
莱卡TS06全站仪
在做野外的工程施工中,维护好测量仪器,可节约成本,校正好测量仪器可以提高测量精度。通过户外测量工作者对测量仪器的操作和保养经验,在这里为大家主要讲述对莱卡TS06全站仪的保管、使用、和装运,和对电池的保护,以及对全站仪的机械校准和电子校准,这些是测量日常工作上的必备技能。
一、 莱卡TS06全站仪的维护
1、 如何保管仪器
a.采用专人负责监管制,工作回来后放回个人办公室,谁的仪器谁看管,责任到人。
b.保持干燥,避免淋雨,潮湿后要待其风干再装箱。
c.长期不用要隔段时间开机,通风。
2、 仪器的使用:
a.开工前,查看脚架螺丝,仪器提手是否可靠。
b.看清仪器在箱子里怎么放置,安装仪器时,手握提手,托住基座,将仪器取出,将仪器放在脚架上时要轻放。使用完拆卸仪器同样,手握提手,托住基座,将仪器装入箱内。
c.使用遮阳伞,杂乱环境中有人守护仪器,防止车辆、行人、动物碰倒破坏仪器。光滑地面上测量时,脚架三个角用绳子连起来,防止滑到。
d .尽量使用木支架,铝合金支架容易震动。
e.搬站时仪器要装箱,确保箱子扣上。近距离搬站可以不必装箱,但是要求仪器牢固在脚架上,并且移动中要求仪器保持直立。
f.仪器镜头被灰尘污染时,要用柔软的刷子刷除灰尘,再用专用镜布轻轻擦干净。
3、 仪器 转运
a.远途航运,要把仪器装在仪器箱内,再把仪器箱装在专供转运用的包装箱内,并在空隙处填以泡沫、海绵、刨花或其它防震物品。避免冲击和震动。
b. 无专供转运的木箱或塑料箱的仪器不应托运,应由测量员亲自携带。在整个转运过程中,要做到人不离开仪器,如乘车,应将仪器放在松软物品上面,并用手扶着,在颠簸厉害的道路上行驶时,应将仪器抱在怀里。
4、 仪器电池的日常保养
a.电池在出厂时,只有最低电量,所以在第一次使用前必须充电,使用仪器专用的充电器。
b.允许充电温度范围为0℃到40℃。
c. 电池充电过程中发热是正常现象。
d. 不要在开机状态下取出电池,此时可能会丢失存储数据。
e.不要给电池频繁的充电,放电,这样会降低电池的使用寿命。
f. 电池长期不用的情况下,应该从仪器中取出,放入塑料袋子保存。
二、 莱卡TS06全站仪的检验和校正
野外工作时,温度的变化,运输过程中的震动,和重压都可能引起仪器精准度的降低,因此要对仪器不时的进行校正和检查。
1、 莱卡全站仪电子调整包括:水平照准误差,又称为视准误差;竖直角指标差,同时电子整平;横轴倾斜误差。为了确定这些误差必须双面测量,但可以在任何一面进行。
2、 机械校准
下列仪器部件可以通过机械的方法进行校准:
仪器及基座圆水准器,激光对中器,脚架上六角固定螺丝。
3、水平照准误差(2c)
水平照准误差或者视准差指的是仪器横轴与视准线之间垂直的偏差。照准误差对水平角的影响随着垂直角的增加而增加。
4、 竖盘指标差
当视准线水平时垂直度盘应该显示90度,视准线与水平线的夹角是指标差,这个常数误差会影响所有的垂直角读数。确定竖盘指标差的同时自动校准电子气泡。
进入操作面板,进行以下操作步骤:
A 在主菜单下选择工具
B 在工具中选择校准,
选择视准差,或者指标差,改正视准差和指标差的程序和条件是相同的
C 校准步骤:
a.通过电子气泡整平仪器
b.照准距离仪器100米的目标点,目标点必须安置在水平面的5°之内,按测存,
c. 切换到第二面再次照准目标点按测存
d. 也可以按更多测量相同目标点,仪器显示计算的旧值和新值,如果差距不大可按esc 键退出,如果差距大,保存新值。
5、校准横轴倾斜轴系误差
横轴倾斜误差指的是机械横轴和垂直于竖轴的视准线之间引起的偏差,该误差影响水平角观测值。为了确定此误差所瞄准的目标点位置必须位于水平面以上以下靠近的位置。开始本程序之前必须先确定水平照准误差。
进入操作面板,进行以下操作步骤:
A 在主菜单中选择工具。
B 在工具菜单中选择校准。选择横轴倾斜误差。
C 校准步骤
a.通过电子气泡整平仪器。
b.照准目标点距离仪器100米处,该点位于水平面上或下至少有27°。
c.按测存测量目标点。
d.切换到第二面再次照准目标点。
显示计算的旧值 和新值。通过查看旧值和新值的差距来确定横轴倾斜轴系误差。按确定保存新的校准数据,仪器得到校准。
6、 校准仪器和基座的圆水准器
a. 安置和拧紧基座在脚架上。
b. 利用电子气泡整平仪器。
c. 如果仪器和基座的气泡不居中,必须调整时如下
仪器:如果气泡超出圆圈范围,使用提供的六角扳手旋转校准螺旋使其居中。
基座:如果气泡超出圆圈范围,使用校准针结合校准螺旋进行校准气泡。
d.重复步骤3直到气泡居中不再需要校准。
7、 校准激光对中器
激光对中器整合在仪器竖轴中,在正常的使用条件下,不需要校准,若由于外部影响而必须校准,需返厂修理。
检验步骤
a. 架设仪器距地面1.5米的三脚架上并整平
b.打开仪器激活激光对中,整平仪器。激光对中器的检查应在一个光亮平坦的水平面上进行。
c. 在地面上作出红色激光光斑的中心标记。
d.慢慢转动仪器360度,仔细观测红色激光点的位移。
e.激光斑点中心移动所形成的圆周的最大直径,在激光对中器高1.5米时不应该超过3mm.
8、三脚架维修
a.用六角扳手适度扭紧紧固脚架腿帽螺钉。
b.适当拧紧三脚架头的连接螺旋,使当从地面上提起脚架时,脚架腿仍能保持张开状态。
c.拧紧脚架腿上的六角固定螺丝。
9、对中杆倾斜的检查和校准

如图所示,将垂球悬挂在某一适合的高度o,放下垂球线,待垂球稳定后,在垂球正下方的地面标记清晰的点位p,使点p和o在同一条铅垂线上,在点p对中整平对中杆将垂球升起到对中杆顶部,如果对中杆倾斜则垂球顶点和对中杆顶部中心不重合,偏差量就是对中杆的倾斜偏差。调整对中杆支架使对中杆顶部中心和垂球顶部重合,这时对中杆的圆水准器将不居中,调整圆水准器使气泡居中,则对中杆倾斜误差得到校正。这种方法不需要全站仪,一个人就可以操作,方法简单直观。
10、棱镜加常数的简易测定
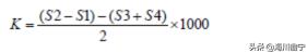
在一块较平整的开阔场地,安置全站仪和棱镜支架。全站仪I棱镜B之间30米为宜,如图:

检测方法,在一块平坦场地标定四点,四点位于一条直线,每次测量时确保A,B点棱镜和全站仪大致等高,先将全站仪安置在I棱镜安置在B,测量S2,再将棱镜安置在A点,测量S1,然后将全站仪安置在II测量S3,将棱镜安置在B点测量S4。每边测量4次,将数值填入记录表中,按下面公式计算,即可得到全站仪对棱镜的加常数K 。

公式1
由公式1计算得到K值单位是mm ,全站仪测量时仪器内部的加常数设置为0进行观测,若以设置了棱镜常数, 则K为全站仪与该棱镜的加常数修正值。
将加常数输入全站仪进行修正时,应用钢卷尺直接丈量5-10米的距离,用小钉标示点位,然后用全站仪测距,检查加常数是否设置正确。也可以采用下面公式进行检验:

公式2

全站仪棱镜常数修正值测定记录计算表
在实地测量工作过程中,多注意测量仪器在使用过程中的规范操作,测量方法的多样性,要结合工程项目的特点和地形地貌的特征,多运用高效的方法进行测设,使测量任务快速高标准的完成,使测量仪器的使用高效,并在测量工作中要不断摸索总结,积累更多的经验提高测量技术和工作效率,在这里祝广大从事测量工作的朋友们工作顺利,希望我的文章对你带来帮助。