
引言
在科学技术迅猛发展的今天,人们直接暴露在无线电射频电磁场中,如无线通信设备,家用电器,信号塔等发出的电磁场,影响人们的身体健康 [1-3]。
2011 年,世界卫生组织根据国际癌症研究机构的研究,将低频电磁波列入 2B 类致癌物 [4-6] 。
因此,研发高效性能的电磁防护材料无论是在民用还是军事上都蕴含重大价值与意义。

一、 吸波材料简介
吸波材料是指可以吸收电磁波的材料,当电磁波发射到材料表面时,通过电磁损耗而转换成热能等其他形式能量,从而达到吸收电磁波的效果 [8-9]。
最初人们对于吸波材料的研究是在军事领域,用于隐身技术,如隐身战斗机等。现在越来越重视生活中对电磁辐射的防护 [10-11]。
理想的吸波材料应该具有吸收频段宽、厚度薄、质量轻、吸波效果强、耐高温和具有较高的化学稳定性等优点[12-14] 。

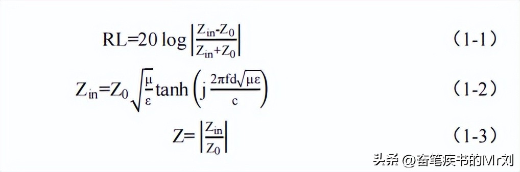
反射损耗
反射损耗(Reflection Loss,RL)反映吸波材料对电磁波吸收的强度。目前对材料吸波性能的评价方法主要是根据传输线理论,通过以下公式来表示 [15]:

上式中 Zin表示吸波材料的输入阻抗,Z0表示吸波材料的自由空间阻抗,其单位都是 Ω;f是指入射电磁波的频率,其单位通常用 Hz表示;d是吸波材料的涂层厚度,其单位是 mm;j 是虚数的单位;c 为光速。
由以上公式可以看出,想要提高材料的阻抗匹配,最理想的情况是电磁波完全进入材料内部而不发生反射,即 RL 趋近于负无穷大(Z=1),此时材料的阻抗匹配是相当好的。
当 RL=1 时(Z=0),表明电磁波不能进入材料的内部被各种损耗机制消耗掉,而是全部被反射。
当 Z 趋近于无穷大时,表明电磁波发生全透射现象。因此 Zin和 Z0的数值越接近时,RL 值越低,吸波材料的损耗性能也就越好。
当 RL 值达到-10 dB 时就表明 90%的电磁波被吸波材料损耗了,当RL 值达到-20 dB 时,表示 99%的电磁波被吸波材料损耗了。

介电常数
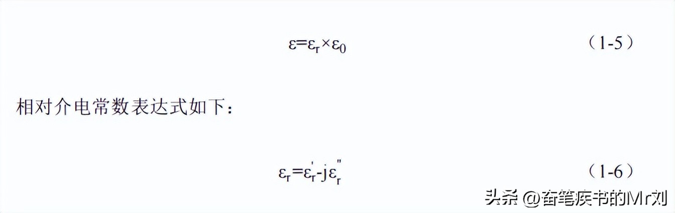
介电常数(Dielectric Constant,ε)又叫电容率,是一种电介质极化强度的物理量,它是代表物质绝缘能力的一种系数。
电介质在外加电场 E0的作用下会发生极化进而产生感应电场现象,而产生出来的感应电场的方向与原电场的方向相反,起到减弱原电场的作用,导致最终电介质中的电场强度下降为 E1,而原外加电场E0与最终电介质中的电场强度E1的比值称之为相对介电常数(εr),介电常数是相对介电常数与真空中绝对介电常数(ε0)的乘积 [16-17] 。表示如下:

ε'和 ε"分别为 ε 的实部和虚部,ε'表征吸波材料在交变电场中对电场传播和储存能力;ε"可看成在交变电场中电偶极矩发生重排所引起损耗的一种量度。介电损耗角正切一般用 tanδ 来表示,表示如下:

材料的 tanδ 越大,其吸波性能越好。因此增大 ε"或者降低 ε',可以增强吸波材料的损耗能力 [18] 。
表面电阻
表面电阻(Surface Resistance,R)是表征电介质或绝缘材料电性能的重要指标。表面电阻越小,载流子引起的宏观电流越大,根据焦耳定律:

电流的平方和产生的热量成正比,因此材料中的电流越大,则产生的热量越高,电磁能消耗的也越多 [19] 。

二、石墨烯简介
近年来,石墨烯因其重量轻、介电常数高等特点成为碳材料研究的热点。石墨烯是一种二维材料,由 6 个有序排列的碳原子和 sp2 杂化轨道构成六方蜂窝[20-22]。
碳原子由 σ 键连接,sp2 杂化结构是由 S、Pz和 Px(三个杂化轨道)的强共价键形成。
因此,石墨烯的本征强度是钢的 100 倍(高达 130 GPa),具有优良的机械性能和较强的稳定性 [23]。
在碳原子形成的杂化轨道中,一些 Pz杂化轨道中的 π 电子可以形成垂直于平面的大 π 键 [24]。

在晶面上,π 电子可以自由移动,因此石墨烯具有优良的导电性 [25-27]。此外,石墨烯还具有密度低、比表面积大、导热性能优异等性能 [28-29]。
因此,石墨烯在传感器、航空航天、电子通信、生物医学、新能源电池、储氢材料等领域具有巨大的应用潜力 [30-31]。

三、石墨烯电磁防护材料研究现状
石墨烯结构中缺乏亲水性基团,所以难溶于水。氧化石墨烯具有大量的亲水性基团 [32-33],如边缘的羧基、酚羟基和两侧的环氧基团,具有优良的亲水性。然而过多含氧*能官**团破坏了平面内 sp2 杂化轨道,导致氧化石墨烯的导电性远低于石墨烯。
通过还原反应可以得到还原氧化石墨烯,保留了少量的氧化基团,同时显著增加了 sp2 杂化轨道,提高电子导通能力 [34-35]。在交变电磁场的作用下,不相关的导电载流子会定向运动,形成传导电流,传导电流会以热能的形式消耗电磁能量,从而实现电磁波的衰减。

载流子越多,形成的传导电流越大,越有利于电磁能量转化为热能而消散。同时还原氧化石墨烯保留大量悬挂键,在电磁场中,这些化学键产生极化现象,表面可产生界面极化,增强电磁波的衰减。
因此,石墨烯及其衍生物的研究是电磁防护领域的一个热点。还原氧化石墨烯的方法主要有化学还原法、热还原法和催化还原法等。化学还原法是化学还原剂直接还原氧化石墨烯。
热还原法是将氧化石墨烯在惰性气氛下放入加热炉中,短时间内加热到 1000 °C以上,通过氧化石墨烯表面上的*能官**团分解释放出 CO2和 H2O 将层撑开,同时达到还原和剥离成单层石墨烯的目的。
催化还原法是在光照或高温下,将催化剂混合到氧化石墨烯中,诱导氧化石墨烯还原。
相比其他操作复杂、成本高或产率低的制备方法,化学还原法可以大量、高效地制备出高质量的石墨烯,且过程相对简单,是目前大规模制备石墨烯材料的有效的途径 [36-37]。


四、常见电磁防护材料
碳化硅
碳化硅(Silicon Carbide,SiC)是常见的一种无机物,具有 70 余种晶型,其中六方体 α-碳化硅是常见的一种晶体 [38],具有化学性能稳定、导热系数高、热膨胀系数小、耐磨性能好,硬度高等优点,被广泛应用于国防科技和民用工业领域 [39-40]。
碳化硅具有良好的吸波性能、宽频带、可调电性能和低密度等优点,在*用军**隐身、雷达吸波材料中具有潜在的应用前景 [41-43]。
碳纤维
碳纤维(Carbon Fibre,C)具有良好的电、热传导性,且其密度较低 [44-46] 。在碳纤维内部,能形成良好的导电网络,同时具有较低的填充比,在电磁波入射后能够在其内部被损耗,同时会在内部形成传导电流,对电磁波具有反射作用,因此具备良好的电磁波吸收性能 [47-49] 。

石墨
石墨(Graphite,C)是碳的结晶体,是一种非金属,硬度较低,具有良好的导电性。早些年,石墨就已经被用来制备电磁波屏蔽材料 [50-51] ,用于军事领域如雷达,隐身等。
以石墨为原料制备的复合吸波材料的介电常数较大,且由于其密度较小,近年来石墨也用于制备具有厚度薄,质量轻等优点的吸波材料[52] 。
铜
铜(Cuprum,Cu)是人类开发利用较早的金属材料之一,具有优良的导电性,且价格低廉,化学稳定性较好,易于加工 [53-54] 。
在电磁领域,不仅可以用于制备电磁波吸收材料,还可用于制备具有吸波层和导电层相结合的吸波材料[55] 。

钡铁氧体
钡铁氧体(Barrium Ferrite,BaFe12O19)作为一种重要的铁氧体,具有六角晶型结构 [56-57] 。钡铁氧体具有电阻率高和化学稳定性好的优点,同时具有较大的磁饱和强度,因此具有较好的电磁波吸收效果 [58-59] 。但是其密度比较大,制备出的吸波材料往往厚度较大。
聚乙烯土工布
土工布是具备高强度,耐热性好、抗老化性的物理特性和抗腐蚀,耐酸碱的化学特性的土工织物 [60-61]。在工程中,土工布不仅是一种新材料,更是一种应用新技术,占据十分重要的地位,目前正在向复合型、功能型方向发展 [62]。
聚乙烯土工布是常用的土工布种类之一,具有耐抗埋、耐腐蚀、可反滤隔离、抗拉强度大,适应性好的优点。
聚乙烯土工布作为一种高性能的合成材料,广泛应用于各类防渗、防水工程中:(1)在人工湖、引水渠、水利堤坝工程中作为防渗材料;(2)在工业建筑中作为污水调节池或尾矿坝的底部防渗材料;(3)在房屋建筑中作为屋面防水、防潮材料 [63]。


五、结论
涂层按照状态可分为高固体份涂层、粉末涂层、水性涂层等。高固体份涂层指固体份在 65%~85%的涂层。因其排放污染,不符合 VOC 排放标准,所以应用受限。
粉末涂层指用喷粉设备(静电喷塑机)把粉末涂料喷涂到表面,在静电作用下,粉末会均匀的吸附于表面,形成粉状的涂层。
粉末涂层需要高温条件下制备,耗能较多。水性涂层是指用水作溶剂或者作分散介质的涂层。水性涂层中以水代替有机溶剂更加绿色环保 [64]。

聚氨酯(PU)是常见的水性涂层,全称聚氨基甲酸酯,是指主链中含有氨基甲酸酯结构单元的高分子聚合物,由异氰酸酯和多元醇构成。
如图1-1为聚氨酯合成过程。聚氨酯化学性质稳定,具有成膜性,可作为各种基材的粘合剂 [65]。
水性聚氨酯选用水作为分散介质,整个结构体系中有机溶剂较少存在,契合了当前环境保护对涂料领域所提出的节能减排要求 [66]。
参考文献
[1] XIONG J, XIANG Z, ZHAO J, et al. Layered NiCo alloynanoparticles/nanoporous carbon composites derived from bimetallic MOFS withenhanced electromagnetic wave absorption performance[J]. Carbon, 2019, 154:391-401.
[2] LIU Y J, ZHAO X M, XIAO T. The Research of EM wave absorbing properties of ferrite/silicon carbide/graphite three-layer composite coating knitted fabrics[J]. The Journal of The Textile Institute, 2016, 107(4): 483-492.
[3] GAN W, CHEN C, GIROUX M, et al. Conductive wood for high-performance structural electromagnetic interference shielding[J]. Chemistry of Materials, 2020,32(12): 5280-5289.
[4] Liu Y J, Liu Y C, Zhao X. The research of EM wave absorbing properties of ferrite/silicon carbide double coated polyester woven fabric[J]. The Journal of The Textile Institute, 2018, 109(1): 106-112.
[5] XIE S, YANG Y, HOU G, et al. Development of layer structured wave absorbing mineral wool boards for indoor electromagnetic radiation protection[J]. Journal of Building Engineering, 2016, 5: 79-85.