撰文:武汉大学 罗军(外籍)
专家审核:江苏大学附属医院 李晶 教授
最近,《柳叶刀神经病学》杂志 [1]发布了一项名为MG-001 的 1b/2a 期试验结果。在这项临床中, 14 名重症肌无力患者接受了不同剂量的新型CAR-T免疫细胞治疗。其中,三名患者显示症状完全或接近完全消除,这种情形在治疗后持续了六个月;另外两名患者不再需要接受目前针对一些严重的重症肌无力病例的长期静脉注射免疫球蛋白。这一研究表明,CAR-T免疫细胞有望成为自身免疫疾病的新选择。

在这项研究中,患者的重症肌无力-日常生活活动(MG-ADL)评分均在6分或以上,并且还具有与这种疾病相关的自身抗体,例如抗乙酰胆碱受体(AChR)和肌肉特异性酪氨酸激酶(MuSK)的抗体。
目前可用的重症肌无力治疗方法不能有效地针对产生这些自身抗体的浆细胞。成熟浆细胞在表面表达一种称为 B 细胞成熟抗原 (BCMA) 的抗原。因此, 科学家们使用了一种名为 Descartes-08 的新型 CAR T 细胞疗法来靶向 BCMA。这是一种用 mRNA 而非 DNA 修饰的 rCAR-T 细胞疗法。
这款免疫细胞药物是怎么制备的?
首先,通过白细胞分离术从患者体内获取外周血单核细胞(PBMC)。然后分选出 CD8+T 细胞,离体扩增并用 RNA 修饰以表达靶向 BCMA 的 CAR。CD8+T 细胞被用来生产 Descartes-08,因为这些细胞通过释放细胞毒性蛋白直接杀死靶细胞。在制备成功之后,CAR- T产品被冷冻并测试其CAR表达和无菌性。随后将其解冻并注入患者体内。

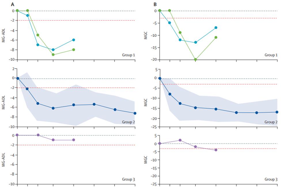
在该研究的 1b 阶段,3名 MGFA III-IV 级的重症肌无力患者接受了治疗。他们接受了三种递增剂量的CAR-T细胞,以确定最大耐受剂量。
在第 2a 阶段,11 名 MGFA II-IV 级重症肌无力患者接受了最大耐受剂量的CAR-T细胞。将患者分为三组来测试治疗的给药方案。这些组分别在每周两次、每周一次和每月一次的时间点接受治疗。其中 9 名患者接受了全部六剂 的Descartes-08,2名患者退出了研究。
在 1b 期和 2a 期试验中,患者继续接受标准治疗,如皮质类固醇和吡斯的明。
CAR-T细胞药物治疗重症肌无力显示有效性
3 名患者在随访时表现出症状减轻,这 3 名患者中有 2 名在 6 个月的随访中继续表现出症状减轻。2名患者在接受 Descartes-08 治疗后不需要静脉注射免疫球蛋白。这种治疗降低了一些患者的抗 AChR 抗体。
研究人员还在随访中评估了重症肌无力严重程度量表相对于基线的平均变化。他们使用了四种经过验证的量表:重症肌无力生活质量 15项修订(MG-QoL-15r)、定量重症肌无力 (QMG)、重症肌无力综合 (MGC) 和 MG-ADL。第 12 周时,患者 QMG、MG-QoL-15r、MG-ADL 和 MGC 相对于基线的均出现了改善。

治疗后第 12 周的平均评分变化
在接受最后一剂治疗后,患者疾病严重程度出现了持续几个月的下降。研究人员还报告称,参与重症肌无力发病机制的 B 细胞激活因子 (BAFF) 和 A 增殖诱导配体 (APRIL) 的浓度在治疗后有所降低。


疾病严重程度量表相对基线的变化
CAR-T细胞药物治疗重症肌无力显示安全性
在这些临床试验中,患者出现了一些与治疗相关的副作用,例如发烧、头痛和恶心,但没有表现出 CAR-T 细胞疗法的严重副作用,如神经毒性、血液毒性和细胞因子释放综合征。因此,研究者得到结论: Descartes-08 对患者来说是安全的,可以在门诊重复给药。
研究显示, rCAR-T 疗法比传统 CAR T 细胞疗法的毒性更低,因为它不需要淋巴细胞清除化疗。接受传统CAR-T细胞治疗的患者需要环磷酰胺和氟达拉滨等淋巴细胞清除化疗药物来增强这些CAR-T细胞在体内的增殖。淋巴细胞清除化疗后 CAR-T 细胞的增殖也会放大 CAR 信号,导致严重的副作用。在传统的 CAR-T 细胞疗法中,DNA 被整合到细胞的基因组中,并在每次细胞分裂时进行复制,这增加了严重副作用的风险。相反,mRNA 不会复制,其作用是暂时的。

Descartes-08 引起的副作用
这种疗法在靶向浆细胞时不会引起免疫抑制。Descartes-08 仅导致 IgG 浓度和疫苗抗体滴度略有下降,这表明该治疗并未显着抑制体液免疫。研究人员表示,CAR-T 细胞很容易到达大多数致病性浆细胞所在的胸腺和骨髓。因此,非致病性浆细胞不会受到这种治疗的影响。
总之,这款rCAR-T免疫细胞药物(Descartes-08) 可以减轻重症肌无力患者的症状,并且无需静脉注射免疫球蛋白。 对于接受免疫抑制治疗的患者来说是安全的,并且患者在接受这种治疗后不需要密切监测。 这项研究表明,CAR-T细胞疗法可用于自身免疫性疾病的治疗。 研究人员目前正在进行一项安慰剂对照试验,以进一步证实这种疗法的安全性和有效性。
参考文献
[1] Granit, V., Benatar, M., Kurtoglu, M., Miljković, M. D., Chahin, N., Sahagian, G., ... & Jewell, C. (2023). Safety and clinical activity of autologous RNA chimeric antigen receptor T-cell therapy in myasthenia gravis (MG-001): a prospective, multicentre, open-label, non-randomised phase 1b/2a study. The Lancet Neurology, 22(7), 578-590.
【免责声明】
本文旨在分享科普知识,进行学术交流,或传递行业前沿进展,不作为官方立场,不构成任何价值判断,不作为相关医疗指导或用药建议,无任何广告目的,非进行产品贩卖,仅供读者参考。
本账号原创文章可能包含购买的版权图片,转载请谨慎。
本账号转载的图文视频等内容若涉及版权等问题,请联系我们及时处理删除。