
当使用我们SD300系列伺服电机运行出现电机声音大时,可以根据以下步骤进行判断:

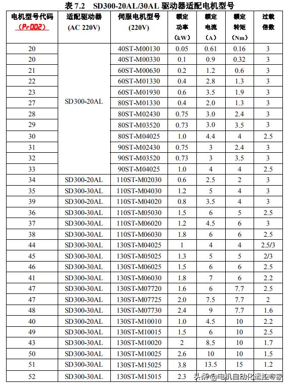
1、检查电机代码Pr002是否匹配;若电机代码不匹配则会出现声音大、抖动的情况;(见下表)

2、电机代码正确时,调小Pr087参数;该参数影响电机声音;
3、若以上操作无误,而电机仍有声音或抖动或异响,则可能与电机刚性有关,可以按下以下经验进行调节:

1)滚珠/梯形丝杆传动:加大Pr005、Pr009;

2)同步带传动:加大Pr019参数到300,如果还不行再加大Pr006,如果仍有异响,再加大Pr005,只至电机运行稳定无异响;

3)齿轮齿条传动减小Pr009,加大Pr006,主要加大Pr006, 如果还不行再加大P005,只至电机运行稳定无异响。

按以上设置好刚性,点击EE-SET ,长按E三秒,出现DONE保存成功,重新上电。

这就OK了,是不是很简单呢!要是大家还有该款伺服或者步进系列电机有别的问题,随时评论区互动。