作者: Tumour
关键词:ADC;血液瘤;FDA
抗体-药物偶联物(Antibody-drugconjugates, ADC)是将具有高效细胞毒活性的药物通过化学、生物学等方法偶联到单克隆抗体上,利用抗体与抗原的特异性亲和作用,将连接的药物靶向输送至肿瘤细胞部位,以增强抗体治疗活性、提高细胞毒药物*伤杀**肿瘤细胞的靶向性,并降低其对正常组织毒副作用的一种新型主动靶向药物。

Figure 1 Structure of an antibody–drug conjugate (ADC)
目前,美国食品和药物管理局(FDA)针对血液瘤共计批准三款ADCs进入市场,分别是2011年获批的Brentuximab vedotin(BV)、2013年获批的Ado-trastuzumab emtansin (T-DM1)和2017年获批的Inotuzumab ozogamicin。此外,还有多个针对血液瘤的ADCs药物正在进行临床实验。
第一个进入市场的ADC疗法针对的是血液恶性肿瘤。血液恶性肿瘤目标抗原通常具有良好的特征,谱系特异性细胞表面分子在其分布中受到高度限制,血液恶性肿瘤也被认为比实体瘤更容易被抗体接近。接下来,将进一步讨论四种ADC药物的设计与临床结果,这些化合物要么已经批准进入市场,要么正在进行临床III试验。
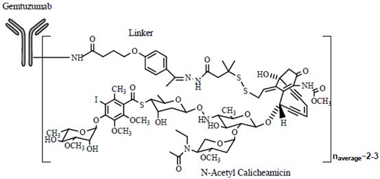
Gemtuzumab Ozogamicin
Gemtuzumab Ozogamicin(GO; Mylotarg®)是一种重组的、人性化的抗CD33单克隆抗体(IgG4 κ抗体hP 67.6),通过一个双*能官**团的linker(4-(4乙酰苯氧)-丁酸)与细胞毒性的抗肿瘤抗生素卡切霉素(N-乙酰-卡利奇霉素)结合在一起(图2)。该药物已被研究用于治疗急性髓系白血病(AML),一种骨髓癌。在这个ADC中,抗体结合表达CD33抗原(在白血病细胞表面常见的唾液酸依赖的糖蛋白)肿瘤细胞并被内化,从而将附着的卡利切霉素传递给CD33表达肿瘤细胞。

Figure 2 GemtuzumabOzogamicin
卡利切霉素是一种有效的抗肿瘤抗生素,最初是通过筛选试验中破坏DNA的能力来确定的。抗肿瘤机理是通过对DNA中微小沟的结合,形成对苯二自由基产生位点特异性双链的破坏。双链DNA破坏抑制了DNA的合成,导致了白血病细胞的死亡。
hP67.6抗体是由抗CD33的鼠抗体hP67.6通过CDR区域移植人源化产生的。由此产生的hP 67.6抗体是一种基因工程的人类IgG4 kappa抗体,它包含了来自抗原结合区域的鼠抗体的序列,为了将人类的抗鼠抗体反应降到最低。之所以选择这种IgG4等型,是因为它具有所有同型抗体最长半衰期,而且最不可能参与免疫介导机制,如补充依赖的的细胞毒性作用(CDC)和抗体依赖的细胞毒性作用(ADCC)。
在双*能官**团4-(4乙酰苯氧)-丁酸中,通过酰胺键,可以将有效载荷附着在抗体表面暴露的赖氨酸上,这就形成了一种与N-乙酰-卡里奇霉素二甲基酰肼相连的酰基腙链。平均而言,可以实现一个抗体分子装载2至3个药物(药物对抗体比率或DAR)。在ADC的内部化过程中,在CD33+靶细胞的溶酶体中,通过水解腙的方法,释放卡利切霉素前体。
在单臂临床II期研究的基础上,2000年作为单一药物获得加速批准(第1天和第15天的剂量为9 mg/m2)用于≥60岁患有急性髓细胞性白血病(AML)患者首次复原后治疗。完全缓解率(CR)为26%,其中包括一部分患者具有不完全的血小板恢复(CRi)。副作用包括延迟的造血恢复和肝静脉闭塞性疾病的风险增加,特别是在造血干细胞移植患者中。在确定性III期试验未成功后,该ADC从美国和欧洲市场撤出(虽然它仍在日本销售),该试验添加了<60岁患者单次剂量6 mg/m2标准缓解诱导治疗。然而,其他几项随机研究的Meta分析显示,对于不同的缓解诱导方案,在单次3 mg/m2剂量或分次剂量(第1天,第4天和第7天的3 mg/m2)中,在具有良好的和中等细胞遗传学特征的AML患者中提高了总体生存率(OS)。剂量分级似乎降低了肝静脉闭塞性疾病的发生率。在此分析的基础上,GO于2017年初向FDA重新提交上市申请。2017年9月1日,FDA重新批准了Gemtuzumab Ozogamicin。批准包括较低的推荐剂量,与化疗或自身的不同的计划表,以及新的患者群体。
Brentuximab Vedotin
第二个获得市场批准的ADC(2011年)是Brentuximab vedotin(BV; Adcetris®),是由单耳他汀E(MMAE)与抗CD30人鼠嵌合抗体Brentuximab偶联而形成的(图3)。是一种用于治疗复发或难治性霍奇金淋巴瘤(HL)和全身渐变性大细胞淋巴瘤(ALCL)的抗体药物共轭药物。霍奇金淋巴瘤(HL)的R-S细胞以及渐变性大细胞淋巴瘤(ALCL)恶性细胞,高水平表达CD30。

Figure 3: Skeletal formula of brentuximab vedotin. Three tofive units of MMAE are attached to the monoclonal antibody (MAB) brentuximab via the spacer para-aminobenzylcarbamate (marked green), a cathepsin-cleavable linker (Cit=citrulline, Val=valine, marked blue), and an attachment group consisting of caproic acid and maleimide (marked brown).
肽链型linker以一种稳定的方式将抗体与细胞毒性化合物结合在一起,这样在生理条件下,药物不易从抗体中释放出来,以防止对健康细胞的毒性,并确保剂量的有效性。抗体药物键能促进靶肿瘤细胞内快速有效的药物释放。抗体的cAC10部分与肿瘤细胞表面的CD30结合在一起,提供了负责抗肿瘤活性的MMAE。然后,BV被内吞,因此有选择性地接受靶细胞。含有该药物的囊泡与溶酶体和溶酶体半胱氨酸蛋白酶融合在一起,尤其是组织蛋白酶B,使linker裂解,而MMAE不再与抗体结合,直接释放到肿瘤环境中(图4)。

Figure 4: BV mechanism of Action
BV(1.8 mg/kg,每三周一次)在复发的HL或全身ALCL患者的临床II期试验中,总体反应率(ORRs)分别为75%(34% CR)和86%(57% CR),获得了FDA的加速批准。主要的剂量限制毒性(DLT)是嗜中性神经症,而反复用药的主要毒性是神经病变。2015年,BV获得了FDA的全面批准,该试验是基于临床III期的试验结果。在自体干细胞移植后,在患有高残留病风险的HL患者中,每三周给予BV一次,给予安慰剂和最佳支持性护理。对于接受BV的患者,PFS的中位数是43个月,而给予安慰剂和最佳维持疗法的患者则是24个月(p=0.001)。最近报告的随机临床III期试验(ALCANZA)提供了令人信服的证据,支持BV治疗皮肤T细胞淋巴瘤,其无进展存活(PFS)为16.7个月,而研究者选择单剂化疗(p<0.001)为3.5个月。其他几项临床III期试验正在进行中,联合批准的化疗药物(NCT01712490,NCT01777152),以及免疫检查点*制剂抑**(NCT02684292,NCT03138499),以确认BV在随机研究中的临床效益。
2011年8月,FDA批准BV用于治疗复发的HL和ALCL。在2018年3月,FDA批准扩大使用范围,联合化疗用于第三阶段和第四阶段HL的一线治疗。2012年10月,EMA对复发或难治的HL和ALCL进行了有条件的市场营销授权。2017年11月,FDA批准BV用于治疗皮肤T细胞淋巴瘤(CTCL)。
Inotuzumab Ozogamicin
第二种使用卡利切霉素有效载荷的ADC是inotuzumabozogin(InO),它包含了针对B细胞抗原CD22的人源化的单克隆抗体inotuzumab,和细胞毒性物质卡利切霉素链接(图5)。在复发性或难治性急性淋巴细胞白血病(ALL)中,InO已经完成了第三阶段试验(INO-VATE ALL)。在总剂量为1.8 mg/m2的InO治疗(第1天的0.8 mg/m2,在第8天和第15天的时间为0.5 mg/m2)中产生的CR率,包括CRi,为80.7%,而化疗的比率为29.4%(p<0.001)。和GO(gemtuzumab ozogin)一样,在治疗的患者中,最令人担忧的非血液毒性是肝脏的不良事件,尤其是肝静脉闭塞性疾病。这一发现表明,这种风险不是由抗体介导的,而是与卡利切霉素有效载荷有关,这一结果也获得了临床前研究支持的推论支持。

Figure 5: Structure of inotuzumab ozogamicin.
2017年,EMA和FDA批准Inotuzumab Ozogamicin用于对患有复发或难治性CD22-阳性B细胞前体急性淋巴细胞白血病(ALL)的成年人进行治疗。
Vadastuximab Talirine (SGN-CD33A)
Vadastuximab Talirine (SGN-CD33A)是一种针对CD33(SIGLEC-3)的ADC药物。SGN-CD33A由西雅图基因公司开发,目前正在进行临床试验,用于治疗急性髓系白血病(AML)。急性骨髓性白血病仍然是治疗血液肿瘤的主要挑战。根据美国癌症协会的数据,2012年美国出现了13780例新病例和10200例死亡病例。
CD33是一种表达在骨髓系细胞表面的跨膜受体。CD33抗体(Vadastuximab)偶联在一种有效的DNA结合剂PBD二聚体(SGD-1882)上,通过一个可分裂的(缬氨酸二肽作为组织蛋白酶B的裂解位点)的马来酰亚丙基型linker,链接到一种带有工程化的半胱氨酸单克隆抗体(EC-mAb)(图6)。这种在药物linker的位点上使用工程化的半胱氨酸残留物会使每个抗体负载大约两个PBD二聚体。PBD二聚体比全系统化疗药物更有效,而特定于位点的结合技术(EC-mAb)允许将杀死肿瘤细胞的PBD药物均匀地装载到抗CD33抗体中。

Figure 6: Chemical structure of "talirine" (drawnin black), attached to a cysteine in the antibody's (vadastuximab's) peptidebackbone (drawn in blue).
临床I期研究表明,推荐的单药剂量为每三周服用一次40 μg/kg,并确定了一种延迟恢复的骨髓*制剂抑**量。扩大试验表明,与移植相关的肝静脉阻塞疾病也是Vadastuximab Talirine的一个主要副作用。在临床I期研究中,接受了40 μg/kg剂量(N=21)治疗的患者表现出了令人鼓舞的抗白血病活性(33%CR,包括CRi)。临床I期研究包括在先前未经治疗的患者中(N=53)评估SGN-CD33A(每四周10 μg/kg)低剂量下联合低甲基化药物治疗。不良事件主要与骨髓抑制有关。非血液毒性包括外周性水肿(40%),这是以前在PBD SJG-136中提到的不良事件。CR+CRi(73%)比单纯的低甲基化试剂(17%-28%)更有利,从而导致了III期试验的开始。不幸的是,试验(CASCADE)最近停止了,原因是和单臂注射甲基化药剂相比,SGN-CD33A联合低甲基化药剂增加了致命感染发生的概率。
参考文献:John M. Lambertand Anna Berkenblit. Rev. Med. 2018. 69:191–207.