来源:国际呼吸杂志2020年第09期
作者:王俊 张伟
上海长海医院呼吸与危重症医学科 200433
通信作者:张伟 Email:zhangweismmu@126.com
摘要
急性呼吸窘迫综合征(ARDS)是由肺内原因和/或肺外原因引起的,以顽固性低氧血症为显著特征的临床综合征,因病死率极高备受关注。ARDS患者病理生理特征表现为肺的顺应性降低、肺内通气血流比严重失衡等。机械通气是ARDS患者生命支持的重要手段。本文回顾了近年关于ARDS肺保护通气策略的文献,阐述了其临床应用和新进展。

ARDS患者在接受机械通气时由于其肺部病理生理学特点导致呼吸机相关性肺损伤(ventilation-induced lung injury,VILI)的风险极大增加,包括肺萎陷伤、容积伤、气压伤、剪切力损伤等,也是造成ARDS高死亡率的一大因素,因此肺保护通气策略被提出。传统的肺保护通气策略包括小潮气量、高呼气末正压(positive end expiratory pressure,PEEP)、俯卧位通气、高频振荡通气及体外膜肺氧合等。但随着研究深入,肺保护通气策略的内容不断被更新及拓展,近年来提出的右心保护、呼吸力学监测以及机械能的概念,更是对ARDS患者肺的保护通气提出了更高的要求。

1 ARDS患者的病理生理学改变和传统机械通气相关的肺损伤
ARDS患者肺的病理生理表现为肺毛细血管通透性增加、微小肺动脉栓塞和肺水肿,导致通气血流比值严重失调,进而出现顽固性低氧血症;同时肺顺应性下降,在接受正压通气时因肺泡不均一通气导致跨肺压增高而出现气压伤,在实变肺区出现肺泡缺氧、肺泡反复开闭而发生肺萎陷伤,过度通气肺区出现肺泡过度膨胀而发生容积伤,在不张和过度膨胀区的肺组织则可能由于高应力和应变出现剪切伤。这些改变都增加了ARDS患者发生VILI的风险。所以,ARDS患者的机械通气策略和普通呼吸衰竭患者不同,需要在保证氧合的同时,尽量减少VILI的发生。VILI是机械通气常见的并发症,在动物模型实验中实施大潮气量通气时发现肺组织出现广泛渗出、肺水肿、弥漫性肺泡损伤、细胞损伤坏死[1],表明VILI的发生机制可能与非感染性炎症因子导致的急性肺损伤(acute lung injury,ALI)有关。在后续的研究中发现除大潮气量外,PEEP水平、肺循环状态、体位、药物(β受体激动剂等)等其他因素也可导致VILI。2004年一项回顾性研究还发现,在对ALI/ARDS患者行机械通气初期,设置初始参数时往往忽略了患者性别因素,导致女性患者接受的通气潮气量过高而出现VILI,说明性别也是VILI发生的一个独立危险因素[2]。
此外,PEEP作为机械通气的重要参数,主要作用在于能打开并维持塌陷的肺泡,减少肺泡反复开闭造成的肺损伤并使通气更加均一;另外,PEEP还能改善肺间质水肿和肺泡水肿,从而增加氧合。PEEP的负面效应一方面表现在设置水平过低时对打开ARDS可复张区域肺组织不起作用,过高时有增加VILI的风险;另一方面PEEP的存在可能在心肺交互作用中起到负面作用。正压通气是逆生理呼吸的过程,在吸气时,胸内正压的增加使中心静脉压增加,静脉回流减少,而减少回心血量;同时正压通气时肺循环阻力增加使右心室后负荷增加,有发生右心衰竭的潜在风险。近年来,对机械通气患者的右心保护研究有所增加,成为肺保护通气策略的新内容。
综上,为了减少VILI的发生,平衡通气、氧合与损伤风险,肺保护通气策略应该成为ARDS患者机械通气时的优先选择。
肺保护通气策略是1998年Dreyfuss和Saumon[3]提出,主张在对ALI/ARDS患者进行机械通气时,为了减少患者的肺组织造成进一步的损伤而设置潮气量为6~8 ml/kg理想体质量(predicted body weight,PBW),并且限制平台压<30 cmH2O(1 cmH2O=0.098 kPa),允许患者存在一定的高碳酸血症和酸中毒(pH>7.25)。随后ARDSnet的多中心大样本随机对照试验结果显示,小潮气量组的死亡率及28 d脱机时间均优于传统对照组[4]。这样的小潮气量低压力的通气策略也随之得到肯定,这也是如今ARDS机械通气肺保护通气策略的主要内容。肺保护通气策略的发展从设置小潮气量和限制平台压开始,到使用高水平PEEP和肺复张手法打开塌陷肺组织改善氧合、俯卧位通气改善氧合、关注心肺交互作用,再到如今对驱动压、跨肺压以及机械能的研究,随着临床研究的进行和资料的累积,一直在更新和发展。
3 肺保护通气策略新进展
3.1 潮气量的设置
早期动物实验显示大潮气量高压力的机械通气会损伤肺组织。Dreyfuss和Saumon[3]提出了对ARDS患者进行机械通气时,限制气道压力和允许性高碳酸血症或许能减少肺损伤的发生,防止ALI/ARDS患者已经出现的肺损伤进一步加重。2013年的一项大数据统计显示,6~8 ml/kg PBW的小潮气量设置在机械通气患者中已经从30%(1998年)增长至43%(2010年),中位潮气量为6.9 ml/kg PBW[5];2016年数据显示65% ARDS患者的潮气量设置在8 ml/kg PBW以下的水平[6]。
ARDSnet对861例ALI/ARDS患者进行了一项多中心随机对照研究,对照组潮气量为12 ml/kg PBW,限制平台压<50 cmH2O,试验组使用小潮气量通气方法,设置潮气量为6 ml/kg PBW,同时限制平台压<30 cmH2O[4]。研究显示,试验组患者的死亡率和28 d脱机时间均优于对照组(死亡率:31.0%比39.8%,P=0.007;28 d脱机时间:12 d比10 d,P=0.007)。结果认为传统10~15 ml/kg PBW的潮气量设置会导致ALI/ARDS患者过度通气而致肺损伤进一步加重[4]。
使用小潮气量通气的优点在于能够减少ARDS肺的气压伤、剪切力伤等,但同时低水平的呼吸支持参数也会导致呼吸性酸中毒、低氧血症和肺不张等问题。因此,在使用小潮气量通气前应该评估患者的内环境状态,维持pH>7.25。若患者出现呼吸性酸中毒,可以通过增加呼吸频率、提高PEEP水平和增加吸气时间等方法来提高二氧化碳清除[7]。
小潮气量通气发展至今,对于潮气量应该设置在哪种水平仍有争议,有人提出应该对患者进行个体化的设置。常根据PBW计算:男性PBW=50+0.91×[身高(cm)-152.4];女性PBW=45.5+0.91×[身高(cm)-152.4][7]。Terragni等[8]通过测定进行小潮气量低压力策略通气的ARDS患者的胸部CT,认为6 ml/kg PBW的潮气量和平台压<30 cmH2O的呼吸支持对于肺部非充气部分比例较大的患者来说是不足够的。2017年ATS推荐设置的潮气量为4~8 ml/kg PBW,限制平台压<30 cmH2O[9]。对于小潮气量通气的使用时机,Needham等[10]的多中心回顾性分析认为,在ARDS起病后使用较高的潮气量(8 ml/kg PBW)相较于小潮气量(6 ml/kg PBW)来说,有更高的ICU死亡风险。并且初始潮气量每增加1 ml/kg PBW,ICU的死亡风险会相应增加23%。
综上,在小潮气量通气策略下,需要根据患者不同情况以及疾病不同阶段动态地选择合适的潮气量机械通气。
3.2 PEEP的设置
对于ARDS患者,正压通气的目标肺组织是在介于实变肺区与过度膨胀肺区之间的可复张肺区,理想的PEEP水平应该刚好能复张并维持这部分塌陷的肺泡。早期ARDS患者治疗中对于PEEP的设置是根据PEEP/FiO2组合表(表1)[11]。

表1PEEP/FiO2组合表
理论上讲,压力-容积曲线上的低位拐点上方的压力水平被认为是足够打开塌陷肺泡并维持其开放的合理PEEP,但测定压力-容积曲线要求打断患者自主呼吸进行,临床使用不便。其他检测的方法有胸部CT、电阻抗断层成像测定肺容积等[11],这些方法能够直观看到在改变PEEP水平前后总的肺容积的变化,但在使用上仍不便推广。近年来,重症肺部超声为评估ARDS机械通气后肺水肿的改变提供一个新的思路,相较于压力-容积曲线、胸部CT和电阻抗断层成像检查,超声是一个更加快捷、容易、无创和可重复的方法。此外,以跨肺压、驱动压为导向个体化设置PEEP水平和评估PEEP复张肺组织的效果的研究也是近年热点。但目前对于ARDS应该设置多高的PEEP还没有定论,临床中大多依据患者具体病情设定,初始设置多在5~12 cmH2O之间,变异度较大。近期的研究提出,高PEEP的作用可能对中重度ARDS患者存活率获益更大[12],2017年ATS、ESICM、SCCM等协会推荐对中重度ARDS常规使用高PEEP[9]。
综上,在PEEP的设置中,肺部超声具有指导性的意义,并且具有操作简便、快捷、无创和可重复的优点。在中重度ARDS患者中,应该使用高PEEP来维持肺泡的开放。
3.3 压力的监测
近年来,根据机械通气时肺的力学参数调节通气参数越来越得到重视,其中最常用的指标就是驱动压和跨肺压[13,14,15]。
驱动压是平台压和PEEP的差值,也能间接反映肺顺应性(潮气量/驱动压)。有研究认为驱动压能作为一个强效的死亡率预测因子,驱动压越高,患者死亡率越高。Sahetya等[7]认为驱动压的临界值为14 cmH2O,超过此水平患者死亡率会增加。此外,测定不同PEEP时的驱动压水平可以来评估肺通气是否得到改善:在持续潮气呼吸时,PEEP增加时,如出现驱动压下降和肺顺应性随之升高,可能表明使用更高的PEEP可以复张肺组织;相反,在增加PEEP的同时,如出现驱动压升高和肺顺应性降低,则可能表明更高的PEEP会导致肺过度充气[9],进而导致VILI的发生。
但驱动压受胸腔顺应性影响较大,对于存在胸廓限制的患者来说,驱动压并不能作为一个很好机械通气判断指标,因此跨肺压的监测被提出来。跨肺压是气道压和胸腔内压的差值,气道压可在呼吸机上直接测量,因此只需要测定胸内压即可明确跨肺压。目前的研究认为食道压接近于胸内压值并易于获得[16],可用于取代胸内压监测。还有人提出低的吸气流速可以降低平台压,从而减少跨肺压,最终提高患者的生存率。跨肺压还与人机同步性相关,即患者若存在强烈的自主呼吸使人机对抗,也会增加患者呼吸做功,从而增加跨肺压[4]。
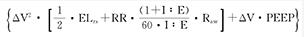
机械能是2016年由Gattinoni等[17]提出概念。机械能是将影响机械通气力学的因素,包括潮气量(ΔV)、肺组织弹性(ELrs)、呼吸频率(RR)、吸呼比(I∶E)、气道阻力(Raw)、PEEP,通过压力-容积曲线计算得出一个方程,即机械能方程[17]:
Powerrs=RR·

,并认为机械能方程可以被写入呼吸机软件内,从而能自动计算得出每个单一变量在患者发生VILI中的贡献值和变量之间的影响值。实验分析还表明:(1)潮气量/驱动压是导致VILI的一个重要因素;(2)PEEP与机械能呈线性增长关系,这或许也解释了PEEP在VILI发生中的重要影响;(3)呼吸频率与机械能呈指数增长关系,提示了呼吸频率在VILI中的作用,并可能指导临床的管理。Vasques等[18]更进一步的研究认为需要对机械能影响肺实质的途径做更详细的研究,了解其在呼吸周期中不同的影响分布。他们认为机械能对呼气和吸气的影响不是均一的,在呼气期或许对肺的损伤更大,而这有待更进一步的研究。机械能是一个新的监测机械通气的指标,目前的研究提示其可以部分预测肺损伤的发生,尚需进行更多的临床试验来明确其在机械通气监测中的地位。
3.4 肺复张
肺复张手法是指在短时间内以较高的持续气道正压(continuous positive airway pressure,CPAP)或PEEP,一般是30~45 cmH2O不等,使尽可能多原先萎陷的肺泡复张,其目的就是把具有潜在复张可能的肺泡都打开,这个过程持续40 s至2 min不等。在实施肺复张时应该考虑的问题是:如何评估肺的可复张性?复张的方法有哪些?复张效果如何?
临床上评估肺可复张性的方法有很多种,大致可分为两类:(1)基于呼吸力学的评估,如根据压力-容积曲线、呼气末肺容积等;(2)根据肺部的图像直接观测,如电阻抗断层成像、胸部CT、肺部超声等。Gattinoni等[19]的一项随机对照试验对68例ALI/ARDS患者进行了肺复张,使气道压在5~45 cmH2O之间逐次增加,每次肺复张后进行胸部CT检查,评估复张后效果,结果表明可复张肺组织的比例与对PEEP的反应有关。Chiumello等[20]对22例患者进行了肺复张并通过不同的方法进行评估,最终显示基于呼吸力学的评估方法可以显示整体肺容积改变,而CT等方法显示了被复张的肺组织的改变。复张的手法包括PEEP递增法、肺膨胀法和叹气法。复张效果的评估标准主要有:氧合指数增加、PaCO2下降、呼吸系统顺应性改善等。但是,Bhattacharjee等[21]的一项荟萃分析研究表明肺复张在成人ARDS中没有降低死亡率的获益,该文章比较了单独使用肺复张和肺复张与小潮气量保护通气结合的通气对患者死亡率的差异,结果显示单用肺复张并未减少死亡率、ICU住院率和总住院时间。可见肺复张的效果并不绝对优良,实际上肺复张在打开肺的同时,由于短时间的高气道压力可能会对患者的循环产生影响。Mercado等[22]研究了中重度ARDS患者使用肺复张时患者超声下心功能和循环状态的改变,结果显示分阶段逐渐递增的方法没有显示有心功能的损害,提示在进行肺复张时缓慢温和的方法对患者的心肺保护作用更佳。
综上,目前不适合在所有ARDS患者中使用肺复张,但在中重度ARDS患者中使用肺复张有获益。
3.5 俯卧位通气
俯卧位通气是1976年由Piehl和Brown[23]首次提出,其原理是基于ARDS肺部的病理生理改变,通过改变患者体位从而改变重力作用的肺区,调节肺组织的通气血流比值、使实变肺区得到更均一的通气从而达到避免VILI、改善氧合的目的[24]。早期的研究发现俯卧位通气对于ARDS患者的死亡率没有改善,但近年的几项大样本研究均证明俯卧位对改善中重度ARDS患者通气、氧合和死亡率有增益作用。
2018年一项前瞻性研究发现重度ARDS患者俯卧位的使用率为32.9%,并且其并发症发生率低,氧合显著增加,驱动压显著降低[25]。结果还指出不对患者使用俯卧位的原因包括了临床医师认为缺氧并不足够严重(64.3%)和血流动力学不稳定,平均动脉压<65 mmHg(1 mmHg=0.133 kPa)(5.7%);俯卧位时的并发症主要包括插管相关并发症(意外脱管等)、缺氧加重、压疮、颅内压升高等。从这项研究中可发现超过一半的概率不使用俯卧位原因是由于患者缺氧状态不足够严重。这一点在ATS/SCCM等协会的推荐意见中也得到呼应,即认为在中重度ARDS患者强烈推荐使用俯卧位通气[9]。
3.6 右心保护的通气策略
在ARDS患者中,有一半患者的血流动力学不稳定是由右心衰竭导致的肺循环障碍引起。目前认为右心室是ARDS中最薄弱的环节,其最严重的形式为急性肺源性心脏病。2013年一项调查研究显示,中重度ARDS合并急性肺源性心脏病的发病率为22.5%[26],严重的急性肺源性心脏病和肺功能障碍被认为是ARDS死亡的独立危险因素[27,28,29]。ARDS机械通气导致急性肺源性心脏病的可能机制包括:(1)ARDS保护性通气策略中允许性高碳酸血症使PaCO2过高,肺动脉收缩,从而增加右心室后负荷。目前有小样本研究显示重度ARDS患者若出现短时间的PaCO2急剧增高(>48 mmHg)可能会导致急性肺源性心脏病和血流动力学状态的改变[30]。(2)正压通气增加肺循环阻力,从而增加右心室后负荷。(3)跨肺压、驱动压在潮气呼吸中周期性地影响右心室功能。
因此,ARDS患者行机械通气时不仅应该着眼于肺的保护,对心功能的保护也应当得到重视。Repessé和Vieillard-Baron[30]提出保护右心功能旨在于缓解右心室后负荷,通气策略在于增加氧合指数在150 mmHg及以上,控制驱动压<18 cmH2O,控制PaCO2<48 mmHg,同时积极使用俯卧位达到正面效果[31,32]。
4 总结
ARDS患者在进行正压通气时容易出现VILI和右心功能衰竭,肺保护性通气策略旨在维持肺通气、改善氧合、保护心功能和减少肺损伤。目前常用的通气策略是小潮气量通气的同时限制平台压,而设置多高水平的潮气量仍未有统一定论,未来研究方向或可聚焦于此。目前认为中重度ARDS患者可使用高水平PEEP并结合肺复张和俯卧位以改善通气,但高PEEP带来的损伤风险也较大,越来越多的研究聚焦于ARDS机械通气的力学参数监测,如驱动压、跨肺压和机械能等,这似乎也为未来深入研究指出方向。在强调肺保护的同时,也不可忽略正压通气对患者心功能的影响,因此未来肺保护通气策略的内容应当拓宽到如何保护ARDS患者的心功能。必要时也可使用体外膜肺氧合来进行呼吸和心脏功能的支持[33]。改善氧合仅仅是ARDS治疗的一个方面,在临床工作中不应该将关注点局限于通过调整呼吸机参数来减轻肺损伤,还应注意与其他脏器的交互作用,应该从整体来考虑患者病情与治疗。
利益冲突所有作者均声明不存在利益冲突
参考文献 略