前言:
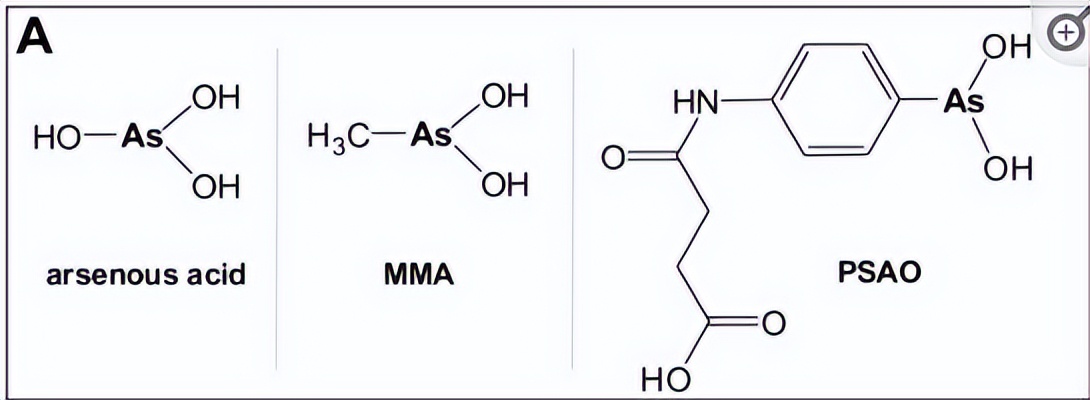
砷(III)是指砷的三价氧化态,化学式为As(III),我们发现砷与这些未折叠蛋白质的低微摩尔浓度紧密结合,MMA和PSAO的化学计量为每1个硫醇2 As(III) ,每1个硫醇与亚砷酸盐的化学计量为3 As(III),10μM的砷即使在存在5mM还原谷胱甘肽(As(III)物种的竞争配体)的情况下,也会强烈破坏RfBP的氧化折叠。

还原未折叠蛋白的制备
在pH 10.0的缓冲液中,将7mg的RfBP与2倍摩尔过量的DTT混合,37°C下孵育过夜,选择在含有8mM磷酸钾的pH 8.0缓冲液中,使用PD-4色谱柱在10°C下进行还原蛋白质的凝胶过滤。
同样,RNase在含有10 mM乙酸钠的pH 10.4缓冲液中经过PD-0色谱柱纯化,溶菌酶在含有100 mM Tris缓冲液(pH 8.0)、100 mM NaCl、1 mM EDTA和6 M盐酸胍的条件下进行还原。

过量的还原剂通过PD-10色谱柱除去,该色谱柱在含有10 mM乙酸钠(pH 5.0)、1 mM EDTA和3 M尿素的条件下进行预平衡,使用消光系数进行还原蛋白的定量:RNase的ε值为ε278=9,300米−1厘米−1,RfBP的ε值为ε280=49,000米−1厘米−1,溶菌酶的ε值为ε280=34,000米−1厘米−1。
使用DTNB(ε值为412=14,150米−1厘米−1)测定硫醇含量,在4°C下以无氧条件储存还原蛋白。

QSOX活性测定
氧电极中进行QSOX的测定,在存在60μM浓度的MMA、PSAO和As(OH)的条件下,将5 nM的禽QSOX与5 mM GSH或10 mM TCEP反应3次。
所有测定均在25°C下,50 mM磷酸钾、1 mM EDTA、pH 7.5的缓冲液中进行, 在没有砷(III)物种存在的情况下,酶活性以对照反应的百分比表示。

还原型PDI的制备
在含有40mM EDTA的1mM磷酸盐缓冲液中,使用7倍过量的DTT对人PDI进行了5小时的还原,为了确保完全分离,通过在PD-1凝胶过滤柱上进行凝胶过滤的方式去除了多余的还原剂。
通过测定每个凝胶过滤柱的硫醇含量来进行确认,测定在280nm处的摩尔消光系数为10.56 M,定量了降低后人PDI的含量。

砷与还原蛋白结合
在存在5 mM GSH的情况下,通过紫外-可见和荧光光谱监测含砷的蛋白质滴定,为确保平衡,加入滴定剂后7分钟记录每个光谱,然后在没有GSH的情况下滴定包括0.5 mM的非配位膦THP,以确保蛋白质在整个实验过程中保持还原。
RNase和RfBP滴定在50 mM磷酸盐,1 mM EDTA,pH 7.5中运行,溶菌酶患者使用100 mM Tris,pH 7.5,含有100 mM NaCl,1 mM EDTA和3 M尿素,所有滴定的起始荧光信号均归一化并设置为100%荧光。

停止流动动力学
快速混合动力学实验中,使用SF-61 DX2截止流光谱仪(Hi-Tech Scientific)来进行吸光度和荧光模式下的测量,对于动力学保护研究,通过将RNase与DTNB混合(终浓度为5μM蛋白质和2mM DTNB),在不存在二硫醚当量的As(OH)的情况下进行降解反应。
使用RfBP在存在MMA或亚砷酸盐的条件下进行实验,在MMA与还原的RfBP结合后,发现295 nm处激发荧光, 这些荧光迹线呈多相性质,符合由快速相位主导的三指数衰减,其变化约占总变化的60%。

溶菌酶的氧化复性
在25°C下,将还原的溶菌酶(2μM)与1mM GSH和0.2mM GSSG在含有100mM NaCl、1mM EDTA和3M尿素的100mM Tris缓冲液(pH 8.0)中孵育。
将等分的试样(20 μL)与80 μL的0.15 mg/mL溶血分枝杆菌细胞悬浮液在50 mM磷酸盐缓冲液(pH 7.5)中混合,并在起始450秒内从10nm处测量吸光度的降低,以计算初始速率。

核糖核酸酶 A 的透射电镜成像
使用带有Gatan CCD相机的FEI Technai-120透射电子显微镜,在12 kV的加速电压下获取明场图像,将还原的RNase(50μM)与含有1mM EDTA和0.5mM THP的pH 10.7磷酸盐缓冲液中的5μM MMA混合(注意到使用5μM RNA酶和1μM MMA也导致沉淀形成)。
将等分的悬浮液样品(4 μL)放置在碳涂层铜网格(400目)上,用滤纸吸去多余液体,向网格中加入体积相等的1%w/v乙酸铀酰水溶液,滤纸除去多余的液体,并在成像前将样品在空气中干燥至少1小时。

砷抑制含9-二硫化物蛋白质的氧化折叠
核黄素结合蛋白(RfBP)是一种具有9种二硫化物的蛋白质,相当于超过34万种可能的二硫异构体,用于完全氧化的蛋白质。
在存在1nM静止巯基氧化酶(QSOX)和18μM还原PDI的条件下,将还原的蛋白质(30μM,含有19μM游离硫醇)与微量亚化学计量水平的核黄素一起孵育,以促使二硫键的形成,并通过游离核黄素强烈荧光的逐渐猝灭来监测活性结合蛋白的形成。
选择在10μM的浓度下,亚砷酸盐、MMA和PSAO都表现出强烈的核黄素结合抑制作用,这个浓度是因为它接近于在治疗急性早幼粒细胞白血病中可达到的亚砷酸盐的峰值血浆水平,并且对应于在9μM RfBP中形成9个二硫化物所需的1μM二硫醇的轻微过量。

砷毒性体外模型的一个关键考虑因素是要考虑哺乳动物细胞中还原型谷胱甘肽(GSH)的丰度,在细胞内,GSH通常以约5mM的浓度存在,并且可以通过单价、二价和三价配位(对于亚砷酸盐)与砷形成配合物。
研究结果显示,在没有砷的情况下,加入5 mM谷胱甘肽对RfBP的氧化折叠速率影响相对较小,但显著减弱了MMA和PSAO的抑制作用,亚砷酸盐仍然对RfBP的抑制作用有效,与先前的形态形成研究结果一致,使用5 mM GSH几乎完全抑制了10 μM MMA的结合(>99.8%),但对亚砷酸盐的抑制作用仅约为60%。

砷对蛋白质折叠系统各个组分的影响
当使用TCEP作为底物时,发现QSOX对这些*制剂抑**相对不敏感,TCEP是一种不与砷配位的模型底物,亚砷酸盐、MMA和PSAO分别产生了1%、0%和3%的抑制作用,同样地,使用10mM GSH作为氧化酶的底物时观察到少于10%的抑制作用。
在哺乳动物内质网(ER)中,还原型蛋白二硫键异构酶(PDI)的丰度使其成为砷(III)结合的潜在靶标,PDI具有两个相似性质的W-C-GHC基序,砷结合后,色氨酸荧光猝灭,可以用单个结合等温线来拟合。
与MMA和亚砷酸盐的滴定比较显示, 它们的Kd值分别为25μM和18μM,这些相对较小的Kd值以及5 mM GSH对砷的隔离表明,在胰岛素还原酶测定中,5 mM GSH不显著影响PDI的抑制作用。

实验结果表明,典型的细胞内GSH浓度将最大程度地减少所使用的砷对PDI的直接抑制,在细胞外,竞争性谷胱甘肽的浓度通常较低(在5-50μM范围内),这合理解释了苯胂氧化物作为PDI*制剂抑**的有效性。
这些数据表明,QSOX或PDI的直接抑制不足以完全解释氧化折叠的显著减慢,描述了三种方法来证明砷可以针对还原蛋白中的半胱氨酸残基,通常情况下,减少分泌蛋白中的二硫键会导致高度不稳定的展开状态,这可能提供多种潜在的As(III)结合位点,类似于氧化错误折叠蛋白中的二硫键的情况。

实际上,-S-As-S-键可以被视为一种更长且构象上更适应的伪二硫键(其间的最小S原子距离为3.6 Å,而二硫键为2.0 Å),亚砷酸盐可限制多达三个半胱氨酸残基,当硫取代氧成为As(III)物种的配体时,所产生的吸光度增加提供了砷与还原蛋白协同作用的一种测量方法。
PSAO和MMA定量与还原蛋白中减少的未折叠部分结合(在8和9个As(III)/RfBP之间产生显著吸光度变化,该值接近于分泌蛋白的二硫键数量)。
对于亚砷酸盐,吸光度变化虽然非线性,但在添加约6个亚砷酸根离子后,显示出某种程度的三价砷的协同作用,这些吸光度结果表明所有三种砷化物与还原蛋白密切结合。

砷与还原溶菌酶结合
RfBP显示出比通常用于氧化蛋白折叠研究的蛋白质更复杂的二硫键连接,描述了两种更简单的4-二硫蛋白的可比实验:鸡蛋溶菌酶和牛胰腺RNase A,在早期的实践之后,我们在尿素中进行了溶菌酶实验,以避免未折叠或错误折叠的蛋白质沉淀。
PSAO与还原的溶菌酶紧密结合,在300nm处增加吸光度,4 PSAO/溶菌酶拐点后吸光度的增加在很大程度上反映了游离PSAO在溶液中积累时的贡献,在没有谷胱甘肽的情况下进行的荧光测量表明,加入4-当量的PSAO后,结合基本上是完全的。
结合被5mM谷胱甘肽削弱,但仍然显著,MMA和亚砷酸盐的相应滴定实验结果在支持信息中显示,两者都显示了溶菌酶硫醇和砷之间的预期相互作用。

砷与还原核糖核酸酶结合
亚砷酸盐使用吸光度和荧光猝灭与还原牛胰腺RNase结合,虚线对应于砷二三价配位的理论等价点(分别为4和2.7 As(III)/RNase),表明即使在5 mM谷胱甘肽存在下,在亚化学计量水平的亚化学计量水平下也观察到实质性结合。
就像RfBP观察到的那样,亚砷酸盐还提供强大的动力学保护,防止还原RNase与DTNB的反应性,所有8个硫醇在不到250毫秒的时间内与DTNB反应(正如其与小的未折叠蛋白反应所预期的那样)。
在亚砷酸盐略微过量的情况下(就二价配位而言),这些硫醇中只有约30%与DTNB反应迅速,剩余的硫醇被砷紧紧地螯合,相比之下,PSAO比亚砷酸盐更紧密地与还原的RNase结合,并在谷胱甘肽存在下再次保留显着的荧光猝灭,数据表明,类金属结合可以严重破坏折叠途径。

结论:
研究表明,As(III)物种在体外结合未折叠蛋白的设施可能会使热休克基因诱导的各个方面合理化,以及多泛素化蛋白和蛋白酶体亚基的上调, 这些是用砷处理的细胞的突出特征,砷会促进潜在有毒的错误折叠蛋白质或蛋白质毒素的显着负担,从而抑制氧化蛋白折叠。

参考文献:
【1】克莱恩,《用三氧化二砷治疗急性早幼粒细胞白血病后完全缓解》
【2】施耐德,《三氧化二砷的作用机制》
【3】 佩科拉罗,《As(III)结合对β-发夹结构的影响》
【4】斯塔基 ,《通过使用设计的三链线圈鉴定砷抗性蛋白的重要结构特征》