
来源:环球科学、科研圈、央视新闻、澎湃新闻、应用物理学快报、 Nature 等
- 极低热量饮食会增加肠道中的有害菌

来源:Nature
近日,一项发表于《自然》( Nature )的研究显示,极低热量饮食能大幅改变人的肠道菌群组成,而其带来的减重效果或与艰难梭菌有关。
在研究中,科研人员挑选了80名超重和肥胖的女性,并让其中一半的参与者采取了极低热量饮食,另一组保持日常的饮食方式,实验时间为16周。随后,他们将体重明显降低的参与者的粪便移植给肠道无菌的小鼠。
研究显示,极低热量饮食会导致人肠道中细菌的数量减少。当接受粪便移植后,即使小鼠还维持正常饮食,体重仍降低了10%,而这种变化与其肠道中艰难梭菌的代谢方式改变有关。极低热量饮食会使得艰难梭菌从代谢脂肪转而消耗糖类,能减少人体对糖的吸收,从而使人体重降低。
- 首次通过血液注射CRISPR成功治疗遗传性疾病,或成为第一种彻底治愈方法

来源:NEJM
6月26日,发表于《新英格兰医学杂志》( NEJM )的一项研究,首次通过血液注射CRISPR成功治疗遗传性疾病,这甚至可能成为第一种彻底治愈方法。ATTR患者由于 TTR 基因发生特定突变,导致肝脏产生错误折叠的转甲状腺素蛋白。
NTLA-2001通过非病毒脂质纳米颗粒(LNP)递送,可以肝脏特异性敲除 TTR 基因,从而降低TTR蛋白的表达。在安全性方面,截至接受治疗后第28天,NTLA-2001表现出良好的安全性,没有发现严重不良事件和肝脏问题。并且治疗剂量的NTLA-2001并未产生脱靶效应。
- 天问一号火星探测任务着陆和巡视探测系列实拍影像发布

来源:国家航天局
6 月 27 日,国家航天局发布我国天问一号火星探测任务着陆和巡视探测系列实拍影像,包括着陆巡视器开伞和下降过程、“祝融号”火星车驶离着陆平台声音及火星表面移动过程视频,火星全局环境感知图像、火星车车辙图像等。
截至 6 月 27 日上午,天问一号环绕器在轨运行 338 天,地火距离 3.6 亿千米,“祝融号”火星车已在火星表面工作 42 个火星日,累计行驶 236 米,环绕器和火星车工作状态良好,后续,火星车将继续按计划开展移动、感知、科学探测,环绕器继续运行在中继轨道,为火星车巡视探测提供中继通信,并开展环绕探测。
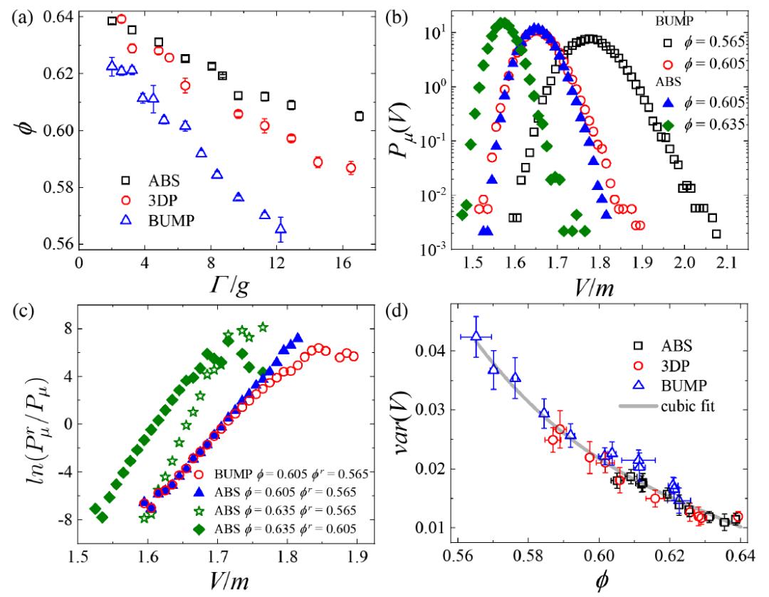
- 统计力学适用于颗粒物质

来源:Physical Review Letters
6月28日,发表于《物理评论快报》( Physical Review Letters )一篇论文中,研究人员用实验验证了存在适用于颗粒物质的统计力学框架。
研究团队用3D打印制造了3种粗糙度不同的,直径几毫米的珠子,并将它们放到容器中。他们通过敲击容器模拟随机的热波动,并用层析X射线透照术监测这些珠子。
他们发现颗粒系统压缩性和自攻密度与摩擦无关,表明不同的颗粒系统在同样的激发条件下具有相同的压缩性,这相当于验证了颗粒系统的热力学第零定律。该实验证明,对颗粒系统使用统计力学方法是有效的。
- 一种新型超新星被观测到

来源:NASA
6月28日,发表于《自然·天文学》( Nature Astronomy )的一项研究声称,科学家观测到了一种全新的电子俘获超新星SN2018zd。他们对SN2018zd的全部六个观测指标进行了分析,发现其结果均与电子俘获模型相符,证明这种在上世纪八十年代就被理论预测到的超新星确实存在。
据悉,SN2018zd 是现代天文学观测到的唯一一个电子俘获超新星。公元1054年被全球记载的著名超新星SN1054 也被认为可能是一颗电子俘获超新星,超新星爆发后已成为蟹状星云。
- 我国首台高能同步辐射光源科研设备正式启动安装阶段

来源:央视新闻客户端
6月28日,我国高能同步辐射光源(HEPS)完成了加速器设备电子枪的安装,这是HEPS首台安装的科研设备,是加速电子产生的源头。
为HEPS提供技术研发与测试支撑能力的先进光源技术研发与测试平台(PAPS)同期转入试运行,超导高频及低温、精密磁铁测量、X射线光学检测等设备开机运转。
该项目于2019年6月29日开工建设,建设周期6.5年,预计2022年初,各建筑单体全部交付使用,HEPS将全面转入设备安装阶段。
- “祖冲之号”达到66超导量子比特

来源:arXiv
6月28日,发表于预印本网站arXiv的一项工作中,中科大潘建伟团队表示他们成功将“祖冲之号”从62超导量子比特提升到66超导量子比特,并在其上实现了可编程的二维量子行走。
论文核心目标是如何同步地增加所集成的量子比特数目以及提升超导量子比特性能,从而能够高精度相干操控更多的量子比特,实现对特定问题处理的指数加速。
研究团队称,“祖冲之号”最短能在1.2小时内完成世界最强超级计算机8年才能完成的任务。
- 中国可以人员制造迄今最快的实时量子随机数生成器

来源:Bing Bai and Yao Zheng
6月29日,一项发表在《应用物理学快报》( Applied Physics Letters )上的研究显示,来自中国的科研团队制造了迄今为止最快的实时QRNG。该设备将最先进的光子集成芯片与优化的实时后处理相结合,从真空状态的量子熵源中提取随机性。
芯片使用了铟锗砷化物光电二极管和一个跨阻放大器,二者被集成到一个硅光子芯片上,其中包括几个耦合器和衰减器。结合这些组件,量子随机数生成器可以检测来自量子熵源的信号,并显著提高频率响应。
并且,该小组的芯片尺寸只有15.6×18.0 mm,小于目前大多数QRNG模块或仪器。该方法或有助于开发低成本,高安全性的QRNG单芯片。
- 恐龙在小行星撞地球之前就已进入了衰退期

来源:Nature Communications
6月29日,发表在《自然·通讯》( Nature Communications )上的一项新研究中,科研人员发现,恐龙在小行星撞地球之前就已经进入了衰退期。
研究人员分析了1600个恐龙化石,研究了白垩纪整个时期,从1.5亿年前到6600万年前恐龙的6个科的物种形成和灭绝后发现,非鸟恐龙的多样性从7600万年前就已经开始下降。
研究小组还使用贝叶斯建模技术来解释不完整的化石记录、化石年代的不确定性,以及进化模型的不确定性等几种不确定因素,以考虑所有这些可能的误差来源。
此外,还评估了导致恐龙物种衰落的生态和物理因素,强调白垩纪晚期的全球气候变冷可能加剧恐龙灭绝过程。此外,物种竞争中鸭嘴龙胜过了其他物种,也是导致食草恐龙多样性下降的原因之一。
- 中国正式获得世卫组织无疟疾认证
6月30日,世界卫生组织(WHO)正式宣布中国获得无疟疾认证。目前全球范围内共有 40个国家和地区获得了WHO的无疟疾认证。
20世纪40年代,中国曾每年报告3000万例疟疾病例。20世纪70年代,屠呦呦等人发现并分离了青蒿素,这也是当今最有效的抗疟疾药物中的关键化合物。
20世纪90年代末降至每年约5000例。2012年,中国开始推行“1-3-7”策略。自2017年以来,中国已连续4年报告零本地病例,并于2020年向世卫组织申请了无疟疾认证。
- 最新SCI影响因子发布,第一名期刊突破500分

6月30日,科睿唯安发布了最新版期刊征引报告(Journal Citation Reports, JCR),2020年SCI影响因子随之公布。
CA-ACANCER JOURNAL FOR CLINICIANS 依然位列第一,影响因子从去年的292.2上升至508.7,创历史新高。 Nature 由去年的42.778上升至49.962; Science 由去年的41.845升至47.728; Cell 由38.637升至41.582。
值得注意的是,本次JCR报告列出了各个期刊所发表的金色开放获取(GoldOA)论文比例,在影响因子排名前100的期刊中,有6本期刊为完全金色OA期刊,意味着这些期刊上的论文能够在知识共享许可协议下免费阅读和重复使用;还有18本期刊尚未发表过金色OA的论文。
- 北极“最后的冰区”发生创纪录融化的原因

来源:Communications Earth & Environment
7月1日,一项发表于《通讯·地球与环境》( Communications Earth & Environment )的研究中,科学家分析了1979年至2020年旺德尔海的卫星图像数据,并对这一地区的海冰覆盖情况进行了数值模拟。结果表明,长期的气候变化导致海冰变薄,促使2020年的冰层融化加剧。
此外,2020年夏季,反常的夏季风和冰层变薄造成了北极“最后的冰区”海冰大量消失。研究结果表明,面对气候变化,这一冰区或许比此前认为的更为脆弱,将会威胁依赖冰面生存的哺乳动物。