译者按语:受金门剑客韦鹏翔之请求,将这篇铭文进行注解翻译,以帮助韦姓家人读懂该文,了解其祖先的事迹。译者遵照忠于原文之准则,对文字作了古今对译。至于文章中内容,记述的事实与别处相关联的历史记载,是否相符合,笔者无能力去涉及。关于人物及作者的历史政治观点,也未给予评判。




《金a①故武德将军韦公碣铭》注释及译文
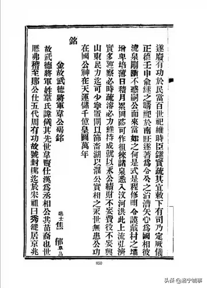
故②武德将军,姓韦氏,讳仪。其先世韦贤仕汉,为丞相。公其③苗裔④也?世歷弗稽⑤。至郧公,仕五代周,有功,故号封郧。迄于宋,祖曰秀,徙居京兆盩厔县。父德,赠⑥敦武郎。母孙氏,赠封孺人。后经兵乱,基业残毁,逖⑦居闢土,稍复事业。有子二,长曰俊,次曰仪,才皆克⑧类⑨,仪尤⑩亲炙B①主管,博通武经。时天下骚乱,郡雄啸聚。公一日谓兄曰:“吾等不幸,生于乱世,羞与编氓②为伍,苟励志靖③乱,功名可图。”兄壮其言而善之。遂投本郡广锐军,适④招求锐士,公以骁骑应选,得从范总领麾下⑤。披坚执锐,搴⑥旗斩将,累世奇功。录充曲统制麾下,凡所招募士卒,专命训练,用致果毅,率堪御侮。天会⑦五年夏四月,公率众至虢州,贼阎路子引兵与公战,一鼓献馘⑧,遂定虢州。范公表为保仪郎。冬十有二月,贼众再犯虢,公受命提兵掩杀。始转忠翊郎。天会六年,随统制耿嗣宗復⑨卢氏县,进拔嵩州,解围陕州府。暨⑩宜阳诸叛贼杨伟口、首泉润什驱民数千口转武,公郎阖门宣赞舍人,肇任虢州兵马都监。次任河南孟、汝、唐州兵马使,下五军提辖。公因遊历宜阳、永宁两县,爱山明水秀,物华人熙,用自己积貯之赀C①,置膏田一千余顷。至废齐阜昌②三年正月,公率众奏允,差充虢州兵马督监。视事日久,於坊廊③置地一区④。安定县买田四顷。阜昌八年,权大总管府。差充环州兵马督监。未赴任,寻改授诸路兵马大总管府。应右军统领。至皇统⑤八年,公因老归政,为武节大夫。寻⑥换德武⑦将军骁骑尉。卒于正隆⑧元年十二月五日,享寿六十有四。公先娶原州王氏,长⑨一女,适⑩朱氏。后娶虢州王氏,无所出仍娶邓州杨氏,诞男朴。寻娶赵氏,封安人,无所出。男朴孝行纯笃,庐D①于墓侧,寝苫枕块②,哀思哭痛,服竟③,适追前志从征④,皆有破敌之功。莅事则有灭私之道,天性俭素,动而有礼,一方蒙休⑤,实终赖之。于是,思亲涕泪,斩山立垣,穴石为棺,树碑镌誌。大定丙午,工告成功。九月三十日,卜葬永宁太平乡金门山之阴,仍勒铭以垂不朽。铭日:昔应胜口,超然不群。英资天赋,卓冠三军。倾心效用,呼兵集云。训练既熟,忧戚⑥能分。进取虢州,出遘⑦渠魁⑧。捻矢张弧⑨,扬音迅雷。 㐫 ⑩无不诛,围无不开。鹤唳风声,披靡驚骇。功成守官,不受贿赂。莅政勤劬,资身俭素。病臻告俎,永昭美故。镌铭开碑,庶识君墓。
金大定二十六年立石
注释
A①金:中国历史上一个少数民族掌权的王朝。完颜阿骨打建立,兴起于东北,它灭了北宋王朝,最后它被蒙古消灭。
②故:已经去世的人。
③其:句中语气词,表示揣测。
④苗裔:后代子孙。
⑤稽:考查。
⑥赠:(皇帝)封以前的人官职曰诰赠。
⑦逖:ti,远。
⑧克:能够。
⑨类:善。
⑩尤:突出,特别。
B①炙:亲近。
②氓:普通的民众。等级最低的人。
③靖:平定叛乱。
④适:恰好(赶上)。
⑤麾下:将帅的部下。
⑥搴:拔。
⑦天会五年:天会,金太祖的年号,即公元1127年。
⑧馘:guo,古代战争中,割掉敌人的左耳朵,计数献功。
⑨復:光复,收复。
⑩暨:等到。
C①赀:同资,钱财。
②阜昌三年:即公元1132年,阜昌,伪齐政权刘豫的年号。
③坊廊:街巷。
④区:居止之所,即宅院。
⑤皇统八年:即公元1148年,皇统,金熙宗的年号。
⑥寻:不久。
⑦德武:疑应该是“武德",原文是否把位置弄反了。
⑧正隆元年:公元1156年,正隆,金海陵王的年号。
⑨长:生。
⑩适:女子出嫁。
D①庐:简陋的草屋。
②寝苫枕块:苫,草席,块,成疙瘩或成团的东西,喻在墓地守护时居住很简陋。
③竟:完毕。
④征:特指君召臣。
⑤蒙休:得到好处。
胜口:胜,尽也。口,可理解为“苦”。胜口,就是吃尽了苦。
⑥忧戚:忧愁哀伤。
⑦遘:遇到。
⑧渠魁:封建社会中,指敌人方面的领导人。
⑨弧:弓。
⑩ 㐫 : 同“凶”,恶也。
译文
故武德将军,姓韦,名讳仪,他的远祖韦贤在汉朝为官,担任丞相。他大概是(丞相)的后代子孙吧。其间具体的世代无法考证。至郧公时,在五代的后周做官,有功劳,因此封号“郧”。至北宋朝,他的祖父名秀,迁居京兆盩厔县(今陕西周至),他父亲名德,被诰赠敦武郎。母亲姓孙,被封为孺人。后来,由于战乱,家庭基业被毁,不得不居住到更偏远的地方,才又恢复了些家业。(德)有两个儿子,长子名俊,次子名仪,两人才能非凡,可以分辨出(人的)善(恶)。仪特别会亲近管事的人,并且精通武略。当时,天下大乱,群雄并起。公有一天对兄长说:“我们不幸,生在乱世年代,又以与普通百姓为伍是羞耻的事,如果我们立志去平定*乱动**,就能成就功名。”兄长认为他的话有远大志向,说的也有道理。于是前去投奔本郡的广锐军,正赶上招募勇士,公以骁骑应选,得以成为范统领的部下。披坚执锐,斩杀敌人,拔除敌人军旗,积累了不世之功,被收录到曲统制的部下。凡是招募来的新兵,统制命他去训练,经过训练,使新兵果敢坚毅,可以用来抵御外侮。天会五年(公元1127年)夏四月,公率众来到虢州(今三门峡),贼人阎路子率兵与公交战,只一仗,敌人就大败了。就使虢州稳定下来了。范公上表,提升他为保义郎。冬十二月,贼众再次来犯,公受命带兵掩杀,大获全胜,升为忠翊郎。天会六年,跟随统制耿嗣宗,光复了卢氏县,进军攻占了嵩州,解了陕州府之围。到宜阳叛贼杨伟口等多次逼迫数千口百姓入伙为贼时,公带全家子弟担任號州兵马督监,接着又担任河南孟、汝、唐州兵马使。(地位)低于五军提辖。公游历了宜阳、永宁两县,喜欢那儿的山明水秀,物产丰富,人口众多,于是,用己的积蓄,购置了千顷良田。至废齐阜昌三年(公元1132年)正月,公率众上奏皇帝,得到允许,去担任虢州兵马督监。(在那里)任职时间长了,就在街巷之中购买了一处宅院。在安定县买田四顷。阜昌八年(1137年),暂时代理大总管府,任职环州兵马都监,还未到任,改授诸路兵马大总管府,受右军统领。至皇统八年(1148年),公因年老,把权力归还给朝廷。(皇帝)给了“武节大夫”之称,不久,更换为“德武将军骁骑尉"之称。卒于正隆元年(1156年)十二月五日,享寿六十四岁。公最先娶原州王氏为妻,(王氏)生一女,嫁给朱姓人家。再娶虢州王氏,无生育,依礼娶邓州杨氏,生男朴,不久,又娶赵氏,(赵氏)被封为“安人”,她无生育。男朴孝行笃厚,在父亲的墓旁搭建草屋(守坟),睡的是草席,枕的是土块,整日流涕以寄哀思之情,守孝期满,才去补求先前的志向,去响应(皇上)的征召,立下了破敌之功。遇事能够消除私欲,天性能俭素,行为遵守周礼,一方(百姓)得到他的好处,事实上还很依赖他。这时,削山头立墙垣,挖石做棺,树碑刻文。大定丙午年,工告成功。九月三十日,选择茔地安葬于永宁县太平乡金门山之阴,依惯例刻碑以求永垂不朽。铭文曰:昔日受尽了苦难,才有后来的功名超群。生性天资聪慧,才能冠称三军。一心一意为皇上效命,所训士兵众多如云。士兵技能娴熟,国家的忧戚可区分。进取虢州之时,外出偶遇敌魁。张弓搭箭进攻,箭声迅急如劈雷。 对作恶之人惩处诛杀, 围困敌方之城,无不攻克。战场危急风声鹤唳,所向披靡敌众惊骇。功成名就为官,不受贿赂清廉。处理政事惟勤,生活朴素尚俭。染病亡故享祭祀,美名永昭留人间。镌石刻碑作纪念,庶民百姓识君墓。
公元一一八七年立石。

作者简介:马五三,男,生于1950年,洛宁县城郊乡在礼村人。1970年参加工作,洛宁一高中任教,中教高级教师。2010年退休。