编者按:上世纪70年代,一个叫做戈登·摩尔的人凭着自己对于半导体行业的感觉提出了预测,每18个月就能将芯片的性能提高一倍。这个预测在过去的40年中一路证明了自己的正确,而芯片中晶体管的密度也跟着翻倍,翻倍,再翻倍。
对于熟悉芯片的人来说,高性能通常伴生这高发热,随着我们对电子产品的依赖程度日益增加,手机、平板、笔记本电脑等的发热问题,不仅对使用体验造成负面影响,同时还阻碍着生产商设计出更加美观、轻便的新产品。
要解决电子产品,尤其是微电子器件的发热问题,首先要理解这些热量产生的根本原因。而这个答案可能就藏在廖浡霖博士最新发表的论文中。这位前四川省高考状元师从陈刚教授,今年从麻省理工学院获得了博士学位。
他所在的研究团队精确测量了电子与声子的相互作用,所得成果不仅解释了微电子设备的发热原因,同时还能用以进一步提高热电材料的性能 。

随着半导体芯片的发展,越来越多的晶体管被塞入了越来越小的空间中。麻省理工学院的工程师最新发现,手机、笔记本电脑等其他电子设备会发烫,主要原因在于电子和携带热能的声子相互作用。
这样的相互作用曾一度被科学家们忽略,然而最新的研究结果显示,在微电子设备中,这种相互作用对散热起到了重大的影响,相关的研究结果发表在了10月12日的《Nature Communication》上。
在实验中,研究小组使用精确定时的激光脉冲在一片超薄硅薄膜中测量了电子和声子的相互作用。测量结果显示:随着薄膜中电子浓度增加,会有更多声子因被电子散射而导致散热困难。
麻省理工学院(MIT)毕业的廖浡霖博士是这篇论文的第一作者,他说道:“电脑运行时会产生热量,你肯定希望这些热量快速散掉(被声子带走)。但是,如果声子被电子散射,它们的散热效果就会变差。随着芯片越造越小,这个问题必须得到解决。”
但凡事既有一弊,必有一利,同样的现象对热电发电却会带来好处。热电材料可以直接将热能转化为电能,被散射掉的声子越多,意味着越少的热量流失,因此会大大提高热电装置的效率和性能。
热电材料具有非常广阔的应用范围,其中包括了热量探测仪和NASA最新提出用于太空探测设备的核电池。

声子被电子散射的现象并不是什么新发现,但是长期以来一直被科学家们忽略,随着半导体技术的不断发展,电子的浓度变得越来越高,这种现象变得不可忽视。
科学家们必须思考如何更操控电子-声子相互作用,这样才能一方面增加热电装置的效率,而另一方面防止微电子设备发烫。
这篇论文其他作者都来自MIT,其中包括了廖浡霖的博导,MIT机械工程系主任陈刚教授。
声子和电子的碰碰车游戏
无论是在晶体管(半导体材料,如硅)还是导线(导体材料,如铜)中,电子都是电流运动的主要媒介。电阻之所以会存在,主要原因是电子流动时会遇到路障——携带热能的声子会与电子碰撞,将其弹出电流的路径外。
很久以来,科学家就在研究电子-声子相互作用所带来的各种影响,但侧重点主要集中于电子,而没有太关注这种相互作用是如何影响声子的。
“科学家很少研究这个相互作用对声子的影响,因为他们认为这个效应不重要,”廖浡霖说道,“但是牛顿第三定律告诉我们,每个力都有一个反作用力。只是我们不知道在什么情况下反作用力才会变得重要。”

散射,散热难以两全
根据廖浡霖和同事先前的计算,当电子浓度超过每立方厘米1019个时,在硅(半导体材料最常用到的物质)中电子和声子的相互作用会对声子产生巨大的散射作用。当电子浓度到达每立方厘米1021个时,材料的散热能力将因声子的散射而降低50%。
“这是相当显著的效应,但很多人却对此存疑,”廖浡霖说道。
这主要是因为在之前用到高浓度电子材料的实验中,科学家们都假设散热能力的下降不是因为电子-声子相互作用,而是由于材料的缺陷造成的。
这些缺陷的存在是因为人们对材料进行了掺杂(doping),以硅为例,磷和硼是常用的掺杂原子,目的是为了增加材料的电子浓度。
因此,要验证廖浡霖的理论,就必须分离电子-声子相互作用和缺陷对散热能力造成的影响。具体的实施方法就是,提高材料中的电子浓度,但不能引入任何缺陷。
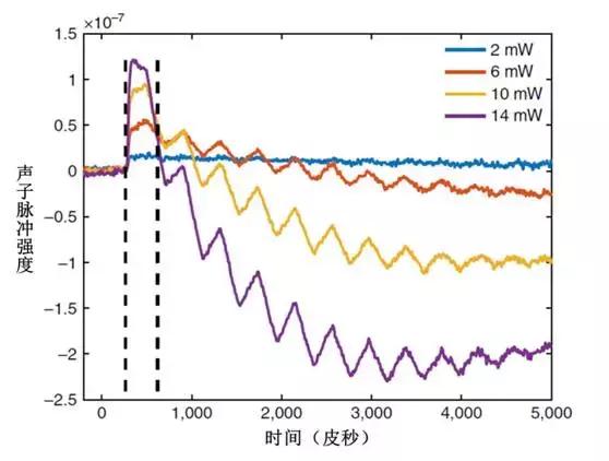
研究小组发展了一种称作“ 三 脉冲声光波谱”(three-pulse photoacoustic spectroscopy)的技术,通过光学的方法精确地在硅晶体薄膜中增加电子的浓度,并测量材料中的对声子产生的任何影响。
这个技术是对传统的“二脉冲声光波谱”(two-pulse photoacoustic spectroscopy)的扩展,在传统的方法中,科学家们通过精确调控,对材料发生两束定时精准的激光。第一束激光在材料中产生声子脉冲,第二束则用来测量声子脉冲的散射或衰减。
廖浡霖引入了第三束激光,这样就能精确地增加硅材料中的电子浓度而不引入任何缺陷。在发射了第三束激光后,测量结果显示,声子脉冲衰减时间明显缩短,这表明了电子浓度的增加了声子的散射并抑制了它的活动。

实验结果显示,第三束激光的引入会造成声子脉冲衰减时间的缩短,激光的强度越大(电子的浓度越高),声子脉冲的衰减时间就越短。
这个结果让廖浡霖团队非常兴奋,因为这很好地吻合了他们之前的计算结果。
“我们现在可以确定效应确实非常明显,而且我们在实验中证实了它,”廖浡霖说道,“这是首个可以直接探测电子-声子相互作用对声子的影响的实验。”
有趣的是,每立方厘米1019个电子的浓度,比现有的一些晶体管还要低,换句话说,最新发现的这种现象,是部分现有的微电子发热发烫的元凶之一。
“根据我们的研究,随着电路的尺寸越来越小,这个效应将会越来越重要,”廖浡霖说道,“我们必须认真考虑这个效应,并且研究如何利用或避免它带来的影响。”
编辑:严寒
参考:
B. Liao, et al, Photo-excited charge carriers suppress sub-terahertz phonon mode in silicon at room temperature, Nature Communications 2016, doi:10.1038/ncomms13174.
http://news.mit.edu/2016/electron-phonon-interactions-affect-heat-dissipation-computer-chips-1012