“三月三上彪涧,萝卜丝的焖干干”(小米干饭)。这句顺口溜在原安阳县的北岭周圆的安丰乡与洪河屯一带流传已久。每年的三月初三是“彪涧”村过庙会的日子,而地处世代贫瘠的丘陵坡涧之地,招待来赶会的亲朋好友是必不可少的一件事。在当时物质匮乏的时代,亲戚提上一斤麻烫(油条)来赶会,招待吃饭也是颇为头疼的一件大事。那时候都穷,没有好的饭菜拿得出手招待,只有用平时不舍得吃的自家地里产的旱地谷子碾出的小米焖上一锅黄灿灿、香喷喷、不稀不稠的红萝卜丝小米干饭招待来宾已是一种极大的奢侈了。这才有了这句令人垂涎期盼过彪涧会的顺口溜广为流传。

北岭,又称寿安山
现在的东、西彪涧村已经发生了翻天覆地的变化,人们都过上了富裕的生活,村里每年过会已是今非昔比。餐桌上热菜、凉盘、大烩菜荤素搭配,白酒、啤酒、葡萄酒是比比皆是。可当年亲戚们翘首以盼的可口奢侈过会餐,“红萝卜丝焖的小米干饭”依然还是现代人的奢侈,已罕见出现于过会餐桌之上。
彪涧有两个村,呼:“东、西彪涧”村。原属安阳县,现划给殷都区洪河屯乡管辖。

清.安阳县志
彪涧原不叫此名,古称“虎涧”。清乾隆《安阳县志》载:“虎涧”在县西三十里野马冈下,乃为避讳后赵石虎所改成“彪涧”。古代虎与彪通意。彪涧古有小泉,名“黄花” ,水东南流七里入洹河。
阅《县志》方知前史。知道了彪涧与虎涧的演变缘由,顺便提及一下古代避讳的那些事。古封建时代为了维护等级制度的尊严,树立君王威严,说话或写文章时遇到君主或尊亲的名字都不直接说出或写出,如果有地名、村名、山名、人名与当代君主相同的字,要用更名、同意字等措施避开名讳,这就叫做避讳。
虎涧就是在这样的封建社会背景下因后赵避石虎讳而被易名的。 说到石虎其人,有书描述:石虎是个非常奢侈的国君,《邺乘》记载:“盛兴宫室,银楹金柱,珠帘玉壁,侈心不足”。他性格暴躁、多疑,崇文尚武,平时不大过问国事,却十分关心宫室的营建,凡事也十分迷信。据《邺中记》曰:“佛图澄死后,有人于陇上见之。”石虎在紫陌桥葬澄处令开其墓,唯有一石。虎曰:石者,朕也,葬吾而去,吾其死矣。而后石虎于大宁元年四月“薨于金华殿”。他生前尤其对自己名字的避讳,不知听信谁之谗言十分避“虎”讳。国内凡有虎字的地方,都不同程度的得到了修改。
虎涧在当时是邺城西南有名的名胜景区,《魏都赋》中就有赞美“鸳鸯交谷,虎涧龙山”之佳句。因于野马冈之阳,高低错落并有涧水如虎跳跃之势而得名“虎涧”。是邺之文人必即此游玩之胜地,也是墨客笔下生花之所,可谓是佳景之地美不胜收。当时这么出名的邺都风景胜地,赵王石虎更是不会让它与己名讳有碍。

民国时期《续安阳县志》
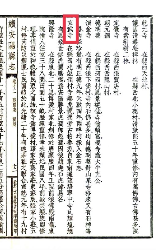
在改名“彪涧”后,有书记载,经历唐、宋、元、明、清仍名“彪涧”,仍是历代风景胜地,此名延续至今未变,实可谓是千年古村。村中的“虎跃涧水”旁边古有“玄武寺”一座,约建于明朝初,该寺规制颇高。《民国续安阳县志》有载:玄武寺在县西彪涧村,寺临虎涧,涧旁古柏参差,自东南遥望碧翠中,寺瓦辉煌绕有风致。世传虎涧腾云,为安阳胜景。虎涧腾云美景指彪涧村有五龙桥,过桥之水沟壑分成东西两彪涧村,五龙桥与虎涧间奔腾跳跃的黄花之水势如飞虹,又如虎腾咆哮呈现涧浪水雾蒸腾,在晨曦照耀下美轮美奂若入仙境,构成历代文人笔下之虎涧腾云也。

民国时期第十区地图
村里的玄武寺也是有讲究的,是古人按青龙、白虎、朱雀、玄武四象所修的四个庙宇之一。各代表中国神话中的四方之神灵,分别代表东、西、南、北四个方向,源于中国远古的星宿信仰,有“前朱雀后玄武,左青龙右白虎”之说。据说,“玄武”是一种由龟和蛇组合成的一种灵物。其玄武是代表着北方七宿和真武大帝的神兽。故该村涧旁的“玄武寺”应该敬有真武大帝神像,现该古庙已无,重修的庙寺已再无昔日之气势磅礴。东、西彪涧村延续下来的庙会应此寺庙而生,会期为每年的农历三月初三日。
彪涧村在古野马冈、北岭、寿安山之南,自古是埋葬帝王将相、*官高**贵族之风水宝地。《邺乘》中曾描述野马冈是:“岗下冢累累,皆葬王侯也”。除许多*官高**贵族选择在此建茔外,安阳明朝名臣崔铣崔文敏墓及崔氏家族坟茔就建于此。
彪涧村在宋朝时期由黄堆管统十四村管统,今黄堆村已无 ,疑似今高楼庄之南某古村。管统制度明仍沿袭之,清后未见此村记载。

县志记载的岁贡
清康熙《安阳县志》记载:彪涧属西北乡*合六**村管统八村管统。到清乾隆年间,随着人类繁衍生息人数和村庄的增多,在清乾隆三年《安阳县志》有载:彪涧村仍属西北乡管辖,由*合六**村管统二十一村管统,管统治所在*合六**。

民国县志
民国时期实施县、区、乡自治,乡镇以人口数量而设置小乡管制。当时彪涧属第十区,区辖44乡3镇。彪涧村成立彪涧乡,辖管东、西彪涧和扈家坟村,乡治所在彪涧。据民国《续安阳县志》记载:清时期东彪涧村史姓人家出过岁贡(成绩优异的秀才),姓史名书云。
解放后到1985年县、村调整稳定后,据《安阳县行政区标准地名手册》中载:东、西彪涧两村归安阳县洪河屯乡(32村)行政管辖,现新的行政划分归于殷都区政府管辖区洪河屯乡所管行政村。
村上的古迹“五龙桥”和“玄武寺”在2002年被评为县级*物文**重点保护单位。也算史出有名,众望所归!
说一千道一万。提到彪涧这地方让我依然很想顺口溜里流传盛广的那碗“萝卜丝的焖干干”。想到它就顿生食欲,想到它就垂涎欲滴、难以忘怀!
这正是:
三月三观虎涧,
五龙桥吃干饭。
一阅虎涧腾云,
二看虎涧龙山。
2021-5-14日