引言
近些年来,传感器技术高速发展,无线传感器网络也随之兴起,给信息感知、获取和数据处理技术带来了革命性的变化。逻辑上的信息世界与客观上的物理世界的融合不再是梦想,人类与自然界的交互作用也发生了极大的改变。
无线声学传感器网络是一个集信息提供、感知、传送和处理为一体的有机整体,通常包括多个声学传感器节点。其中,每一个传感节点都是具有一定感知、计算和无线通信能力的设备。这些节点通过自组织的形式形成无线声学网络系统,协作收集数据并进行处理。相比于我们熟知的传统麦克风阵列,无线声学传感网络的麦克风节点可以放置到更加灵活的位置,这也增加了声源附近有多个麦克风存在的概率,可以收集到更高质量的信号。而且由于所有具有收发功能的记录设备(如个人手机,电脑等)都可以作为记录节点,因此无线声学传感网络的搭建相当容易,它在音频采集和处理领域有着很好的应用前景。
然而,麦克风节点自由度地增加同样也带来了传统阵列信号处理中不会出现的问题。例如阵列结构未知、各个节点增益未知以及采样频率的偏差等等。在这些问题中,对信号处理工作影响最严重的问题之一是采样频率的失配。

图1 所有设备都可以作为无线传感网络的节点
采样率失配的原因
一般声学传感器的采样都依赖于节点的计时机制,该机制由额定频率的晶体振荡器和计数寄存器决定。每出现一个振荡脉冲,计数寄存器时数值便加一,读取计数寄存器的值便可得到当前的时钟值。理想情况下,额定频率的晶体振荡器的振荡脉冲输出是周期性的,并且振荡周期不可改变。然而,由于以下原因,晶体振荡器的振荡周期可能与理想情况存在偏差。
第一、由于节点的低成本特性,一般选用石英晶体振荡器。晶振质量的不完美,导致其脉冲频率并不能做到绝对一致,使得节点计数器计数频率不同。这方面问题引起的时间误差被称为时钟偏斜,它通常在1-100ppm之间。

表1 不同晶振的性能
第二、节点的晶振频率受环境的温度、光照强度、湿度、电磁波干扰影响很大,同时节点自身供电模块的电压、电流波动对晶体振荡器的频率变化也有影响。另外,随着节点使用时间变长,器件老化等问题也会影响晶体振荡器脉冲频率的稳定。这方面原因会造成时钟偏斜的不断变化,即时钟漂移。
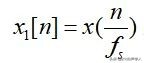
假设采样的目标信号为,其中代表连续时间上的信号。在理想采样率的情况 下,得到的采样结果为:

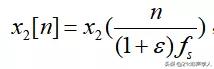
然而,当时钟出现偏差,采样率变为,采样结果也发生相应的改变:

其示意图如下。其中,上下图分别为理想采样和失配采样的情况,蓝色曲线代表信号,黑色竖线代表采样时刻,黑色箭头代表对应采样时刻。

图2 采样率失配示意图
补偿采样率失配的必要性
由于一般的阵列信号处理方法通常假设源不移动,并利用源位置产生固有的相位差来对采集到的信号进行处理,而时钟漂移会导致相位差不断变化,就像信号源在移动一样,从而阻止使用阵列信号处理来分析假设静态信号源的相位差,导致许多算法的失效。实验证明,ppm(10-6)级别的采样失配程度就可以对一些算法的性能产生巨大的影响。下图是62.5ppm采样率失配对盲源分离算法影响的示意图[1]。

图3 采样率失配对盲源分离的影响
其中,上面的曲线代表理想采样时分离出信号的信噪比。信号质量明显好于失配采样的情况。因此,在进行信号处理工作前,对采集到的信号进行时钟同步的预处理是很有必要的。
补偿采样率失配的方法
完成时钟同步可以分为两步:首先,对信号的采样率失配进行估计,随后根据估计的参数对信号进行重采样,以得到时钟对齐的信号。
其中,对信号重采样,将采样频率进行变换是一个经典的问题,本文不再介绍。下面主要介绍估计采样率失配的方法。
估计采样频率失配可以分为两类方法,有监督方法和无监督方法。有监督方法主要通过使用从卫星或无线网络接收的时间戳来估计模数转换器的时钟时间和绝对时间之间的关系。这种方法要求记录设备都具有接收时间戳的能力,限制了它的灵活性。并且时间戳的精度通常也小于阵列信号处理中所需求的精度,而且需要长时间对时间戳进行观察训练才能得到精确的估计,具有很大的局限性[2]。

图4 偏快和偏慢的时钟变化
而无监督的估计方法虽然需要对信号具有一定的先验知识,但是能够获得高精度的估计,而且只需要信号数据即可进行估计,因此在近些年来得到了更多的关注。
无监督的估计方法主要可以分为三种。第一种方法为相干漂移法,该方法利用短时傅立叶变换(short-time Fourier transform, STFT)域中的线性相位漂移模型[3],其中固定的采样率失配会导致复值相干函数的相位随时间和频率线性变化。因此,两个连续帧的相干相位差可以建模为时间不变的量,它与频率呈线性关系,频率的斜率与所求的采样率失配值直接相关。相干漂移法由Markovich等人首先提出[4],他们通过直观的相位回归找到相位倾角。Bahari等人则建议使用最小二乘法进行改进[5],然后使用复杂的加权方案来强调具有语音存在的有用的时频点,并成功地与先前提出的孤立点去除技术相结合。这种方法需要正则化技术支持,并且需要额外的离线多阶段处理,这限制了它的实用性。
第二种方法是似然函数法,它基于使用零均值复二变量高斯似然函数在特定时间频率点对两个传感器信号的STFT系数进行统计建模,随后在STFT域中使用某些特定的值对采样率失配进行补偿。在假设声源静止的情况下,如果信号之间的失配得到正确的补偿,则似然函数得到最大值。这个方法最早由Miyabe等人提出并数次改进[2]。在此基础上,Araki等人针对声源运动的情况进行了分析[6],得到了动态条件下的最大似然函数法。这种方法的问题是无法解析的求解,而且必须选定一组特定的值进行尝试,因而提高了计算量的需求。
第三种方法基于时域或者时频域上各种相关或者相干处理技术的应用。比如Gannot等推导出的递归带限插值法[7],以及Itoyana等提出的应用数值梯度下降法解决松弛秩极小化问题并获得估计的方法[8]。
时钟同步方法的评价指标
同步精度:精确度(简称精度)由应用需求决定,处于不同层次的传感器节点精度需求也有所不同。如何在同等条件下达到相对高的同步精确度也是无线传感器网络时间同步算法研究的一个重点。
可扩展性:无线传感器网络时间同步的计算量会随着网络规模的扩大而增大,而且同步误差随着网络规模的扩大而增长。如何设计多节点估计算法,使得其具有强的可扩展性,这是无线声学传感器网络时间同步需要考虑的主要问题之一。
鲁棒性:在实际情况中,时常需要面对信号能量较小的状况。因此如何在信噪比较低的情况下保持方法的有效性是评价方法的一个重要指标。
虽然目前对采样率失配这一问题涌现了大量的研究,但是现有方法在上述三个方面仍存在改进的空间。新的相干或相关处理技术的出现也可能会给采样率失配估计领域带来意想不到的发展。
参考文献[1] Z. Liu, Sound source separation with distributed microphone arrays in the presence of clock synchronization errors, Proc. IWAENC, 2008.[2] S. Miyabe, N. Ono, S. Makino, Blind compensation of inter-channel sampling frequency mismatch with maximum likelihood estimation in STFT domain, in: Proceedings of the ICASSP 2013, 2013, pp. 674–678.[3] S. Miyabe, N. One, S. Makino, Blind compensation of interchannel sampling frequency mismatch for ad hoc microphone array based on maximum likelihood estimation, in: Signal Processing, vol. 107, pp. 185-196, 2015.[4] S. Markovich-Golan, S. Gannot, and I. Cohen, Blind sampling rate offset estimation and compensation in wireless acoustic sensor networks with application to beamforming, in Proc. Int. Workshop on Acoustic Signal Enhancement, Sept. 2012, pp. 1–4.[5] M. H. Bahari, A. Bertrand, and M. Moonen, Blind sampling rate offset estimation for wireless acoustic sensor networks through weighted least-squares coherence drift estimation, IEEE Trans. on Audio, Speech, and Language Process., vol. 25, no. 3, pp. 674–686, 2017.[6] S. Araki, N. Ono, K. Kinoshita, and M. Delcroix, Estimation of sampling frequency mismatch between distributed asynchronous microphones under existence of source movements with stationary time periods detection, in Proc. IEEE Int. Conf. Acoust., Speech, Signal Process., May 2019, pp. 785–789.[7] D. Cherkassky and S. Gannot, Blind synchronization in wireless sensor networks with application to speech enhancement, in Proc. Int. Workshop on Acoustic Signal Enhancement, Sept. 2014, pp. 183–187. A. Chinaev, P. Thune, G. Enzner, Double-Cross-Correlation processing for blind Sampling-Rare and Time-Offset estimation, in: IEEE Trans. Audio, Speech, Lang. Process. 2021.[8] K. Itoyama and K. Nakadai, Synchronization of microphones based on rank minimization of warped spectrum for asynchronous distributed recording, in IEEE/RSJ Int. Conf. on Intelligent Robots and Systems, Oct. 2020, pp. 4842–4847.[9] A. Chinaev, G. Enzner, J. Schmalenstroeer, Fast and accurate audio resampling for acoustic sensor networks by polyphase-Farrow filters with FFT realization, in: Signal Process. vol. 32, pp. 577-581, 2018.[10] A. Chinaev, P. Thune, G. Enzner, Low-Rate farrow structure with discrete-lowpass and polynomial support for audio resampling, in: Proc. of European Signal Process. Conf. Sept. 2018.[11] L. Wang and S. Doclo, Correlation maximization-based sampling rate offset estimation for distributed microphone arrays, IEEE/ACM Trans. Audio, Speech, Lang. Process., vol. 24, no. 3, pp. 571–582, Mar. 2016.