WC-12Ni粉体表面化学镀镍
商用WC-12Ni粉体,粒径分布为10~40μm,(韦伯斯特贸易有限公司),其表面形貌如图所示。
WC-12Ni颗粒为球形,是由粒径为1~2μm的WC颗粒和粘结相金属Ni烧结形成的,其表面粗糙并随机分布有亚微米级的孔隙。原始WC-12Ni粉体的XRD图谱如图所示,其中仅包含Ni和WC的衍射峰, 说明原始粉体WC-12Ni粉体仅由WC和Ni两项组成,没有其他相夹杂。

在进行化学镀镍前需要对原始WC-12Ni粉体进行预处理:首先使用*酮丙**在超声搅拌条件下对WC-12Ni粉体进行清洗,时间为20min,以除去粉体中可能存在的有机杂质,然后再使用去离子水在超声搅拌条件下对WC-12Ni粉体进行清洗,以去掉粉体中残留的*酮丙**。然后将清洗后的粉体置于烘箱中120°烘干备用。
经经过预处理的WC-12Ni粉体与化学镀液置于500ml的三口烧瓶中,通过XMTD-4000型恒温水浴锅加热至70℃,整个化学镀处理时间为20min,期间镀液温度需保持恒定,并且使用DW-3型电动搅拌器对镀液进行持续机械搅拌,转速为1200r/min,化学镀液所需试剂及浓度如图表所示。
实验结束后对包覆粉体再次进行清洗除去残留的镀液,置于真空烘箱中200℃烘干以完全除去水分,烘干后密封并尽快进行喷涂。

超音速火焰喷涂制备涂层
采用原始WC-Ni粉体以及经化学镀处理后的包覆WC-Ni粉体作为喷涂原料进行超音速喷涂沉积硬质合金涂层,喷涂基体采用12mm×12mm×100mm的17-4PH马氏体沉淀硬化型不锈钢。通过不同的热处理工艺可以调节17-4PH不锈钢的强度以达到使用要求,17-4PH不锈钢在经过1040℃保温2h、油淬、595℃保温4h、随炉冷却后,可以得到硬度3.5GPa,弹性模量191GPa的17-4PH马氏体沉淀硬化型不锈钢。
在基体表面进行超音速火焰喷涂沉积WC-Ni硬质合金涂层之前,需要对基体材料表面需要进行处理以保证获得质量良好的喷涂涂层。 这一过程包括表面清洁及喷砂处理,首先使用浸有*酮丙**的脱脂棉球对基体材料表面进行擦拭以去除其在切割过程中表面粘附的油污及其他有机杂质,清洁完毕后对基体进行表面喷砂处理,一方面可以起到二次清洁,除去基体表面杂质的作用,另一方面可以提高基体的表面粗糙度,增加超音速火焰喷涂的喷涂粒子与基体表面之间的结合面积,并且可以形成机械互锁结构,提高涂层与基体之间的结合性能。
喷砂机型号为YM-6050B,喷砂为粒度200~300μm之间的棕刚玉砂,以压缩空气作为载气,喷砂时需保持喷枪口与基体表面夹角为45°。喷砂后使用高压空气对喷砂表面进行清理,以吹掉残留的砂砾。
采用EvoCoat-LF型超音速火焰喷涂系统(苏尔美科公司)来进行超音速火焰喷涂,示意图如图所示。
喷枪型号为Woka-610-Si型,分别以航空煤油和工业纯作为火焰燃料和助燃剂,喷枪移动通过型号为ABIRB2600的机械臂来进行精细控制,送粉系统为Twin-140-H型体积式送粉器,采用径向双侧送粉方式进行送粉,载气为高纯氮气,这样的送粉方式可以保证喷涂粉料在焰流中均匀分布,避免焰流分叉。
此外,该系统还包括空气压缩机、冷水机、风机、喷涂防护操作室等辅助设施来对整个系统进行冷却、除尘以及对操作人员进行保护。
超音速火焰喷涂参数如表所示。喷距设定为350mm,在这一距离上喷涂粒子的飞行速度最快。喷枪移动速度设置为300mm/s,经过一道水平移动后,向下移动5mm后再次进行反向的水平移动,如此往复进行四次水平移动后停止喷涂。
其中由于喷枪在进行折返的过程中存在减速和反向加速的阶段,为了避免喷枪移动减速或加速对喷涂涂层性能产生影响,折返点需要设置在远离试样两端50mm的位置。 此外,第一遍喷涂时不直接进行送粉喷涂,而是利用高温焰流对基体进行预热,既可以除去基体表面吸附的杂质和水蒸气,而且提高了基体温度,降低了基体和喷涂粒子的温差,可以降低涂层快速冷却导致的残余拉应力。

λ(O/F)为超音速火焰喷涂过程中两个重要参数——工业纯氧流量与航空煤油流量的比值,当λ(O/F)=1时,理论上航空煤油可以充分燃烧,并且焰流温度最高。
当λ(O/F)<1时,氧气流量不足,航空煤油会因为不能充分燃烧产生碳化物沉积在喷枪内部,影响喷涂火焰的稳定性,严重时还会堵塞燃烧室或煤油混合器管道,导致喷枪不能正常使用。
此外,航空煤油的不完全燃烧产生的碳化物会随着喷涂粒子一起沉积到涂层中,形成缺陷,影响涂层质量和性能。
因此在进行超音速火焰喷涂沉积涂层的过程中必须使λ(O/F)值>1以保护喷涂系统以及保证涂层质量。
控制λ(O/F)>1有两种办法,即可以保持燃油流量不变增大氧气流量,也可以控制氧气流量不变减小燃油流量,当保持燃油流量不变,增大氧气流量时,喷涂粒子的飞行速度会提高,但焰流温度会降低,喷涂粒子的融化程度会降低,进而影响喷涂粒子在与基体表面撞击时的铺展状态,使得涂层中孔缺陷的数量增加,同时焰流中氧气成分增加会加强喷涂过程中硬质相WC颗粒的脱碳程度,降低涂层中硬质相WC的保留率; 当控制氧气流量不变,减小燃油流量时,超音速火焰焰流温度及喷涂粒子的飞行速度速度均会下降。

粉体表征及测试
采用JSM-7800F型场发射电子扫描显微镜(FE-SEM)来对WC-12Ni原料粉体及经过化学镀处理的复合粉体的表面形貌进行表征,加速电压为5kV。
将粉体镶嵌在树脂块中,经过抛光处理后,使用场发射电子扫描显微镜(FE-SEM)在加速电压为10kV的条件下采用背散射模式来观察分析粉体的截面微观形貌。
粉体表面及截面的元素分布采用场发射电子扫描显微镜(FE-SEM)自带的X-Max50型能谱仪进行分析,加速电压为15kV。
粉体的相组成采用岛津XED-7000S型X射线衍射仪(XRD)来分析,采用Cu靶,电压40kV,电流30mA,扫描步长0.02°,扫描范围10~90°。
涂层表征与测试
采用电火花线切割将12mm×12mm×60mm长条试样切割成12mm×12mm×20mm的长方体试样块,以便于对涂层组织结构以及力学性能进行表征测试。
采用200号水磨砂纸、粗糙度为30μm和9μm金刚石砂纸对试样表面及截面进行打磨,以除去线切割痕迹及其热影响区,使用1.5μm金刚石研磨膏对试样抛光至镜面,而后对其进行后续分析测试。
涂层的相组成采用DISCOVER-D8型X射线衍射仪(XRD)进行分析,采用Cu靶,电压20kV,电流100μA,扫描步长为0.005°,扫描范围为10~90°。
孔结构表征
采用JSM-7800F型场发射电子扫描显微镜(FE-SEM)来对涂层表面形貌、涂层横断面形貌以及涂层磨损形貌进行表征,加速电压为15kV。 在像素大小1024×768、灰度级别256、放大倍数为1000倍的的涂层横截面图像上可以得到孔隙率、孔隙尺寸和形状等信息。
使用商业化图像分析软件Image-ProPlus对图像进行分析,首先将图像的亮度和对比度调整至相同水平,并使得涂层中的孔缺陷部分被凸显出来,以便于能够输出可重复的且可靠的图像。每个孔隙的面积、孔径以及形状可以通过图像分析数据得到。孔隙率可以用孔隙所占的面积的总和与涂层总面积的比率来得到。
力学性能测试
涂层的显微硬度采用HXD-1000TMC/LCD型数字式显微硬度计来进行测量分析,载荷为300g,保荷时间为10s,测量90次,对涂层的硬度分布进行分析。
摩擦磨损性能测试
涂层的摩擦磨损性能采用MFT-4000多功能材料表面性能试验仪在干摩擦条件下进行测试,对磨副选择WC-6%Co硬质合金球,硬度约为11Gpa,表面粗糙度Ra≈0.05μm。
在进行往复摩擦磨损测试实验前需要分别采用粒度40、10、3μm的金刚石砂纸为对涂层表面进行打磨、抛光,在实验过程中,样品固定在试样槽中不动,WC-6%Co硬质合金球在150N载荷下压在涂层表面往复滑动,滑动速度为200mm/min,磨痕长度为5mm,实验时间为60min。
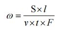
实验结束后通过扫描电子显微镜来对磨痕形貌进行表征并对其表面元素分布进行分析。 磨痕轮廓通过MFT-4000多功能材料表面性能试验仪自带磨损量模块进行表征,可以得到磨痕宽度、深度和面积等参数,并通过以下公式计算WC-Ni硬质合金涂层的比磨损率:

其中S为磨痕轮廓的面积,单位:mm2; l 为磨痕长度,单位:mm; v 为WC-6%Co硬质合金球滑动速度,单位:mm/min; t 为实验时间,单位:min; F 为加载载荷,单位:N。
表面活性剂对WC-10Ni粉体表面化学镀Ni的影响
图3.1所示为扫描电子显微镜下观察到的WC-10Ni粉体在化学镀镍前后的表面形貌以及在低倍数下的表面元素分布。
可以观察到原始WC-10Ni粉体是由1~2μm的WC颗粒和金属Ni相互粘结组成的球形颗粒,其表面随机分布有一些亚微米级孔洞(Fig.3.1(a))。在高放大倍数图像中可以看到WC颗粒表面光滑,棱角分明,由金属Ni粘结在一起。
经过化学镀镍处理后可以明显的看到WC-10Ni颗粒表面被粒径约为1μm的球形金属Ni完全覆盖,其原本原本粗糙的表面及表面孔洞均消失,说明成功的在WC-10Ni粉体颗粒表面沉积了连续致密的Ni层。 在200倍放大的EDS图像中可以观察到大部分颗粒表面被代表Ni元素的绿色完全覆盖,说明Ni层在WC-10Ni颗粒表面分布是较为均匀的。

图3.2所示为在添加不同浓度的阳离子表面活性剂十六烷基三甲基溴化铵CTAB的条件下Ni包覆的WC-10Ni粉体的表面形貌以及在低放大倍数(200×)下的表面元素分布。可以看到添加CTAB后,颗粒表面粗糙度明显下降,瘤状Ni结构尺寸增加到约2μm左右。
但是从EDS图像中可以可以看到复合粉体中有更多颗粒表面没有Ni层完全包覆,并且随着镀液中CTAB浓度的升高而增加, 说明镀液中CTAB的存在会对Ni包覆层在WC-10Ni颗粒表面的均匀性分布产生不利影响。
