跟常规地震作用相似,人防结构设计时候,对于爆炸动荷载我们都是采用等效静荷载法进行结构动力计算的,而等效静荷载的大小跟构件的允许延性比[ β] 相关。(PS:因人防涉及国家机密,故本文不便列出具体数值,只谈概念)
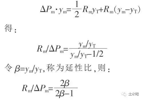
延性比(ductility ratio)是指结构构件弹塑性变形与弹性极限变形的比值,如下图所示,β=ym/yT。那延性比跟等效静荷载到底有啥关系呢?这里列举一个当动荷载简化为有升压时间平台形时(具体每种荷载简化为什么形式,可查规范,这里不便列出)的等效静荷载计算过程:


式中△P m为空气波地面超压,R m为等效静载,可知 R m是根据延性比要求从△P m得来。
人防结构设计中通过用结构构件的允许延性比[ β]来控制结构构件的最大变形 。 如果结构构件有较大的延性比,则能较多的吸收动能,这对抵抗常规*器武**和核*器武**的爆炸动荷载非常有利 。钢筋混凝土结构构件的允许延性比[ β]具体限值可查相关规范,这里不便列出。
规范在确定各种结 构的允许延性比时已经考虑了对变形的限制和防护密闭的要求 , 因此防空地下室结构在常规*器武**或核*器武**爆炸动荷载作用下可不必再单独进行结构变形和裂缝开展的验算。
结构构件可提供的最大延性比必须满按弹塑性工作阶段设计的允许延性比的要求 , 过高的配筋率会降低结构的延性 。当受拉钢 筋的配筋率较小时(具体数值见规范),就可以防止钢筋混凝土结构构件的脆性破坏,保证结构的延性,可不必进行延性比验算。当配筋率较大时需要按下面公式验算允许延性比。

x/ h0 = (ρ- ρ’) f yd / (αcf cd)
从上面公式可以看出,当允许延性比超限的时候有以下几种方案解决:
1、降低受拉钢筋配筋率,比如加大构件截面、减小构件跨度等。
2、减小受压区高度,如提高混凝土强度等级、增加受压区配筋率等等。
其中增加受压区钢筋量是很多工程师容易忽略的一种方法,但此时应注意受拉钢筋配筋率ρ≤ρmax,如果受拉钢筋配筋率ρ>ρmax 则要增大受弯构件截面尺寸使受拉钢筋配筋率ρ≤ρmax后再增配受压钢筋。
注:欢迎大家关注小编的微信公众号“土木智库”,里面有小编整理的建筑行业的众多资料,有一建、二建、造价、消防视频和课件,欢迎大家的加入。

