作者:bin 来源:IVD分享库
电化学传感器利用电化学仪器作为信号转换器,将被测组分的浓度变化与电信号连接起来,从而在被测系统中实时提供被测化学组分的信息。
电化学传感器因其成本低、结构简单、易于小型化、选择性高、灵敏度高、稳定性好等优点,受到越来越多研究者的关注。
近年来,电化学传感器在食品安全、环境检测、医学诊断、生命科学研究等领域有着非常广阔的发展前景。
体外诊断(IVD)可以通过检测一些与人类健康直接相关的关键成分的变化来准确量化和确认个体疾病的存在。
电化学传感器凭借其固有优势,在IVD领域中具有巨大的应用潜力,有望成为一项重要的检测技术。
一
用于IVD的常用电化学传感器方法

1、伏安法(Voltammetry)
伏安法是电化学传感中最常用的方法,其中测量电流是电极电位的函数。主要包含三种方法:循环伏安法(Cyclic voltammetry,CV)、微分脉冲伏安法(Differential pulse voltammetry,DPV) 和方波伏安法(Square‐wave voltammetry,SWV),其中循环伏安法和微分脉冲伏安法应用较为广泛。
循环伏安法是测量系统在一定电位下的电流,进而获得伏安特性曲线,可用于电极反应的性质、机理和电极过程动力学参数的研究。由于受影响因素较多,该法一般用于定性分析,很少用于定量分析;微分脉冲伏安法是伏安方法中灵敏度最高的方法之一,因其具有低背景电流、高检测灵敏度和低检测限的优点,有利于痕量物质的测定。

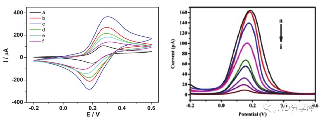
图1 左图为循环伏安曲线;右图为微分脉冲伏安曲线
2、电化学阻抗谱(Electrochemical Impedance Spectroscopy, EIS)
给电化学系统施加一个频率不同的小振幅的交流电势波,测量交流电势与电流信号的比值(此比值即为系统的阻抗)随正弦波频率ω的变化,或者是阻抗的相位角Φ随ω的变化。
电化学阻抗谱不仅可以确定电极是否成功制备,还可以根据浓度和阻抗之间的关系定量待测分析物。因此,与其他常规电化学方法相比,电化学阻抗谱可以获得更多关于电极过程动力学和电极界面结构的信息。

图2 奈奎斯特图
3、计时电流法(Chronoamperometry)
向电化学体系的工作电极施加单电位阶跃或双电位阶跃后,测量电流响应与时间的函数关系。计时电流法一般使用固定面积的电极。适用于研究耦合化学反应的电极过程,特别是有机电化学的反应机理。

图3 计时安培图
4、电化学发光(Electrochemiluminescence, ECL)
通过电化学方法来产生一些特殊的物质,然后这些电生的物质之间或电生物质与其他物质之间进一步反应而产生的一种发光现象。
它是化学发光方法与电化学方法相互结合的产物,保留了化学发光方法所具有的灵敏度高、线性范围宽、观察方便和仪器简单等优点,同时具有许多化学发光方法无法比拟的优点,如重现性好、试剂稳定、控制容易和一些试剂可以重复使用等优点,从而引起人们的注意。
目前,电化学发光已广泛应用于免疫分析、核酸杂交分析和其他生化物质的测定,不仅大大推动了生物化学和分子生物学的研究,而且带来了临床诊断的又一次技术革命。
二
电化学传感器在IVD中的应用
1、生物化合物的检测
使用电化学传感器可以检测葡萄糖(Glucose)、尿酸(Uric acid)、胆固醇(Cholesterol)、多巴胺(Dopamine)等生物化合物。

图4 葡萄糖和尿酸的电化学检测

图5 胆固醇和多巴胺的电化学检测
2、肿瘤标志物的检测
电化学传感器在肿瘤标志物的检测中发挥了重要作用。与光学生物传感技术不同,电化学传感器不受样品浊度、猝灭、吸附干扰和其他荧光化合物的影响,只需要相对简单的低功耗设备,易于小型化。
根据待测肿瘤标志物的不同,电化学生物传感器可分为甲胎蛋白(AFP)电化学传感器、前列腺特异性抗原(PSA)电化学传感器、癌胚抗原(CEA)电化学传感器、癌抗原125(CA125)电化学传感器、miRNA电化学传感器和循环肿瘤细胞(CTC)电化学传感器等。

图6 左图为甲胎蛋白(AFP)电化学传感器;右图为前列腺特异性抗原(PSA)电化学传感器

图7 左图为癌胚抗原(CEA)电化学传感器;右图为癌抗原125(CA125)电化学传感器

图8 左图为miRNA电化学传感器;右图为循环肿瘤细胞(CTC)电化学传感器
三
总结与展望
1、电化学传感器的性能与纳米材料的组成及结构密切相关。探索新的纳米材料,优化纳米材料的组成及结构是IVD领域的重要研究方向。如果在此方面取得突破,就可以开发出更高灵敏度的IVD电化学传感器。
2、在复杂的生物系统中同时检测多个目标分析物显得尤为重要。结合多种性能优异的新型纳米材料,应用有效的信号放大策略(例如:纳米材料放大技术、酶催化放大技术、靶循环放大技术及DNA自组装放大技术等),对实现复杂样品的特异、灵敏检测具有重要意义。
此外,进一步寻找具有高特异性和高亲和力的新分子识别元件,开发和设计新的传感模式,将电化学分析与其他技术相结合,建立集成的电化学生物传感器,可以提高电化学传感器在复杂样品中的性能。
3、电化学传感器要想在IVD领域取得长足的发展,必须满足稳定性、灵敏度和选择性的要求。希望未来能够制备出更高效、低成本的电化学传感器。
