4月9日,泉州市晋兴拍卖有限公司发布拍卖公告,将于2019年4月27日(星期六)上午9:30在晋江市万佳东方酒店十二楼万佳厅(晋江市梅岭路173号)拍卖位于晋江市的705套安置余房。具体包括:
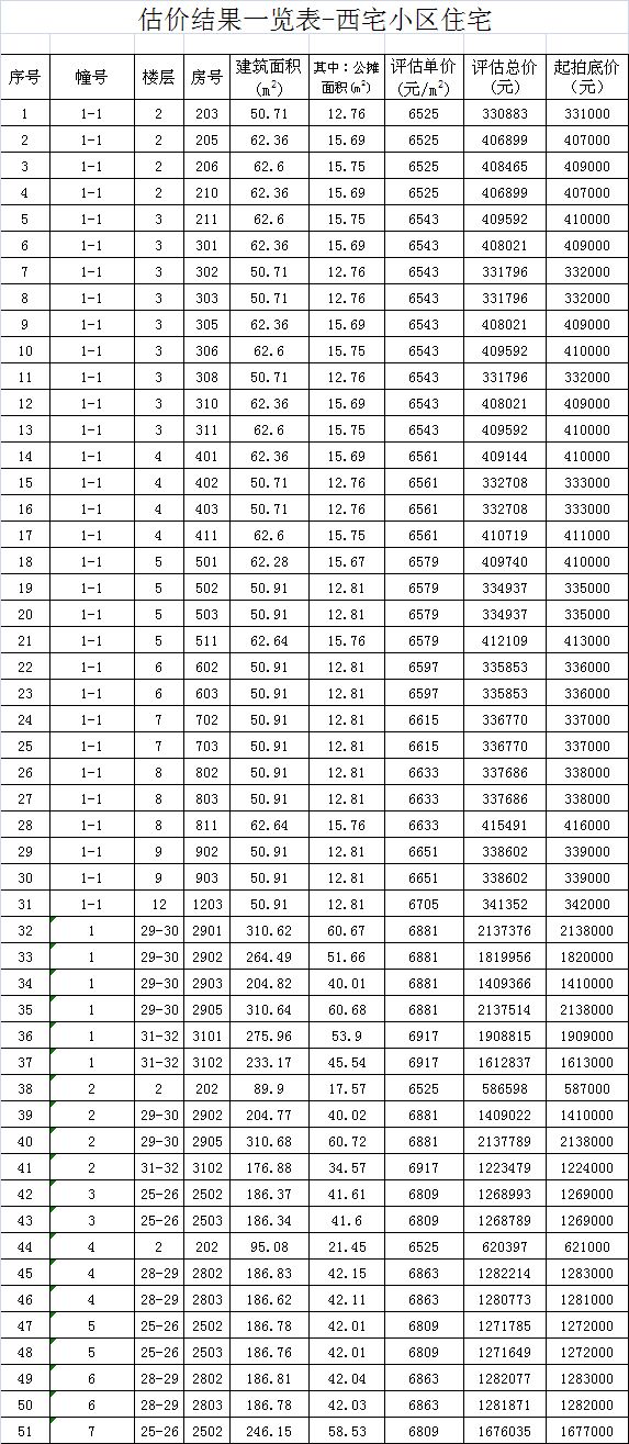
西宅小区51套;

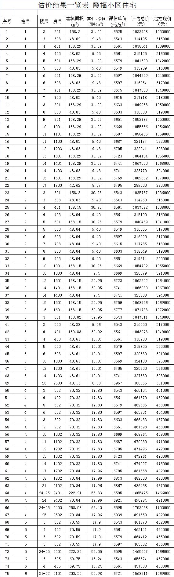
霞福小区104套;


瀘江小区7套;

福锦花园城93套;

华林新豪园10套;

小沿塘安置区2套;

钻石海岸8套;

湖景花园33套;

阳辉华庭1套;

紫林华苑7套;

绿洲花苑42套;

梅龙小区36套;

桂馥苑29套;

桂华苑3套;

锦绣苑8套;

梅桂园18套;

御景花园17套;

雁山小区8套;

澄塘嘉龙城49套;

桂林小区(贵苑小区)50套;

鸿雁小区67套;

钱塘雅苑62套;

安置店面:澄塘嘉龙城45间、鸿雁小区3间。


看样时间、地点:4月10日至4月26日上午9:30-12:00,下午3:00至5:00,标的物所在地自行看样。
报名地址:晋江市和平中路华泰大厦7楼D、E。
本次拍卖,买受人必须于2019年6月27日前付清成交价款。
本次拍卖房源中,西宅小区51套、霞福小区104套、瀘江小区7套、福锦花园城93套、华林新豪园10套、小沿塘安置区2套、钻石海岸8套、湖景花园33套、阳辉华庭1套、紫林华苑7套、绿洲花苑42套均属于晋江市新佳园资产管理有限公司名下房产,系二手房源。
桂林小区(贵苑小区)54套,属于晋江市陈埭镇投资开发有限公司名下,系一手房源。
梅龙小区36套、桂馥苑29套、桂华苑3套、锦绣苑8套、梅桂园18套、御景花园17套、雁山小区8套、澄塘嘉龙城49套、鸿雁小区67套、钱塘雅苑62套及安置店面,属于晋江市房屋建设开发有限公司,系一手房源。
买受人可于拍卖成交之日起大约6个月后,按晋江市购房政策开始办理房产过户手续。(具体可以办理过户时间以委托方通知为准)。

点评:
晋江的安置房项目往往都位于很好的地段,在位置上不逊色甚至优于许多在售商品房。这些房源是政府委托拍卖的安置余房,并非法拍房。此前晋江市也已经多次组织过安置余房拍卖,可见晋江之所以房价稳定,涨幅相对较小,也是因为晋江市建设了大量的安置房,足够保障市民居住,房比人多,自然房价不容易上涨。
上述房源拍卖起价大多在四五六千,远低于周围同地段商品房售价,也低于二手房挂牌价,且此次推出拍卖的房源数量很多,对于购房人而言是一个可以考虑的选项。
举例而言,位于东石镇的钻石海岸,起拍价只有5000多,然而该小区的二手房报价在八九千甚至一万,显然通过政府组织拍卖的方式更有机会买到价廉物美的房子,对于购房人来说的确是一个可以考虑的选项。关键是,按照晋江市的政策,买安置余房是可以*款贷**的!