IMpassion130公布之前,化疗一直是晚期或转移性三阴性乳腺癌的标准一线治疗。该研究对三阴性乳腺癌来说,具有里程碑式的意义,使三阴性乳腺癌进入了免疫治疗的新时代。该研究第一次中期分析时,研究达到无进展生存期(PFS)研究终点。2019年3月,FDA加速批准了阿特珠单抗+白蛋白紫杉醇用于PD-L1≥1%局部晚期或转移性三阴性乳腺癌的一线治疗。第一次中期分析发现,阿特珠单抗+白蛋白紫杉醇未能改善ITT人群总生存期(OS),两组的中位OS分别为21.3个月和17.6个月(HR=0.84,P=0.08)。2019年ASCO大会上,IMpassion130公布第二次中期分析结果。近日,研究结果发表于《柳叶刀 肿瘤学》,公布了PD-L1阳性人群患者的OS数据。
研究背景
三阴性乳腺癌占乳腺癌病例的15% ~ 20%,被定义为细胞表面激素受体雌激素受体、孕激素受体阴性,以及HER2阴性的乳腺癌。IMpassion130研究公布之前,化疗一直是晚期或转移性三阴性乳腺癌的标准一线治疗。在一些国家例如日本和欧洲,其他批准的治疗方案还有贝伐珠单抗联合化疗和PARP*制剂抑**(如奥拉帕尼和talazoparib)用于BRCA突变HER2-肿瘤患者。
该研究第一次中期分析时,ITT人群的中位随访时间为12.9个月,研究达到PFS研究终点,阿特珠单抗+白蛋白紫杉醇在ITT人群和PD-L1人群中均显示出了临床获益。ITT人群中,阿特珠单抗组和安慰剂组的中位PFS分别为7.2和5.5个月(HR=0.62,P<0.002)。PD-L1阳性人群中,阿特珠单抗组和安慰剂组的中位PFS分别为7.5和5.0个月(HR=0.62,P<0.0001)。基于此,2019年3月,FDA加速批准了阿特珠单抗+白蛋白紫杉醇用于PD-L1≥1%局部晚期或转移性三阴性乳腺癌的一线治疗。
IMpassion130研究旨在评估阿特珠单抗+白蛋白紫杉醇对比安慰剂+白蛋白紫杉醇用于不可切除局部晚期或转移性三阴性乳腺癌患者的疗效。
研究方法
这是一项安慰剂对照、双盲III期临床研究,共有41个国家246个学术中心参与,纳入18岁以上、初治、经组织学确认的局部晚期或转移性三阴性乳腺癌患者,ECOG评分0~1。患者随机分配(1:1)接受阿特珠单抗(840mg)或安慰剂(第1、15天,28天1个周期)+白蛋白紫杉醇(100mg/m2,第1、8、15),分层因素包括之前是否使用紫杉烷、肝转移和肿瘤浸润免疫细胞的PD-L1表达,直到疾病进展或产生不可接受的毒性。主要共同终点为PFS和OS。
研究结果
2015年6月23日至2017年5月24日期间,共纳入902例患者,初次分析时截止时间为2018年4月17日,本次结果分析截止日期为2019年1月2日。阿特珠单抗组和安慰组的中位随访时间分别为18.5个月和17.5个月,最终意向人群中两组分别有453例和427例患者可进行评估。两治疗组患者的基线特征均衡可比。在ITT人群中,41%的患者为PD-L1免疫细胞阳性,阿特珠单抗组和安慰剂组分别有185例和184例患者。
数据截止时,两治疗组分别有255(57%)和279(62%)例患者死亡,意向人群中,两组的中位OS分别为21个月和18.7个月(图1A)(HR=0.86,P=0.078)。

图1 ITT人群和PD-L1阳性人群OS分析
探索性分析显示,在PD-L1阳性患者中,两组的中位OS分别为25个月和18个月(图1B)(HR=0.71),2年总生存率分别为50.7%和36.9%,PD-L1阴性患者中,两组的中位OS分别为19.7个月和19.6个月。亚组分析见图2。

图2 亚组分析
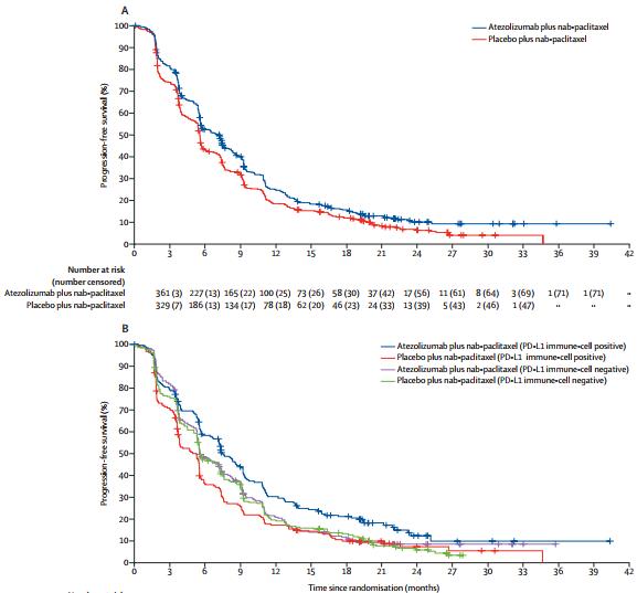
最终PFS分析已完成(2018年4月17日)。本次事后分析结果显示,两组中分别有379(84%)和404(90%)例患者疾病进展或死亡,ITT人群中,中位PFS分别为7.2个月和5.5个月(HR=0.80,P=0.0021)(图3A)。在PD-L1阳性人群中,中位PFS分别为7.5个月和5.3个月(HR=0.63,P<0.0001)(图3B)。1年PFS率分别为30.3%和17.3%,两年PFS率分别为12.4%和7.4%。在PD-L1阴性亚组中,中位PFS分别为5.6个月和5.6个月。

图3 ITT人群和PD-L1阳性人群PFS分析
研究结论
IMpassion130是在不可切除、晚期或转移性三阴性乳腺癌中评估PD-L1*制剂抑**疗效的首个III期研究。与第一次中期分析一致,IMpassion130研究第二次中期分析显示,在ITT人群中,治疗组之间的OS无显著差异。但在PD-L1阳性患者中,阿特珠单抗+白蛋白紫杉醇显示出具有临床意义的OS获益。研究支持该联合治疗是PD-L1阳性转移性三阴性乳腺癌患者的重要方案。
参考文献:
Schmid P, Rugo HS, Adams S, et al. Atezolizumab plus nab-paclitaxel as first-line treatment for unresectable, locally advanced or metastatic triple-negative breast cancer (IMpassion130): updated efficacy results from a randomised, double-blind, placebo-controlled, phase 3 trial. Lancet Oncol. 2020;21(1):44–59. doi:10.1016/S1470-2045(19)30689-8
