上节课的习题第一题,有些朋友私信问黄老师该如何解答,下面黄老师讲解一下。
题目如下:

此题如何解?黄老师算了一下,发现此题出的过于难了,当时在网上找了个图片未经自己验证就当成习题出了。。。
寻找解题思路如下:
第一感觉:有没有可能利用循环来解,即2^1、2^2、2^3……减1以后除以343的余数是一段循环的数字;
通过简单计算,发现不太可能,因为2^8=256,减1除以343余255,只有9次方以后才可能出现循环,但试验了几个未发现,再者,2^20这个数值大于100万了,计算量太大了,所以,利用循环是解决不了此题的。
那该怎么办?
我们只能利用余数的相关知识看看能不能解?
必备知识:

因为147在指数上,所以考虑把147这个数分解因数:
147=3×7×7
所以2^147=2^(3×7×7)=(2^3)^(7×7)或=(2^7)^(3×7)
即:
2^147=8^(7×7)或
2^147=128^(3×7)
上述2式一个是先计算8^7除以343的余数,然后余数的7次方再除以343得到的余数,最后减1;
一个是先计算128^3除以343的余数,然后余数的7次方再除以343得到的余数,最后减1;
两式选一计算即可,黄老师在此都进行计算一下:
A:8^7=2097152,2097152÷343=6114……50
50^7=50^3×50^4
50^3÷343=364……148;50^4÷343=18221……197;
再计算:148×197÷343=85……1
所以2^147÷343余1,即(2^147-1)能整除343,余数为0
B:128^3=2097152,
下同A:
2097152÷343=6114……50
50^7=50^3×50^4
50^3÷343=364……148;50^4÷343=18221……197;
再计算:148×197÷343=85……1
所以2^147÷343余1,即(2^147-1)能整除343,余数为0
此方法均为笨方法,能否有更简单的方法呢?
先不考虑减1,只考虑2^147÷343
因为343=7×7×7
我们知道的是:
求两个数相乘再除以一个数m的余数,可以先计算每个乘数除以m的余数,然后再将余数相乘再除以m。
那么,对于被除数,有类似的性质吗??
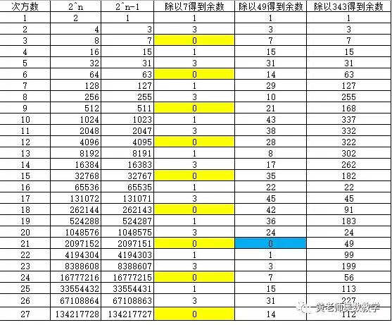
为此,黄老师做了个验证表:

上图,第一列为指数,第二列为2^n的得数,第三列为该得数减1后得数,第四列为第三列除以7得到的余数,第五列为第三列除以(7×7)得到的余数,最后一列为第三列除以(7×7×7)得到的余数。
由图可见,除以7时,到2^3-1时可以整除,而下几个是2^6-1、2^9-1、2^12-1……
对应的,除以(7×7)时,第一个是2^21-1,(21是由3×7得到),推理应该得到:第二个能被(7×7)整除的应该是2^42-1:原因是:
2^42-1=(2^21+1)×(2^21-1)(平方差公式)
所以,推出:
除以(7×7×7)时,第一个是2^147-1,(147是由3×7×7得到)
此处缺乏严谨证明,但可以通过引入立方差公式:

及N次方差公式(a^n+b^n=(a+b)(a^(n-1)-a^(n-2)*b+a^(n-3)*b^2-……+a^2*b^(n-3)-a*b^(n-2)+b^(n-1)) (n是 奇数 )),来证明
此证明太过烦索,黄老师力所不及,看看有没有朋友可以证明!
此讲太过复杂,主要因为上一讲黄老师不小心给自己下了个坑,如果哪位大神有更好的解题方法,欢迎指教!