悖论,是一种认识矛盾,包括了逻辑矛盾、语义矛盾、思想方法的矛盾。早在古希腊时期,数学和哲学家团体埃利亚学派(Eleatic school)的代表人物芝诺(Zeno of Elea,490B.C.~430B.C.)提出的有关运动的四个悖论(二分法悖论、阿基里斯追龟悖论、飞矢不动悖论、运动场悖论)就闻名于世,世称芝诺悖论(Zeno's paradoxes),至今仍余波未平。

在近代,著名的悖论有伽利略悖论、光速悖论、双生子佯谬等等。这些悖论从逻辑上来看都是一些思想矛盾,从认识论上看则是客观矛盾在思想上的反映。
悖论似乎是听起来可能而实际不可能的事情。但悖论并不等同于不可能,某些事情看似不可思议,实则与规则并无冲突。
还有一些简单的、逻辑不一致的论点是非真实的,只是偷换了概念。有些事情似乎是真的不可能,它们在现实意义上是不可能存在的。

一、关于数学悖论
数学悖论,作为悖论的一种,主要发生在数学研究之中。按广义的悖论定义,所有数学规范中发生的无法解决的矛盾,可以在新的数学规范中得到解决。数学悖论中比较著名的有:贝特朗悖论、谷堆悖论、偶数与自然数一样多、科赫雪花、加百列号角等。
例如,关于有限与无限的科赫雪花(Koch snowflake)问题,是一种奇特形状的几何曲线,又称雪花曲线。科赫雪花是以等边三角形三边生成的科赫曲线组成的。已经证明科赫雪花的面积是一个有限值,而每条科赫曲线的长度是无限大,具有分形曲线的性质。
换句话说,科赫雪花具有有限的面积,而周长却趋于无限大(让人头疼)。这是一个匪夷所思的悖论:无穷大的边界线,包围着有限的面积。

二、加百列号角的数学模型
很显然,悖论异于逻辑上的不可能。就让我们到一个定义明确的数学世界看看。在数学这个无限的世界里,时常会出现许多矛盾的实体。一个典型的例子就是,通常被人们称为“加百列号角”(Gabriel's Horn)的三维结构。
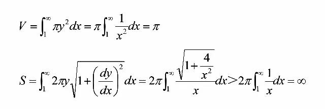
意大利数学家托里拆利(Evangelista Torriceli),将最经典的反比例函数 y=1/x ( x 大于等于1)的那部分绕 x 轴旋转一周,得到一个小号状的三维几何形状,也被称为托里拆利小号(Torriceli's Trumpet)。

这个旋转体像极了一个又直又长的狩猎号角(或是无帽檐的巫师帽子),尖端越来越小,直至无穷。尽管它的长度无限,但它的体积却是有限的。用数学的观点分析,它反映了无穷数列的性质,比如,1+1/2+1/4+1/8+......直到无穷。它有无限多项,但数列之和为一个有限常数2。我们正在讨论的加百列号角也是如此。

这个加百列号角,是一种数学模型,也是非常奇特的一种东西。为什么说它奇特?因为“号角”的体积有限,但它的表面积是无限的。
三、加百列号角与油漆匠悖论
这个加百列号角,三维体积和二维的表面积在微积分发明之前Evangelista Torriceli 就已经计算出来了。现在借助于微积分很容易就得到计算结果。

由计算可知,这个号角的表面积是无穷大∞,但它的体积只有 “pi” ,即3.14159...
你也许会问,“pi”(3.14159)什么?这取决于 y=1/x 里的x使用的是什么单位。如果x以米计,则体积就是3.14159立方米;如果x以英呎计,体积就是3.14159立方英尺。
加百列号角的这个结果令人惊诧,明显有悖于人的直觉:体积有限的几何体,表面积竟然是无穷大。
思考一下,只需要“pi”(3.14159)单位的油漆就能够灌满整个号角。但如果想要涂满号角的表面,却需要无限多的油漆,漆匠无法做到。这就被称之为“加百列号角与油漆匠悖论”。
称其为悖论,是因为它看上去不可思议,但在数学上却是真的。在数学结构内,号角的的矛盾本质是不容置疑的。现实世界自然不会存在这种东西,但不存在不代表不可能。

四、加百列号角悖论的解读
对于这个加百列号角与油漆匠悖论,我们如何来解读呢?
为了避免此问题给人们带来困惑,我们可以这么说。数学上的无限,与现实世界有别。在物理学上则是另一回事情。按常识,这个号角在趋于无穷时会变得越来越狭窄。不久后(在处理无穷时,任何一个特定的数字都是不久后),号角会变得非常细,以至于连一个分子的油漆也涂不上去(分子太大)。因此,在物理上你无法做到全面涂色。
对此悖论的另一个解读是(还是用灌满油漆的例子),油漆灌满整个号角之后是有限的体积,涂满号角表面的面积是二维的。理论上二维面积的涂层可以没有厚度,所以有限体积的油漆完全可以涂满无限的面积。因为理论上涂层厚度无限趋近于零时,那么有限的油漆可涂刷的面积显然也将趋于无限大。
综上所述,所谓加百列号角与油漆匠悖论,只是人们“理所当然”的错觉。我们之所以会误入圈套,是因为我们洞悉伪像的能力不够。
【谢谢阅读】