
π
是世界设计者留下的签名
明天就是3月14号了,每年的3月14日,π爱好者们都会举行各种*会集**,一起讨论有关π的话题,举办各类活动以庆祝“π日”。
所以超模君今天提前跟大家聊一聊圆周率π的故事吧。

现在的我们都知道圆的周长与直径之比是π≈3.14,知道它是一个无理数,也是一个超越数。
其实,人们对π的理解经历了一个漫长的过程。

从π的出现到确定它是无理数,人类花了3000年的时间。。。
公元前1650年,埃及人用(16/9)²≈3.16来近似π的值。
公元前300多年,阿基米德用22/7≈3.14来近似π值。
此后,经过500多年的时间,人们才将π值从3.14推进到3.1416(三国时期中国数学家刘徽)。
又过了200多年,祖冲之用355/113来近似的估计π,将π的精度计算到小数点后7位。
值得一提的是,在这个时期,东方和西方的数学家都不约而同地使用圆的内切或外切多边形来逼近π的值(不断增加多边形的边数来越来越接近圆)。

而祖冲之得出的355/113,要算到24576边形!(天知道他是怎么做到的。。)
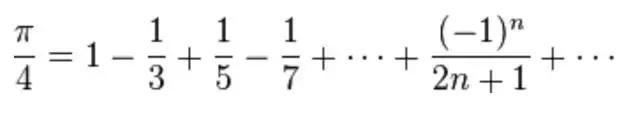
再后来,人们发现π可以通过一些数列的极限来表示,比如莱布尼茨公式:

用这一类的方法,后人又算出了更精确的π值。比如德国的鲁道夫算出小数点后第35位。
接着,到了分析法时期,人们开始利用无穷级数或无穷连乘积求π。
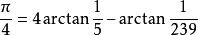
第一个快速算法由英国数学家梅钦提出,1706年梅钦计算π值突破100位小数大关,他利用了如下公式:

其中arctan x可由泰勒级数算出。类似方法称为“梅钦类公式”。
再后来,计算机诞生了,有了“机器”帮忙计算,π小数点后精确的位数呈指数级增长。
当然,为得到越来越精确的π,计算机性能也要不断地提升。一段时间内,算π成为了超级计算机计算能力的体现。
约翰·伦奇最先用电子计算机打破记录,而打破记录最多次的,是日本人金田康正的日立系列电脑,从80年代起就占据了绝对统治地位。(截止到2002年,π已经精确到小数点后1241177300000位)
除了提高计算机的计算能力,人们也一直在寻找更好的算法,争取在最短的时间内算出更多的位数。
印度数学家斯里尼瓦瑟·拉马努金给出了一些可以极大降低运算量的算法,成为众多计算机算法的基础;著名测试程序Super Pi采用的是高斯-勒让德算法;后来还有结合了傅里叶变换的算法。
有趣的是,π除了可以被算出来,竟然还可以被“投”出来?!!!

原来在1733 年,法国博物学家布丰提出了一个问题:在地板上画一系列间距为 2 厘米的平行线,然后把一根长度为 1 厘米的针扔在地板上。那么,这根针与地板上的线条相交的概率是多少呢?

4年后,布丰终于解决了这个问题,这个概率值= 1/π。
然后,在1901年,意大利数学家拉扎里尼还真用这个方法,抛了3000多根针,算出了π的近似值355/113。。。
后来,投针法衍伸为可以用计算机模拟的“蒙特卡洛法”,相当于把几何题变成了概率题。

有了牛逼电脑外加牛逼算法,算多少都不是问题!
日本人"houkouonchi"在2014年创造记录的电脑,采用至强(Xeon)2.6GHz双核CPU、192G内存(商用级别,算不上超级计算机),用了200多天,算出了13兆位!

然而,这已经没什么实际的测量意义了,因为即使我们使用小数点后40位的π来计算整个可视宇宙的周长,误差也不会超过一个原子。
那么,人们为什么还要费那么大力来测算π的精确值呢?
因为,数学界有一个巨大的猜想:π,极有可能是一个合取数。
小天:什么东西?合取数?难道又是一个*b大**oss!(小天最近被各种数绕晕了。。。)
超模君:不要怕,继续听我讲。。。你看过美剧《疑犯追踪》吗?
小天:看过看过!
超模君:那你还记得剧中哈罗德·芬奇说过这样一段话吗?

圆周长与直径之比,无穷无尽,永不重复。在这串数字中,包含每种可能的组合。你的生日、储物柜密码、社保号码,都在其中某处。如果把这些数字转换为字母,就能得到所有的单词,无数种组合。你婴儿时发出的第一个音节,你心上人的名字,你一辈子从始至终的故事,我们做过或说过的每件事,宇宙中所有无限的可能,都在这个简单的圆中。用这些信息做什么,它有什么用,取决于你们。
小天:额~这个有点忘了。。。
超模君:这种包含全部数字组合可能的数,就叫做合取数。
还有,著名科普作家卡尔萨根的作品《接触》里面,就描述到主人公被外星人指引,得到一个新的算法,把π值计算到非常靠后的位置时,得到了规律性的字符串。
在进行11进制的转换后,主人公得到了可以由0和1组成的阵列,阵列中0和1清晰地拼出一个完美的圆。
外星人告诉它,这就是宇宙超级文明,或是上帝留给所有宇宙文明的“大消息”。

无论你来自哪个星系,是什么样的生物,π这个数值已经被一个设计者根植在这个宇宙的基本量中。
π,是世界设计者留下的签名。

不过,到目前为止,人们还没有确切地证明π是合取数。
或许,把π算到多少位,π是否是合取数……这些并不重要。
重要的是,小小的一个π,引领着人们不断探索,甚至可以说,它反映着人类工具、思想和智慧的进化。