气泵,特别是,R134a工质的轴向间隙泄漏量甚至大于径向间隙泄漏量,两者分别占其总泄漏量的52.43%、46.98%。综合对比可以看出,四种间隙泄漏量中占比较大的为径向间隙泄漏量和轴向间隙泄漏量。因此在对滚动转子式气泵进行优化时,需要重点考虑气泵的径向和轴向间隙泄漏,尤其是径向间隙泄漏情况,并开展针对性的优化。

图11 不同制冷剂四种间隙泄漏情况对比
3 结论
为提高数据中心自然冷却专用气泵的可靠性和稳定性,针对滚动转子式气泵长期工作过程中的间隙泄漏开展研究,比较分析滚动转子式气泵与压缩机不同间隙泄漏以及不同制冷剂下的泄漏差异,得出如下结论:
(1)气泵四种间隙泄漏的泄漏量峰值均低于压缩机,气泵径向间隙泄漏量峰值比压缩机低23.4%,气泵轴向间隙泄漏量峰值比压缩机小94.2%,气泵滑片两端与气缸端面的间隙泄漏量峰值比压缩机小60.9%,气泵滑片与滑片槽间隙泄漏量峰值比压缩机小55.9%;气泵泄漏量的波动幅度也远小于压缩机的波动幅度。
(2)对比气泵、压缩机中R410A、R32、R22、R134a四种工质在四种泄漏量的特性表现,四种工质在气泵、压缩机中的泄漏量变化趋势总体基本一致;在轴向间隙泄漏中,工质为R134a和R22时,泄漏量峰值高于R32和R410A,按其泄漏量大小依次排序为R134a>R22>R32>R410A,而在其他三种间隙类型中则刚好相反。
(3)综合总泄漏量看,四种间隙泄漏量中径向间隙泄漏量和轴向间隙泄漏量占比较大,滑片两端与滑片槽的间隙泄漏量最小。气泵中径向间隙泄漏量占比超过80%,而压缩机中轴向与径向间隙泄漏量的偏差小于气泵,二者在R134a工质中甚至达到了总泄漏量的52.43%和46.98%。
参考文献
[1] 周峰, 王绚, 马国远. 数据机房泵驱动自然冷却机组工程运行节能分析[J]. 制冷与空调, 2016, 16(11): 72-76.
[2] 张双. 数据中心用泵驱动两相冷却回路换热特性研究[D]. 北京: 北京工业大学, 2015.
[3] 王飞. 新热管型制冷剂系统设计与实验[J]. 家电科技, 2020, 402(01): 36-39.
[4] 薛佳, 马国远, 戴晗, 等. 旋转气泵的性能特性分析[J]. 制冷与空调(四川), 2021, 35(03): 435-439+443.
[5] 白凯洋, 马国远, 周峰, 等. 全年用泵驱动回路热管及机械制冷复合冷却系统的性能特性[J]. 暖通空调, 2016, 46(09): 109-115.
[6] 李少聪, 马国远, 薛连政, 周峰. 旋转气泵驱动环路冷却机组的工作特性[J]. 制冷学报, 2019, 40(01): 1-7.
[7] 魏川铖. 通信基站散热用气泵驱动回路热管循环性能研究[D]. 北京: 北京工业大学, 2015.
[8] 薛连政, 马国远, 周峰, 等. 气泵驱动冷却机组在某小型数据中心的运行性能分析[J]. 制冷学报, 2019, 40(04): 1-9.
[9] Zhang P L, Li X T, Li R J, et al. Comparative study of two-phase natural circulation and gas-side mechanically driven loop used in air-conditioning systems[J]. Applied Thermal Engineering, 2019(153): 848-860.
[10] 刘鹏. 数据中心自然冷却专用气泵工作特性研究[D]. 北京: 北京工业大学, 2021.
[11] 王飞, 邵双全. 数据中心用气泵驱动热管复合空调节能潜力分析[J]. 制冷与空调, 2021, 21(02): 73-77+90.
[12] 薛佳. 旋转压缩机在特殊工况下的性能特性分析与应用研究[D]. 北京: 北京工业大学, 2021.
[13] 史传民. 滚动转子式压缩机泄漏分析与结构优化[D]. 武汉: 华中科技大学, 2014.
[14] 晏刚, 吴建华, 吴业正, 等. 滚动转子式压缩机内转子径向间隙泄漏的研究[J]. 流体机械, 2005(09): 72-75.
[15] 高永红. 提高旋转式压缩机效率的几种方法[J]. 电机电器技术, 2001(03): 45-48.
[16] 缪道平, 吴业正. 制冷压缩机[M]. 北京: 机械工业出版社, 2001.
[17] JianHua Wu, Ang Chen. A new structure and theoretical analysis on leakage and performance of an oil-free R290 rolling piston compressor[J]. International Journal of Refrigeration, 2015, 49: 110-118.
[18] Cai D H, He G G, Tetsuhide Y. Simulation and comparison of leakage characteristics of R290 in rolling piston type rotary compressor[J]. International Journal of Refrigeration, 2015, 53: 42-54.
(责任编辑:张蕊)
作者简介: 郑波,高级工程师。研究方向:制冷系统优化、数据中心温控技术和储能电池温控技术研究。地址:广东省珠海市香洲区前山金鸡路789号。E-mail:bob0315@126.com。
通讯作者: 周峰,E-mail:zhoufeng@bjut.edu.cn。
基金项目: 空调设备及系统运行节能国家重点实验室开放基金项目(ACSKL2021KT03);中国制冷学会课题(KT202003);北京市教委科技计划一般项目(KM201910005017)。
文章引用(GB/T 7714—2015格式引文):
[1] 郑波, 宋宇, 徐步青, 等. 自然冷却专用小型气泵间隙泄漏特性分析[J]. 家电科技, 2023(02): 62-67+77.