阅读文章前,辛苦您点下右上角的“关注”,方便您讨论转发,继续关注每日优质内容~
近年来,镁合金作为可降解生物材料显示出良好的应用前景。但是其降解速率过快,力学性能相对较低也限制了其大规模应用。基于此,*土稀**镁合金逐渐发展起来,这主要是由于*土稀**镁合金具有优良的耐蚀性能和力学性能。JIN等比较了少量Nd和Y对Mg-2Zn-0.5Zr合金耐蚀和力学性能的影响,结果表明,Nd的耐蚀性能优于Y,但Y对合金的力学性能的提升优于Nd。CHEN等发现Mg-1.5Zn-0.5Y-0.5Zr合金的抗拉强度(UTS)和屈服强度(YS)分别为300,270MPa,该合金显示出优异的力学性能,在骨科领域具有良好的应用前景,但其耐蚀性能较差,在Hank's溶液中的腐蚀速率约为0.70mm/a。

谭丽丽等,袁广银等发现镁合金常因电偶腐蚀效应而加快其腐蚀,抑制电偶腐蚀效应,便可降低镁合金的腐蚀速率。固溶处理可调控镁合金的组织,使W相溶入基体,从而抑制电偶腐蚀效应,提高合金的耐蚀性能。文章主要研究了固溶处理对挤压态Mg-1.5Zn-0.5Y-0.5Zr合金耐蚀及力学性能的影响。

实验
实验所用材料为挤压态Mg-1.5Zn-0.5Y-0.5Zr合金,Zn的质量分数为1.62%,Y的质量分数为0.38%,Zr的质量分数为0.55%。合金挤压比和挤压温度分别为64∶1和390℃。将合金放入电阻炉中并设置不同的固溶处理温度,分别为450,500,550℃,热处理时间均为5h。热处理过程中利用SF6和CO2的混合气体保护。热处理后将样品放入室温水中淬火,未热处理的样品设置为对照组。

按照标准金相制备方法制备样品,并利用光学显微镜和扫描电镜观察样品的微观组织。将样品加工成M8 Φ4的标准拉伸样在常温下进行拉伸实验测试,拉伸速率为1.0mm/min,每一组样品测试3次,拉伸后利用SEM对样品断口形貌进行观察。

将样品切成长×宽为10mm×5mm的形状,并利用环氧树脂将样品密封,样品的一端与铜线连接,另一端裸露在外,用2000#砂纸打磨。利用Gamry电化学工作站(Reference600)对热处理后的样品进行耐蚀性能研究。采用标准三电极体系,即样品为工作电极、Pt片为对电极、饱和甘汞电极为参比电极,实验所用电解液为Hank's溶液。首先,进行30min开路电位测试使整个体系处于稳定状态,然后进行极化曲线测试,以开路电位为基准,扫描电压为-0.25~0.35V,扫描速率为0.5mV/s。利用GamryEchemAnalyst软件对数据进行拟合。

将样品切成长×宽为10mm×3mm的形状,并利用2000#砂纸打磨,利用无水乙醇冲洗后进行浸泡实验。将样品放入10mm离心管中,并按照1.25cm2/mL的浸泡比例浸泡在Hank's溶液中。为保持浸泡液体的新鲜,每天定时更换,并记录溶液pH。浸泡14d后,将样品取出,利用铬酸溶液(200g/LCrO3和10g/LAgNO3)清除样品表面的腐蚀产物,利用SEM观察样品的微观腐蚀形貌。

结果与分析
微观组织
利用截点法对样品的晶粒尺寸进行分析,未热处理样品、450℃热处理样品、500℃热处理样品、550℃热处理样品的晶粒尺寸分别为(2.7±0.3),(6.8±0.6),(12.3±1.7),(25.3±2.2)μm,这表明,热处理后合金的晶粒尺寸显著增大,且晶粒大小不均匀。

样品固溶处理前后的SEM组织。未固溶处理的样品,晶界处有大块的W相,且主要分布在晶界处;450℃固溶处理后,样品中的W相逐渐溶入基体,数量减少,但在晶界处依然可观察到大量小颗粒的第二相;500℃固溶处理后,晶界处的大块W相基本消失,且在晶界处的小颗粒数量进一步降低;而经过550℃固溶处理后,W相数量进一步减少,但晶粒尺寸显著粗化。W相的能谱分析结果,在W相中Mg,Zn,Y3种元素的质量分数分别为67.39%,20.08%,12.53%。

电化学性能
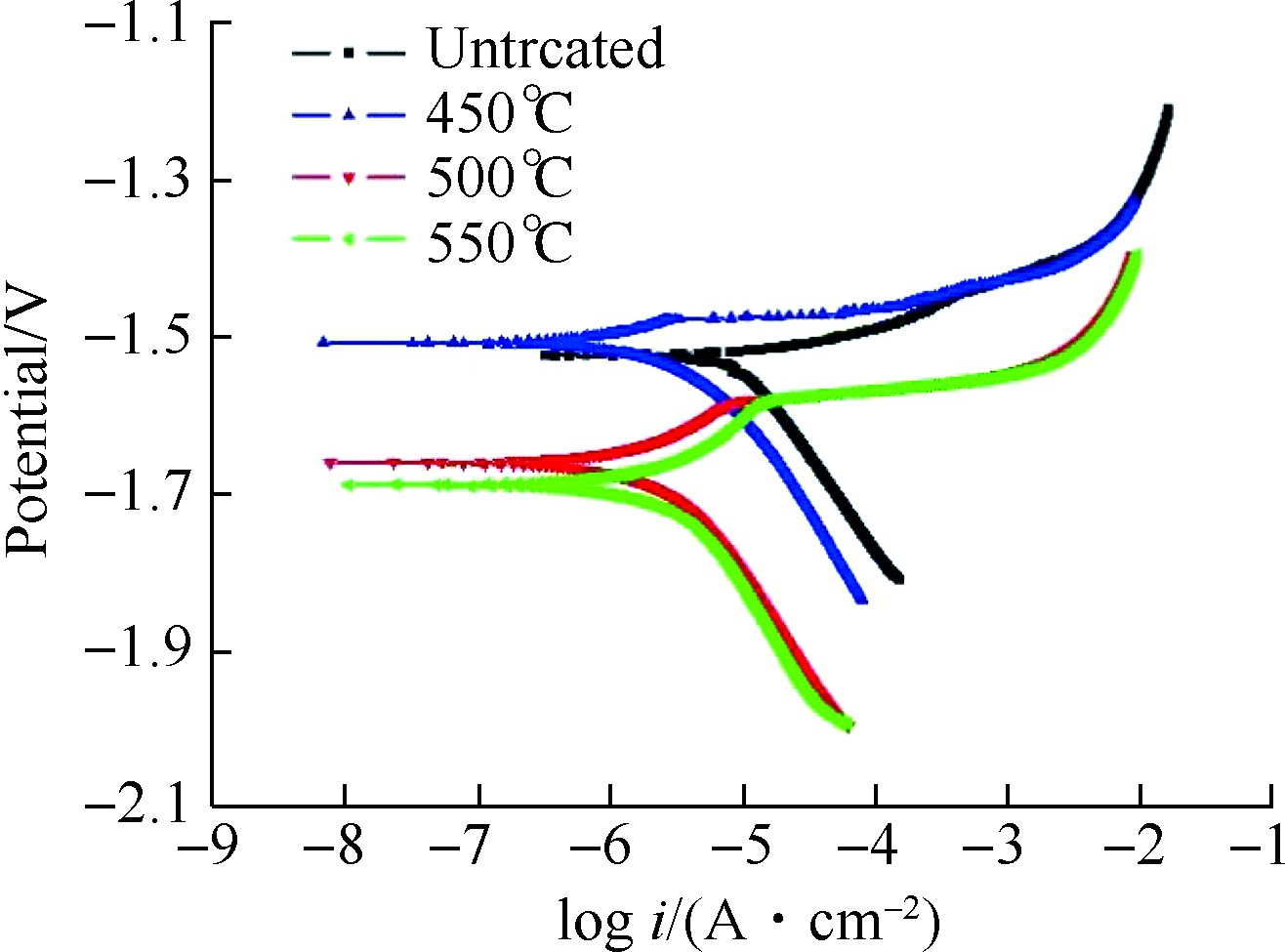
曲线越靠近左侧,其腐蚀电流密度越小,耐腐蚀性能越高,固溶处理后合金的耐腐蚀性能由大到小为:500℃固溶处理样品,550℃固溶处理样品,450℃固溶处理样品,未固溶处理样品。合金经过500℃和550℃固溶处理后,其阳极反应区初始反应速率较慢,随着电压增加至-1.55V左右,腐蚀速率显著加快,表明合金有一定程度的钝化现象。

这主要是由于合金经过固溶处理后,粗大W相溶入基体,合金组织较为均匀,合金呈现一定程度的均匀腐蚀,在合金表面沉积一层均匀腐蚀产物层,腐蚀产物层在一定程度上降低了腐蚀速率,因而在电压较低时,腐蚀速率较慢,当电压超过-1.55V时,腐蚀产物层被破坏,腐蚀速率加快。利用Tafel拟合极化曲线得到的腐蚀参数见表1,合金的腐蚀速率(P)可以由腐蚀电流密度(icor)计算获得,见式(1)
P=22.85icor (1)
合金经过500℃固溶处理后腐蚀电流密度仅为(3.09±0.20)μA/cm2,其腐蚀速率为(0.07±0.01)mm/a,表现出优异的耐腐蚀性能。

浸泡实验
合金在37℃的Hank's溶液中浸泡14d后溶液pH的变化情况。溶液pH越低,表明溶液的腐蚀速率越低。可见,所有样品浸泡初期(第1d)溶液的碱性随着时间延长迅速增加,然后碱性逐渐减弱,至第5d时基本趋于稳定,而500℃热处理后的样品pH始终处于最低值。浸泡初期,样品新鲜表面与溶液充分接触,反应剧烈,导致溶液碱性迅速升高,随后样品表面逐渐沉积Mg(OH)2,Ca10(PO4)6(OH)2等反应产物,阻碍反应的进行,溶液碱性减弱,表现为溶液pH降低。

溶液碱性从大到小的顺序为:500℃固溶处理样品,550℃固溶处理样品,450℃固溶处理样品,未固溶处理样品,该结果与电化学实验结果一致。样品浸泡14d时清除腐蚀产物后的宏观和微观腐蚀形貌。未固溶处理和450℃固溶处理后的样品表面均可观察到明显的点蚀坑,550℃固溶处理后的样品与前两者相比,点蚀坑数量相对较少,而500℃固溶处理后的样品表面点蚀坑的数量显著减少,样品保留了原来浸泡前的形貌,只有轻微腐蚀发生,其他样品均发生较严重的腐蚀。

对样品腐蚀的机理进行分析可知,W相数量的减少弱化了电偶腐蚀作用,电偶腐蚀效应表达式。
式中:γ为电偶腐蚀效应;A1和A2分别为阳极和阴极区面积; E1和E2分别为阳极和阴极腐蚀电位;βa1和βc2分别为阳极和阴极极化斜率;I1和I2分别为阳极和阴极的腐蚀电流密度。
电偶腐蚀效应与阴极区面积成正比,即W相的面积越小,W相数量越少,电偶腐蚀效应越弱,合金的耐腐蚀性能越高。随着固溶温度的升高,合金中的W相逐渐溶入基体,其面积减少,电偶腐蚀效应减弱,合金的耐腐蚀性能随着固溶温度的升高而升高。此外,在粗大晶粒中如果也存在较小的晶粒,在大晶粒和小晶粒之间会发生电偶腐蚀作用,其中大晶粒作阴极,小晶粒作阳极,加快合金的腐蚀。550℃固溶处理后,合金中同样存在尺寸大小相差较大的晶粒,其耐蚀性能降低,可能是由于大小晶粒间的电偶腐蚀作用。综上,合金在500℃固溶处理后表现出最佳的耐蚀性能。

拉伸实验
热处理对金属材料的强度会产生重要影响。未固溶处理和450℃固溶处理的样品可观察到明显的屈服平台,而当固溶温度继续升高时,屈服平台消失。这主要是因为未固溶处理和低温固溶处理的样品,内部有较多的W相,对位错有钉扎作用,位错要运动,必须在较大应力的作用下才能挣脱钉扎而移动,形成上屈服点,位错一旦挣脱钉扎,开始运动,应力减小,出现下屈服点,从而出现明显的屈服现象。当温度较高时,W相逐渐溶入基体,W相对位错的钉扎作用减弱,观察不到明显的屈服现象。从曲线中还可看出,随固溶温度升高,合金的强度和塑性均明显降低。

不同处理组Mg-1.5Zn-0.5Y-0.5Zr合金的力学性能,未固溶处理时合金的抗拉强度为300MPa、屈服强度为268MPa、延伸率为23%。经过550℃固溶处理后其抗拉强度降至250MPa,屈服强度降至159MPa,延伸率降至17%。合金强度的降低与W相的减少及晶粒的粗化密切相关,当W相溶入基体,W相强化作用随之减弱,并且由于固溶温度较高,晶粒显著增大,其细晶强化作用也逐渐较弱。从未固溶处理的样品断口中可观察到大量细小的韧窝,解理断裂面较少。随着固溶温度升高,解理断裂面数量显著增加,550℃固溶处理的样品可观察到大量的解理面,表明材料的断裂方式由韧性断裂逐渐向脆性断裂转变。

研究了不同固溶处理温度对Mg-1.5Zn-0.5Y-0.5Zr合金耐蚀和力学性能的影响,发现固溶处理使合金中的W相溶入基体,电偶腐蚀作用减弱,合金的耐腐蚀性能提高,当固溶温度达到550℃,晶粒粗大,降低了合金的耐腐蚀性能,500℃固溶处理合金的耐蚀性能最佳。固溶处理后由于W相减少,且晶粒粗化,合金的强度和塑性均显著降低。综合固溶处理后合金的耐腐蚀性能和力学性能,推荐500℃为最佳固溶处理温度。