世界农化网中文网报道:近日,ISO临时批准了两种新型农药活性成分Fenopyramid、Tiapyrachlor。
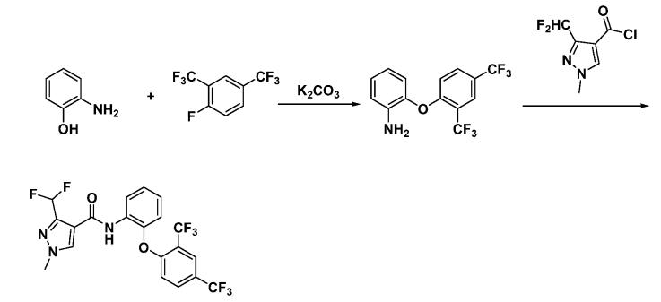
Fenopyramid(苯醚唑酰胺)是中农联合研发的吡唑酰胺类杀菌剂,开发代号为LH-371,CAS号为2344721-61-3。化学名称为N-[2-[2,4-双(三氟甲基)苯氧基]苯基]-3-(二氟甲基)-1-甲基-1H-吡唑-4-甲酰胺。该杀菌剂对大豆锈病、玉米锈病、小麦*粉白**病、黄瓜*粉白**病和水稻纹枯病具有显著防效。

合成路线如下(相关专利CN109928929A):

Tiapyrachlor是科迪华研发的与tyclopyrazoflor相关的新型杀虫剂分子,开发代号为X12019747、XR-120和XDE-120,CAS号为1255091-74-7。化学名称为N-[4-氯-2-(3-吡啶基)-5-噻唑基]-N-乙基-3-(甲基磺酰基)丙酰胺。

Tyclopyrazoflor是陶氏益农(现科迪华)开发的吡啶基吡唑类杀虫剂,可用于防治棉粉虱、棕榈象甲,于WO2013/162716中首次报道。Tyclopyrazoflor与现有的鱼尼汀类杀虫剂酰胺基部分存在较大的差异,属于结构比较新颖的杀虫剂。