填空题是高考试卷中的三大题型之一,和选择题一样, 属于客观性试题.它只要求写出结果而不需要写出解答过 程.在整个高考试卷中,填空题的难度一般为中等.不同省 份的试卷所占分值的比重有所不同。
1、填空题的类型
填空题主要考查学生的基础知识、基本技能以及分析问 题和解决问题的能力,具有小巧灵活、结构简单、概念 性强、运算量不大、不需要写出求解过程而只需要写出 结论等特点.从填写内容看,主要有两类:一类是定量 填写,一类是定性填写。
2、填空题的特征
填空题不要求写出计算或推理过程,只需要将结论直接 的“求解题”.填空题与选择题也有质的区别:
第一,填空题没有备选项,因此,解答时有不受诱误干扰的好处,但也有缺乏提示之不足;
第二,填空题的结构往往是在一个正确的命题或断言中,抽出其中的一些内容 (既可以是条件,也可以是结论),留下空位,让考生独立填上,考查方法比较灵活。从历年高考成绩看,填空题得分率一直不很高,因为填空题的结果必须是数值准确、形式规范、表达式最简,稍有毛病,便是零分。
因此,解填空题要求在“快速、准确”上 下功夫,由于填空题不需要写出具体的推理、计算过程,因此要想“快速”解答填空题,则千万不可“小题大做”,而要达到“准确”,则必须合理灵活地运用恰当的方法,在 “巧”字上下功夫。
3.解填空题的基本原则
解填空题的基本原则是“ 小题不能大做” ,基本策略是 “ 巧做”。
解填空题的常用方法有:直接法、数形结合法、 特殊化法、等价转化法、构造法等.
一、直接法
直接法就是从题设条件出发,运用定义、定理、公式、性质、法则等知识,通过变形、推理、计算等,得出正确结 论,使用此法时,要善于透过现象看本质,自觉地、有意 识地采用灵活、简捷的解法。


思路解析:本题运用直接法,直接利用等差数列的通项公式判断出数列的项的符号,进而确定前几项的和最小, 最后利用等差数列的求和公式求得最小值。
二 、特殊值法
特殊值法在考试中应用起来比较方便,它的实施过程是从 殊到一般,优点是简便易行.当暗示答案是一个“定值”时,就可以取一个特殊数值、特殊位置、特殊图形、特殊关系、特殊数列或特殊函数值来将字母具体化,把一 般形式变为特殊形式.当题目的条件是从一般性的角度给 出时,特例法尤其有效。

思维启迪:题目中给出了△ ABC 的边和角满足的一个关系式,由此关系式来确定角 C 的大小,因此可考虑一些 特殊的三角形是否满足关系式,如:等边三角形、直角 三角形等,若满足,则可求出此时角 C 的大小。

思路解析:特殊值法的理论依据是:若对所有值都成立,么对特殊值也成立,我们就可以利用填空题不需要过 只需要结果这一“弱点”,“以偏概全”来求值.在解决一些与三角形、四边形等平面图形有关的填空题时,可根据题意,选择其中的特殊图形(如正三角形、正 方形)等解决问题。

思维启迪:题目中过点K的直线是任意的,因此m和n的值 是变化的,但从题意看m+n的值是一个定值,故可取一条特殊的直线进行求解。

思路解析:本题在解答中,充分考虑了“直线虽然任意, 但m+n的值却是定值”这一信息,通过取直线的一个特 殊位置得到了问题的解,显得非常简单,在求解这类填空题 时,就要善于捕捉这样的有效信息,帮助我们解决问题.
三、图象分析法(数形结合法)
依据特殊数量关系所对应的图形位置、特征,利用图形直观性求解的填空题,称为图象分析型填空题,这类问题的几何意义一般较为明显。由于填空题不要求写出解答过 程,因而有些问题可以借助于图形,然后参照图形的形 状、位置、性质,综合图象的特征,进行直观地分析,加 上简单的运算,一般就可以得出正确的答案。
事实上许多问题都可以转化为数与形的结合,利用数形结合法解题既 浅显易懂,又能节省时间。利用数形结合的思想解决问题 能很好地考查考生对基础知识的掌握程度及灵活处理问题 的能力,此类问题为近年来高考考查的热点内容。

思路解析:本题是数列问题,但由于和方程的根有关系,故可借助数形结合的方法进行求解,因此在解题时,我们 要认真分析题目特点,充分挖掘其中的有用信息,寻求最 简捷的解法。

思路解析:与函数有关的填空题,依据题目条件,灵活地应用函数图象解答问题,往往可使抽象复杂的代数问题变 得形象直观,使问题快速获解。
四 、等价转化法
将所给的命题进行等价转化,使之成为一种容易理解的语 言或容易求解的模式.通过转化,使问题化繁为简、化陌 生为熟悉,将问题等价转化成便于解决的问题,从而得出正确的结果。

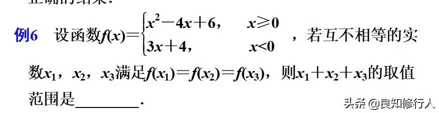
思维启迪:将问题转化为y=m与y=f(x)有三个不同的交点,再研究三个交点的横坐标之和的取值范围。

思路解析:等价转化法的关键是要明确转化的方向或者说转化的目标.本题转化的关键就是将研究 x1+ x2+ x3的取值范 围问题转化成了直线 y = m 与曲线 y = f(x)有三个交点的问 题,将数的问题转化成了形的问题,从而利用图形的性质 解决。
五、构造法
造型填空题的求解,需要利用已知条件和结论的特殊性构造出新的数学模型,从而简化推理与计算过程,使较复 杂的数学问题得到简捷的解决。它来源于对基础知识和基 本方法的积累,需要从一般的方法原理中进行提炼概括, 积极联想,横向类比,从曾经遇到过的类似问题中寻找灵感,构造出相应的函数、概率、几何等具体的数学模型,使问题快速解决。

规律方法总结
1.解填空题的一般方法是直接法,除此以外,对于带有一 般性命题的填空题可采用特例法,和图形、曲线等有关的 命题可考虑数形结合法.解题时,常常需要几种方法综合使用,才能迅速得到正确的结果。
2.解填空题不要求求解过程,从而结论是判断是否正确的 唯一标准,因此解填空题时要注意如下几个方面:
(1)要认真审题,明确要求,思维严谨、周密,计算有据、准确;
(2)要尽量利用已知的定理、性质及已有的结论;
(3)要重视对所求结果的检验。
▍ 来源:综合网络
▍ 编辑:Wulibang(ID:2820092099)
▍ 声明:如有侵权,请联系删除;若需转载,请注明出处。