
摘要:
针对北斗反射信号捕获难度大问题,提出一种适用于北斗GNSS-R接收机中反射信号的捕获算法。该算法利用直射信号中的导航数据剥离掉反射信号中的导航数据,并通过周期累加运算和FFT相关,改进了传统的反射信号捕获算法。算法可以降低长时间相干积分的运算量,提高算法捕获速率。对新算法进行了MATLAB仿真,并与传统的捕获算法(相干非相干算法、差分相干算法)做了比较,仿真结果表明,该算法在捕获性能上明显优于传统的相干非相干与差分相干捕获算法。
中文引用格式:杨锐,黄海生,李鑫,等. 适用于北斗GNSS-R接收机的反射信号捕获算法[J].电子技术应用,2018,44(8):118-121,125.
英文引用格式:Yang Rui,Huang Haisheng,Li Xin,et al. A reflected signal acquisition algorithm for Beidou GNSS-R receiver[J]. Application of Electronic Technique,2018,44(8):118-121,125.
❖
0 引言
全球导航卫星系统(Global Navigation Satellite System,GNSS)不仅可以为用户提供导航定位信息、授时等功能,其反射信号也可以被接收与处理。利用GNSS反射信号进行目标遥感测量的技术,被称为全球导航卫星系统反射信号遥感技术(Global Navigation Satellite System-Reflections,GNSS-R)[1]。通过处理GNSS卫星的反射信号,可以进行海面、地表、森林等参数的遥感探测与反演[2-4]。中国北斗卫星导航系统(BeiDou Navigation Satellite System,BDS)是中国自行研制的全球卫星导航系统。它可以进行全方位、多信号源、广覆盖、高分辨率的地表观测实验,为海洋、陆地、冰面等反射面的监测提供了更为可靠有效的方法,这也必将成为北斗系统应用的一个重要领域[5]。
反射信号的捕获是GNSS-R技术中的关键。然而信号经反射面反射后,信号功率大幅度衰减,加大了反射信号的捕获难度。对于反射信号的捕获,通过加长积分时间提高信噪比。目前,常见的反射信号捕获算法主要有相干非相干算法和差分相干捕获算法[6]。其中,相干积分对于信号增益的提升最为有效,但相干积分受限于导航数据跳变[7]。本文针对北斗GNSS-R接收机,提出一种可以克服导航数据跳变的反射信号捕获算法。
1 北斗卫星信号概述
北斗卫星导航系统简称北斗系统,其空间星座由5颗地球静止轨道(GEO)卫星、27颗中圆地球轨道(MEO)卫星和3颗倾斜地球同步轨道(IGSO)卫星组成。北斗卫星1~5号星属于GEO卫星。GEO卫星播发D2导航电文,数据率为500 b/s。北斗卫星6~37号星属MEO/IGSO卫星,播发D1导航电文,数据率为50 b/s,并调制有速率为1 Kb/s的二次编码。D1导航电文上调制的二次编码是指在速率为50 b/s的电文上调制一个NH码。NH码周期为20 ms,共20 bit信息位(0 0 0 0 0 1 0 0 1 1 0 1 0 1 0 0 1 1 1 0),码速率为1 Kb/s,码宽为1 ms,以模二加的形式与扩频码和导航信息码同步调制[8]。图1为北斗信号二次调制原理图。

2 反射信号捕获算法研究
2.1 信号捕获原理
卫星信号的捕获是对多普勒频率及C/A码的二维搜索过程,利用C/A码的强自相关性,在二维搜索过程中找出一个自相关峰值,从而确定C/A码相位偏移以及多普勒频率信息。常见的捕获搜索算法为频率串行码相位并行搜索,其处理框图如图2所示。

2.2 传统反射信号捕获算法
2.2.1 相干-非相干积分算法
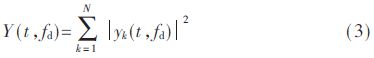
相干积分利用的是C/A码的强自相关性,对N个C/A码周期的相关值矩阵直接累积,数学表达式如下:

式中,yk(t,fd)表示第k个C/A码相关值矩阵,t和fd分别代表码相位点和多普勒频率。
相干积分增益可以表示为[9]:

式中,Bb=1/T,T为相干积分时间。对于北斗信号,则BW=4.092 MHz。式(2)表明,增加相干积分时间可以提高信号增益,由于导航数据和跳转边沿未知,使得相干积分时间不能无限增大,此时可以通过采用非相干积分的方式来提高信噪比。
非相干积分是对N个相干积分结果进行模值平方后再求和[10],数学表达式如下:

非相干积分长度不受导航数据和跳转边沿影响,但是存在噪声平方损失。文献[11]分析了其增益和损耗,指出非相干次数在少的时候是有效的,但随着累积次数的增多,损耗也会增加,总的处理增益会下降。
2.2.2 差分相干算法
差分相干算法,其原理可概括为如下表达式:

文献[12]指出差分相干积分能够减小平方损耗,对信噪比的提升优于非相干积分。
2.3 直射辅助式反射信号捕获算法
2.3.1 直射信号与反射信号关系研究
GNSS-R原理如图3所示,接收机在接收卫星直射信号的同时也将接收反射信号。反射信号经由反射面反射后到达接收机。相对于直射信号而言,反射信号的传播路径有一个路径延迟。北斗卫星直射信号与反射信号的数字中频表达式如下:
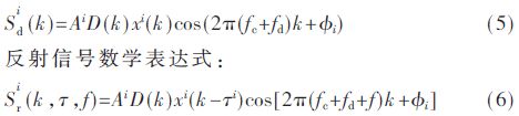
直射信号数学表达式:

式中,上标i表示卫星编号,A、x、D、fd、τ、f和φi分别表示卫星信号幅值、C/A码、导航数据码、直射多普勒频移、反射相对于直射的码片延迟、反射相对于直射的多普勒偏移和载波初始相位。

2.3.2 基于直射辅助的反射信号捕获算法
GNSS-R接收机处理框图如图4所示。接收机基带处理模块分直射通道与反射通道。直射通道完成直射信号的捕获跟踪、导航解算与用户定位。通过导航解算可求解出直射信号中的导航数据D(k),D(k)取值为1或-1,使用D(k)剥离掉反射信号中的导航数据,则式(6)可改写为:

去掉导航跳变的反射信号就可以进行长时间的相干积分。在使用FFT做相关处理前,对已剥离掉导航跳变的数据进行周期性累加,再执行FFT相关操作,这样可以降低FFT运算点数,从而极大降低长时间相干积分的运算量,提高反射信号捕获速度。基于直射辅助的反射信号快速捕获过程如下:
(1)以直射信号多普勒频率为中心搜索频率,对输入的中频北斗反射信号乘以正交本地载波,进行去载波操作。
(2)利用直射信号中提取的导航数据对反射信号进行导航数据剥离,根据北斗卫星调制方式不同,分两种情况:
①若为GEO卫星,则导航数据直接乘以反射信号。
②若为MEO/IGSO卫星,导航数据先调制NH码,再与反射信号相乘。
(3)对不含导航跳变的信号以一个C/A周期进行累加操作。
(4)累加后信号进行FFT变换,与本地C/A的FFT变化的复共轭相乘,做IFFT变换之后取模值。
3 算法实验仿真
3.1 实验条件
实验选用矩阵电子的多星座导航信号模拟器(型号为GNS-8332)产生卫星信号。通过配置通道参数生成不同功率的北斗B1频点卫星信号,仿真场景中可以设置给卫星加入多径信号用以模拟该颗星的反射信号。反射信号相对于直射信号的功率衰减可以进行设置。采用莱特信息科技的多天线卫星中频信号采样器(型号为LT-C-002)进行数据采集;采样频率为20 MHz。信号中心频率为2.902 MHz。
3.2 算法仿真
3.2.1 实验一
模拟器产生北斗1号卫星信号,直射信号功率设为-130 dBm,反射信号相对直射信号衰减10 dB,即功率为-140 dBm。反射信号相对于直射信号的码片延迟为20个码片。3种算法对北斗1号星的捕获结果分别如图5~图7所示。

实验一仿真结果:3种捕获方法所处理的数据长度均为20 ms。码片分辨率均为1/4码片。图5~图7所用捕获方法分别为相干非相干积分、差分相干积分和直射辅助式相干积分,捕获性能对比如表1所示。

3.2.2 实验二
模拟器产生北斗7号卫星信号,直射信号功率设为-130 dBm,反射信号相对直射信号衰减20 dB,即功率为-150 dBm。反射信号相对于直射信号的码片延迟为20个码片。3种算法对北斗7号星的捕获结果分别如图8~图10所示。

实验二仿真结果:3种捕获方法所处理的数据长度均为100 ms。码片分辨率均为1/4码片。图8~图10所用捕获方法分别为相干非相干积分、差分相干积分和直射辅助式相干积分,捕获性能对比如表2所示。

4 结束语
本文在研究传统反射信号捕获算法的基础上,利用直射与反射信号的关系提出一种适用于北斗GNSS-R接收机中的反射信号的捕获算法,并进行了仿真,同时与相干非相干累积积分、差分相干算法做了对比。仿真结果表明,在捕获-140 dBm信号时,3种算法的积分长度均为20 ms,本文算法的捕获性能优于相干非相干算法13.98 dB,优于差分相干算法7.78 dB。捕获-150 dBm的弱信号时,积分时间均为100 ms,传统捕获算法未能检测到反射信号,本文算法正确检测到反射信号。若采用更长的积分时间,则可以捕获到更弱的反射信号。在利用GNSS-R技术进行目标反演时,该算法具有良好的应用前景。
参考文献
[1] 李黄,夏青,尹聪,等.我国GNSS-R遥感技术的研究现状与未来发展趋势[J].雷达学报,2013,2(4):389-399.
[2] CARDELLACH E,RUFFINI G,PINO D,et al.Mediterranean balloon experiment:ocean wind speed sensing from the stratosphere,using GPS reflections[J].Remote Sensing of Environment,2003,88(3):351-362.
[3] RODRIGUEZ-ALVAREZ N,CAMPS A,VALL-LLOSSERA M,et al.Land geophysical parameters retrieval using the interference pattern GNSS-R technique[J].IEEE Transactions on Geoscience & Remote Sensing,2010,49(1):71-84.
[4] 周旋,叶小敏,于暘,等.基于GNSS-R的海面风速探测技术研究[J].电子与信息学报,2013,35(7):1575-1580.
[5] 杨东凯,张其善.GNSS反射信号处理基础与实践[M].北京:电子工业出版社,2012.
[6] ELDERS-BOLL H,DETTMAR U.Efficient differentially coherent code/Doppler acquisition of weak GPS signals[C].IEEE Eighth International Symposium on Spread Spectrum Techniques and Applications.IEEE,2005:731-735.
[7] 陈学,徐建华,叶甜春,等.基于FFT的微弱GPS信号捕获算法[J].微电子学与计算机,2010,27(3):98-101.
[8] 中国卫星导航系统管理办公室.北斗卫星导航系统信号接口控制文件公开服务信号(2.1版)[S].2013.
[9] 鲁郁.北斗/GPS双模软件接收机原理与实现技术[M].北京:电子工业出版社,2016.
[10] 徐晓苏,范金洋.GPS软件接收机捕获算法[J].中国惯性技术学报,2009,17(2):165-169.
[11] LIN D M,TSUI J B Y,LIOU L L,et al.Sensitivity limit of a stand-alone GPS receiver and an acquisition method[C].Proceedings of International Technical Meeting of the Satellite Division of the Institute of Navigation,2002:1663-1667.
[12] SCHMID A,NEUBAUER A.Performance evaluation of differential correlation for single shot measurement positioning[C].Proc.ION GNSS 2004,Long Beach,CA,2004:1998-2009.
作者信息:
杨 锐1,黄海生1,李 鑫1,曹新亮2
(1.西安邮电大学 电子工程学院,陕西 西安710121;2.延安大学 物理学与电子信息学院,陕西 延安716000)
