

图2 光纤光缆(图片来源于网络)
所谓光纤,光导纤维的简称,是一种由玻璃或者其他材料制成的光波导。光能够在光纤中传输最基本的原理就是全反射。 众所周知,全反射是当光从光密介质(折射率相对较高)入射到光疏介质(折射率相对较低)时,光不再发射折射,全部反射到原介质中去。光纤最基本且最重要的原理已经讲完了,要求纤芯折射率n1>n2,其次反射角θ大于全反射临界角,这样才能保证光能够在光纤中一直传输下去(注:这里讲的都是阶跃型折射率光纤,就是最普通的光纤)。

图3 光纤的基本结构
那么第一个问题来了, 是不是只要满足全反射这个条件的光都能在光纤中传导下去?答案:不是,还需要满足一个条件:相位匹配条件。怎么又是相位,哎,没办法,只要涉及到光,涉及到干涉,必定出现相位匹配这个东西!上一期非线性光学中也提到过相位匹配,干涉条件里面也有一项要求是相位差恒定。好,接下来进入高能时间。
首先,光纤中的光传输要求满足全反射条件,即图4中θi角要大于全反射临界角,那么是否所有大于全反射临界角入射的光线都能传输,换句话说,入射角度是否和相位匹配条件有关?好,接下来我们分析图4。

图4 光纤传输相位匹配计算
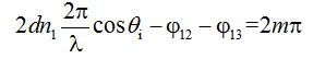
图4中绿色和紫色的表示某一个角度的一系列平行光,蓝色虚线是等相面(与入射光垂直),我们要的相位匹配条件就是让这系列平行光满足同相位,也就是BC和EF光程差走过的相位差要是2π的倍数,根据公式2π/λ×光程差=相位差,我们得到了以下公式:

上式中为什么多减了2项,那是因为全反射的时候,并不是在界面处就直接反射,而是存在倏逝波,会有一定的深度,这是会引起一定的相位变化,这个相位变化大小与两种材料的折射率有关,是个固定值,所以需要把2次反射的相位差给减掉。然后再根据几何原理计算BC-EF用纤芯直径d和入射角θi表示,于是得到如下公式:

好,公式结束,如果你没看懂,这个不重要,重要的是我们得到了这个相位匹配条件跟什么有关系, 显然,如果光纤确定的情况下(直径d和折射率n),不同的m值,会对应不同的入射角θi,这就是我们所说的多模(式),而且这个入射角是离散的。

图5 光纤不同模式光斑分布图(图片来源于网络)
反推,如何实现单模光纤?根据上面公式,让光纤纤芯直径d在某一个范围内,使得m取值只能等于0,不能等于1,那么这根光纤就是单模光纤。 所以正常情况下,单模光纤的纤芯直径较小,在4~10 μm;多模光纤的纤芯直径较大,在50 μm以上。
光纤特性
前面阐述了光纤的传输原理,接下来再介绍光纤最重要的2个特性。第一个:损耗,即衰减。为什么光纤通信最近几十年才发展起来,因为之前光在材料中损耗太严重,导致没太大的利用价值,直到高琨先生实现了光波损耗在20 dB/km以下的光通信要求。
好,第二个问题来了, 光在光纤中传输的损耗是由什么造成的?很简单,大部分人都能想的到,可以分为三类:吸收、散射以及弯曲。
吸收损耗,就是指材料对光的吸收。制造光纤的二氧化硅材料本身就吸收光,所以会造成一部分的损耗,其次杂质对光的吸收,例如一些有害的金属杂质铜、铁、铬、锰等,所以通过对光纤材料的提纯,可以大大减低光纤的吸收损耗。石英光纤中还有个重要的吸收源:氢氧根(OH-),我们知道水在红外波段有吸收峰,所以氢氧根对光纤的影响也非常大,而且不易被清除。例如,在1.39 μm波段,含量仅为万分之一的氢氧根吸收损耗能高达33 dB/km。
散射,在第8期:光的散射中详细介绍过,光纤中也会有散射,包括瑞利散射,强光下的非线性散射:拉曼散射、布里渊散射等。这是正常的材料散射,另外还有一种就是波段散射,即因为光纤结构的不完善引起的散射衰减,比如光纤熔接时候的散射、光纤本身材质不均匀、有气泡等。
第三种:弯曲。弯曲为什么会产生损耗?因为光在光纤中传输是基于全反射原理,如果弯曲过度会造成弯曲部分会因为不满足全反射角的条件导致一部分光透射到包层中去,从而造成一部分光的损失。
好,前面讲了光的损耗,接下来讲另外一个特性:色散。色散,顾名思义,颜色散开了,也就是不同波长(频率)的光传播速度不一致,导致跑得不一样快,脉冲就会展宽。

图6 材料色散图(图片来源于网络)
其实色散可以分为三种:材料色散、模式色散、波导色散。图5就是材料引起的色散;模式色散是指在不同模式情况下,光走过的路程长短是不一样的,因此到达终点的时间不一致,这也会引起色散;最后一种波导色散是指在同一个模式下,一部分光(与频率无关,所以不是材料色散)因为在纤芯和包层没发生全反射,而在包层和涂覆层之间反射全反射,所以导致这部分光通过了包层然后再回到纤芯中传播,所以与另一部分同频率的光只在纤芯中传播的传输距离不一致,从而导致了同频率光的色散。
光纤传感与通信
接下来,让我们从理论回到现实中吧。光纤最初的用途是用来通信的,所以现在我们来回答第三个问题:通常我们会说,人太帅拖网速,啊不,网速(10M,20M,50M等)有快有慢,那这网速到底指的是什么,由什么决定?
举个例子,10M的带宽,*载下**速度就是10Mbit/s,对应网速就是1.25MByte/s。所以如果要提高网速,其实就是要增加光纤的带宽。那带宽又是啥?很好理解,带宽就是频率带的宽度,也就是光在光纤中传输的时候,我们最基本的要求肯定是传输信号要正确的,不能误码,否则不就出错了嘛。但是由于色散特性的存在,不同频率的光跑得不一样快,所以在时域频带会展宽,这导致各码元之间会重叠,为了保证正确性,就需要加大码元之间的时间间隔,自然会降低容量。 所以,影响光纤带宽的因素是光纤的色散特性,光纤的色散愈小,光纤的带宽愈宽。
最后一个问题,光纤除了传输光信号,还能用来做啥?用来做传感,检测各种物理条件。小的时候,我经常在想,你把光缆全部埋在地底下或者海洋底下,如果某一点坏了,你怎么知道哪里坏了?

图7 光纤瑞利散射回波信号图
从图7可以看到,利用瑞利散射的特性,我们可以得到散射回来光信号的分布图,损耗是随着距离增大逐渐增加的,如果在某一处有跳变,说明这个地方损耗比较严重,应该是节点之类的。如果在某个节点彻底断了,没有回波信号,那么根据距离=速度*时间的原理,通过测得这个点回来信号的时间,就能大致计算出这个断点的位置。
另外,光纤所在的外部环境:压力或者温度都会对光纤的衰减产生一定的影响,所以就可以利用这一特性来检测外部环境条件。以分布式布里渊散射传感为例,众所周知,当在强光作用下光纤会产生非弹性散射,包括布里渊散射,而布里渊散射会受到压力和温度的影响。所以,我们根据布里渊频移的量,就能得到一个方程,关于压力和温度的二元一次方程。如果要解出这二个变量,我们还需要再来一个不相关的函数,否则谁知道压力和温度这二个量变化的贡献大小。恰好,瑞利散射强度也会随着压力和温度的变化而变化,而布里渊散射的强度刚好是瑞利散射强度的常数(理论证明是一个定值)倍,这样联立这2个方程组,我们就能解出压力和温度这2个未知数。
