编者按: 作为自身免疫性肝病的主要疾病类型,原发性胆汁性胆管炎(PBC)和原发性硬化性胆管炎(PSC)是导致成人胆汁淤积性肝纤维化的主要病因。但由于部分患者对熊去氧胆酸(UDCA)治疗无应答,胆汁淤积性肝病的治疗靶点及相关药物一直是近年来研究的热点。近年来,随着技术发展,人们对相关分子机制的认识逐步加深,以法尼醇X受体(FXR)和过氧化物酶体增殖物激活受体(PPAR)为代表的治疗新靶点研究结果显著。
近日,在第二届中国肝病创新论坛上, 首都医科大学附属北京友谊医院肝病中心段维佳副教授 就PBC与PSC的新药研发进展进行了精彩汇报。《国际肝病》特将报告内容整理如下,以飨读者。

PBC/PSC属于免疫介导的胆汁淤积性肝病
PBC是一种主要累及肝内小叶间胆管的慢性胆汁淤积性肝病,在我国发病率及患病率均呈逐渐上升的趋势。UDCA是首选治疗药物。尽管UDCA 可以改善患者的长期预后和生存率,但仍有约40%患者经标准化治疗后生化应答不佳,疾病呈慢性进展。
PSC是以肝内外胆管进行性炎症、纤维化和节段性狭窄为特征的慢性胆汁淤积性肝病,疾病进展可出现反复发作的胆道梗阻和胆管炎症,最终可进展为肝硬化和肝衰竭[1]。PSC目前尚无有效治疗药物,肝移植是唯一有效的治疗方法。

图1. PBC/PSC的病理机制 (引自讲者幻灯)
进展期PBC和PSC可逐渐发展至肝硬化、肝衰竭甚至死亡。对于终末期PBC和PSC,肝移植是唯一有效的治疗手段。欧洲的大样本量研究显示,PBC/PSC是肝硬化及肝移植的重要病因(图2)。因此, PBC和PSC的治疗上仍有未满足的临床需求,需要探索更有效的治疗药物。

图2. PBC/PSC是肝硬化及肝移植的重要病因 (引自讲者幻灯)
PBC/PSC新药研发靶点
由于现有可用药物的局限性,部分PBC/PSC患者对UDCA等常用药物的疗效欠佳或无效,越来越多的研究者开始寻求新的治疗药物,目前PBC和PSC的新药研发主要集中在四个方向:针对胆汁淤积的药物、作用于抗纤维化靶点的药物(可能有效)、针对免疫发病机制的药物(结果不尽如人意)以及缓解瘙痒、乏力等症状的药物。(图3)。其中,针对胆汁淤积的药物,尤其是FXR激动剂和PPAR激动剂显示出巨大的临床应用前景。

图3. PBC/PSC的新药研发靶点 (引自讲者幻灯)
法尼醇X受体(FXR)
FXR是一种参与胆汁酸稳态调节的核激素受体[2]。FXR可以可抑制胆酸合成限速酶基因CYP7A1的表达,抑制BA合成;其次,可以抑制肝细胞NTCP/OATP表达,抑制BA重吸收;另外,可以促进肝细胞BSEP表达,从而促进BA排泄。从而影响和调节胆汁酸的代谢。此外,FXR信号还可影响炎症、代谢调节和肝纤维化等。因此,FXR可以作为治疗胆汁淤积性疾病的理想治疗靶点。

图4. 选择性FXR激动剂作用机制 (引自讲者幻灯)

表1. FXR激动剂在PBC/PSC中的应用(引自讲者幻灯)
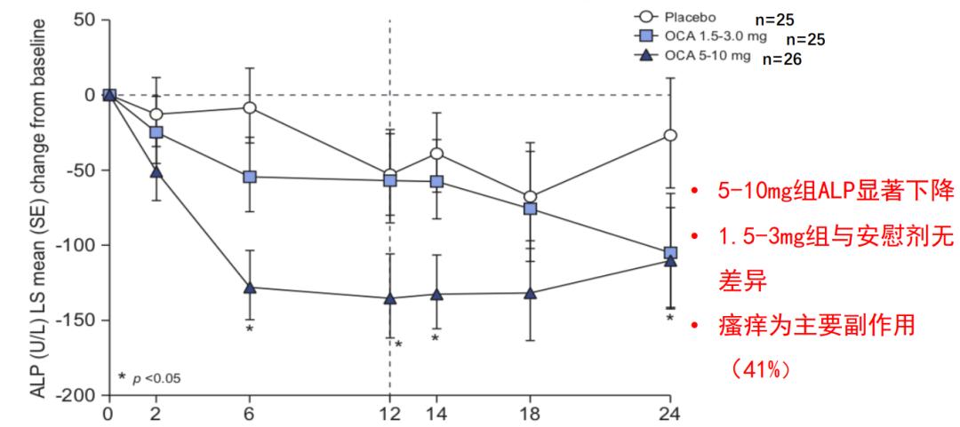
目前,奥贝胆酸(OCA)是甾体FXR激动剂的典型代表,已完成PBC患者中的III期研究并上市。另外,OCA也有应用于PSC患者的研究(图5)。一项为期24周的安慰剂对照随机试验数据显示[3],OCA可以改善PSC患者ALP但对TBIL无改变;在24周时,服用OCA 5~10 mg/d组患者ALP水平显著下降,1.5~3 mg/d组与安慰剂组无明显差别;与PBC相关研究相似的是,瘙痒仍是最主要的副反应(发生率41%)。

图5. OCA用于PSC患者的II期临床研究 (引自讲者幻灯)
除了甾体FXR激动剂,非甾体FXR激动剂领域也有可喜进展。Cilofexor和Tropifexor两款新药分别在PSC和PBC患者中开展II期临床试验。现有数据显示,Tropifexor可改善PBC患者的GGT和ALP,但ALP下降幅度低,存在瘙痒副作用[4];Cilofexor可以改善非肝硬化大胆管PSC的肝脏生化指标,Cilofexor 100 mg治疗12周可显著改善患者ALP、GGT、ALT、AST水平,且与安慰剂相比瘙痒等副作用无统计学差异,目前正在开展为期96周的III期临床研究[5-6]。

图6. Tropifexor用于PBC患者的II期临床研究 (引自讲者幻灯)

图7. Cilofexor用于PSC患者的II期临床研究 (引自讲者幻灯)
过氧化物酶体增殖物激活受体(PPAR)
PPAR是调节胆汁酸稳态的另一个关键因素。PPAR与FXR都属于核激素受体。PPAR的三种亚型,PPARα、PPARβ/δ和PPARγ。PPARα主要在肝细胞上表达,而PPARβ/δ和PPARγ则更为普遍存在。具有调节胆汁酸代谢、抗炎、抗纤维化、调节血脂代谢等多种作用。


图8. PPAR激动剂的作用机制及分型 (引自讲者幻灯)
Seladelpar是一种选择性PPARδ激动剂。研究结果显示,Seladelpar联合UDCA治疗可降低PBC患者ALP,10 mg治疗剂量组降低幅度最大(44%)[8],该治疗组患者瘙痒改善比例达93%,PBC-40睡眠障碍改善比例为78%,且安全性良好[9]。III期临床试验结果也提示[10],Seladelpar治疗3个月可改善生化指标,其中ALP下降>15%(图11)。

图9. Seladelpar 用于PBC患者的II期临床研究 (引自讲者幻灯)

图10. Seladelpar联合UDCA改善瘙痒 (引自讲者幻灯)

图11. Seladelpar治疗3个月达到复合终点的患者比例(Phase 3) (引自讲者幻灯)
此外,另一种新型PPARα/γ激动剂Saroglitazar也在新药研发行列中。一项II期随机对照临床研究数据显示[11],在16周时Saroglitazar联合UDCA治疗组与安慰剂组在ALP的平均百分率变化方面有明显差异,接受Saroglitazar 4 mg和2 mg治疗组ALP水平较基线分别下降49%和51%(安慰剂组3%),但不良事件发生率较高(达80%),需要引起重视。

图12. Saroglitazar联合UDCA治疗效果(Phase 2 RCT) (引自讲者幻灯)
小 结
近年来,针对PBC/PSC作用靶点的多个新药处于Ⅱ期和Ⅲ期临床研究当中。 FXR激动剂和PPAR激动剂 作为多种代谢及炎症调节的整合因子,靶向这些途径的新药显示出巨大的潜力。但目前这些新药的长期疗效、耐受性和安全性仍需进一步评估。
参考文献:
1. Modified from Kremer et al., Drugs 2008; 68: 2163.
2. Gut. 2022;71(1):194-209.
3. J Hepatol. 2020 ;73:94-101.
4. JHEP Rep. 2022;4:100544.
5. Hepatology. 2019 ;70:788-801.
6. BMC Gastroenterol.2023;23:75.
7. J Transl Autoimmun. 2023; 6: 100188.
8. Bowlus CL, et al. J Hepatol. 2022;S0168-8278(22)00187-8.
9. Kremer AE, et al. Liver Int. 2022;42:112-123.
10. Gastroenterol Hepatol . 2021;17:5-6.
11. Vuppalanchi R, et al. J Hepatol. 2022;76:75-85.