每年约有27,000人中有1人被诊断为胃肠胰腺神经内分泌肿瘤(GEP-NETs)。苹果创始人乔布斯正式罹患这种难治性肿瘤而不幸去世的!除胰腺外,神经内分泌瘤还可能出现在消化道及肺等全身各个脏器。
1月26日,FDA批准了诺华子公司--法国Advanced Accelerator Applications 公司(先进加速器应用公司)的Lutathera(镥177)用于治疗影响胰腺或胃肠道的一类癌症,即用于治疗神经内分泌肿瘤包括胃、肠、胰神经内分泌肿瘤。值得一提的是, FDA批准的该药物有望为核医学从诊断到肿瘤治疗带来新的机遇!
初识镥-177
Lutathera是一种Lu-177标记的生长抑素类似物,属于肽受体放射性核素疗法(PRRT),通过与一种称为生长激素抑制素受体的细胞结合而起作用,该生长抑素受体可能存在于某些肿瘤上。在与受体结合之后,药物进入细胞,释放辐射来损伤肿瘤细胞。
图. Lutathera的分子结构
在美国和欧盟,Lutathera均被授予孤儿药地位。欧盟已于2017年10月批准用于治疗不可切除或转移的生长抑素受体阳性胃肠胰腺神经内分泌肿瘤成人患者。这也是放射*药性**物首次被FDA批准用于治疗GEP-NETs!

图. Lutathera杀死NET肿瘤的作用机制
临床数据解析
此次获批,是基于NETTER-1 III期研究:中肠神经内分泌肿瘤患者的疗效观察。
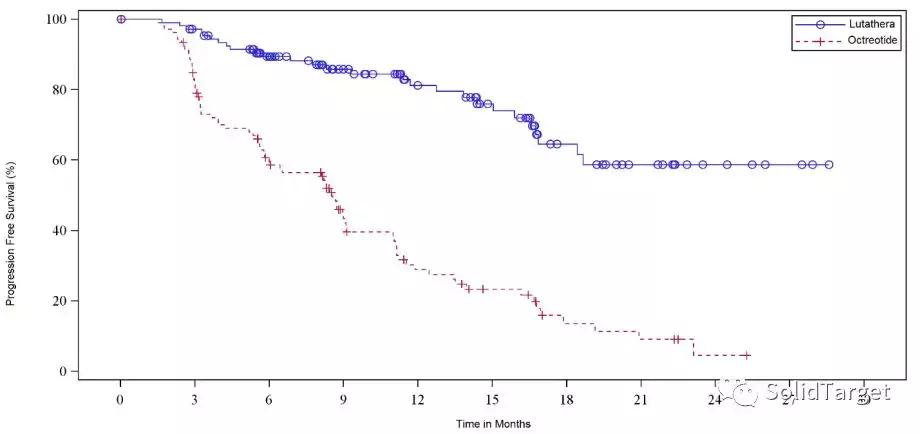
背景:由于肿瘤本身和激素相关症状,神经内分泌肿瘤的进展与生命质量的下降有关。 III期随机对照NETTER-1试验比较了晚期恶性肠NETs患者接受177 Lu-DOTATATE(177Lu; Lutathera)与高剂量(60mg)奥曲肽LAR(Oct)治疗的疗效。
结果:在某些时间点,在177Lu组与Oct组中观察到在包括患者总体健康状况和腹泻等关键QoL方面有显著临床和统计学改善。平均来说,177Lu组患者的总体健康状况改善28%,Oct组患者的健康状况改善15%,177Lu组与Oct组患者的总体健康状况恶化分别为18%和26%。

图. Lutathera有效延长NET患者生存期
结论:生活质量分析表明,晚期肠NET患者中与高剂量奥曲肽相比,177Lu治疗除了在已经报道的无进展生存期方面有显著改善外,在某些重要的生活质量方面也有优势,进一步证实了177Lu对患者QoL的治疗价值!
基于Lu-177的新疗法-PRRT
近年来,PRRT疗法(肽受体-放射性核素治疗)成为不少神经内分泌肿瘤患者关注的“救命稻草”。
什么是PRRT?
在大多数神经内分泌肿瘤细胞中,富集(叫做超表达)有大量的特殊类型的表面受体,这种蛋白质分布于细胞表面,附着于体内的一种激素叫做生长激素抑制因子。奥曲肽是一种实验室合成的激素,可以准确的识别“生长抑素受体”并附着在肿瘤细胞上,从而进一步发挥治疗作用。
PRRT治疗就是巧妙地利用了这个靶向机制,首先将“兰瑞肽/奥曲肽”和放射性核素(111In,90Y,177Lu)相结合,构建成新型复合药物,注射到患者体内,借助受体-配体的靶向识别作用,捕捉到肿瘤细胞,继而将放射性核素导入肿瘤组织,释放高能量的β射线,最终杀灭肿瘤细胞,也可以称之为“靶向内照射治疗”。

一项发表在国际著名癌症期刊柳叶刀的研究显示,PPRT能够显著提高疾病生存期
PRRT的治疗优势有哪些?
-
提供更多的个体化的神经内分泌肿瘤治疗,放射*药性**物能够根据患者的独特生物学特征和肿瘤的分子特性进行调整;
-
靶向*伤杀**肿瘤细胞,放射性肽能够具有高度选择性的破坏神经内分泌肿瘤细胞的能力,同时可以限制正常组织暴露于辐射之中;
-
相比于化疗具有相对温和的副作用。
哪些患者适合PRRT治疗?
PRRT通常用于治疗神经内分泌性肿瘤(NETs):
高表达生长抑素受体的神经内分泌肿瘤;
嗜铬细胞瘤(形成于肾上腺的一种罕见肿瘤)。
患者需要在专业医生指导下,首先要进行生长抑素受体检测,生长抑素受体显像(SRI)技术包括:99mTc-OCT-SPECT和 68Ga-OCT -PET 扫描,可以判断体内表达生长抑素受体肿瘤细胞的数量和分布范围。
NETs最新利器--PRRT落户北肿!
PRRT的出现无疑为国内神经内分泌瘤患者带来希望,然而由于这种技术及实施前的检查专业性较强,以及国内对这种肿瘤的认识起步较晚,一直没有开展PRRT的治疗。2018年2月起,北京大学肿瘤医院将在国内率先开展基于Lu-177的PRRT前瞻性临床研究,目前已经开始招募患者,患者可先通过会诊评估是否适合接受该疗法。
申请流程:
1、按照要求提交病历资料,填写申请信息表格;
2、资料审核后,提交北京大学肿瘤医院消化肿瘤内科相关医生会诊;
3、对于适合的患者,医院给出治疗意见;
4、全球肿瘤医生网协助患者接受会诊。
申请电话:400-666-7998
申请邮箱:doctor.huang@globecancer.com
北京肿瘤医院NETs治疗团队简介
会诊专家:李洁
职称:主任医师
就职:北京大学肿瘤医院 消化肿瘤内科
擅长:消化系统肿瘤(包括食管、胃、结直肠、胰腺癌、胆囊及胆管癌或壶腹周围癌、胃肠间质瘤、消化道神经内分泌肿瘤等)化疗为主的综合治疗。
声明:
本公众号内容仅作交流参考,不作为诊断及医疗依据,仅依照本文而做出的行为造成的一切后果,由行为人自行承担责任。专业医学问题请咨询专业人士或专业医疗机构。