- 导读
中国是肝癌大国,新发率、死亡率高,5年生存率12.1%,远低于发达国家。手术是唯一的根治治疗手段。然而大部分肝癌初诊时多为不可切除,早期肝癌切除术后5年复发转移高达60%。因此,如何探索有效的转化切除手段、制定合理的术前策略降低术后复发是临床医生急需解决的问题。选择性内放射治疗(SIRT)具有强效缩瘤、增大余肝、治疗癌栓的多重作用,可用于初始不可手术的肝癌患者的降期转化治疗,并延长术后无复发/无病生存期。近期,西班牙纳瓦拉大学一项单中心回顾性研究分享了原发性肝癌SIRT降期后成功手术的经验,证明SIRT降期策略的安全性和有效性,并首次明确了SIRT降期肝癌患者行腹腔镜肝切除术的可行性。

- 基线特征
研究共纳入34例接受钇90树脂微球(SIRT)后行肝切除手术(LR)/移植(LT)的原发性肝癌患者,其中HCC 26例,ICC 8例。LR人群中位年龄64.7岁,男性为主(94.1%)。29人(85.3%)仅接受一次SIRT治疗,4人(11.8%)接受2次治疗,1人(2.9%)接受3次治疗。中位Y90活度1.2GBq,LR人群中位活度更高(LR vs LT:1.5 GBq vs 0.5 GBq)。 研究采用分区模型计算肿瘤吸收剂量 。LT人群、LR人群的中位肿瘤吸收剂量分别为116Gy (92-204)和91Gy (35-150)。根据国际癌症研究所不良事件通用标准(CTCAE5.0),3例患者(14.2%)出现三级不良反应,1例患者(2.9%)出现SIRT相关肝脏疾病。未见SIRT相关死亡事件。

表1患者肝切除/移植术前基线特征

表2 HCC患者肝切除/移植术前基线特征
- 肝切除
21例患者行肝切除术。中位SIRT至肝切除时间8个月(2-32个月)。 11例患者行腹腔镜肝切除术,12例患者行经腹肝切除术 。其中,9例(42.9%)右肝切除术,1例(4.8%)左肝切除术,3例(14.3%)肝中叶切除术,3例(14.3%)肝右三叶切除,2例(9.5%)扩大肝切除术。中位手术时间328分钟(135-803分钟)。肝内胆管细胞癌(ICC)患者接受联合淋巴结切除术(肝蒂、肝动脉、腹腔干),4例(19%)需进行主要血管重建,包括右上肝静脉、门静脉和下腔静脉。
- 肝移植
13例HCC患者接受了肝移植。 中位SIRT至移植时间10个月(7-14个月)。 经SIRT降期后移植有6人(46.2%)。1例(7.7%)接受活体肝移植,12例接受尸体器官捐献。中位移植手术时间322分钟(251-387分钟)。
- 肝切除术后
中位住院时间5天(3-17)。4人(19%)出现3-4级并发症。术后90天随访2例(9.5%)死亡,死因为多器官功能衰竭。 R0切除率85.7% ,镜下切缘阳性(<1mm) 3例。 未见病理切缘阳性 。1例(4.8%)病理未见活肿瘤(pT0)。12例达到50-99%病理坏死。
- 肝移植术后
中位住院时间6天(5-16天)。按Clavien-Dindo并发症分级,1例出现3-4级并发症(肝动脉活动性出血致再次手术)。无胆道并发症发生。无90天死亡事件。

表3 肝切除/移植术后结果
- 肝切除术后生存分析
HCC
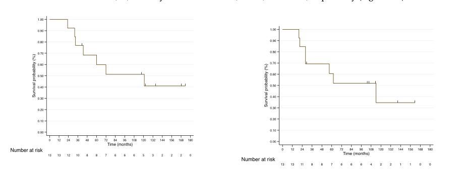
中位随访时间94个月(10-176个月)。6例复发,5例死亡(4例因疾病进展,1例因心脏相关并发症)。 SIRT后3年、5年、10年生存率(OS率)分别为84.6%、76.9%、57.0%。肝切除术后3年、5年、10年OS率分别为76.9%、68.4%、57.0%。SIRT后3年、5年、10年DFS率分别为61.5%、53.9%、43.1%。

图1A RE后OS分析 ;图1B LT后OS分析
ICC
中位随访时间38个月(10-120个月)。1例出现对侧肝叶复发,3例死亡。 SIRT后3年、5年、10年OS和DFS率分别为75%、60%、60%。肝切除术后1年、3年、5年OS率分别为75%、60%、60% 。
- 肝移植术后生存分析
中位随访时间72个月(23-173个月),3例复发,7例死亡(2例发生疾病进展,5例出现相关并发症)。 SIRT后3年、5年、10年OS率分别为76.9%、68.4%、51.3%。SIRT后3年、5年、10年DFS率分别为69.2%、60.6%、43.3%。肝移植术后3年、5年、10年OS率分别为69.2%、60.1%、34.6%。

图2A RE术后生存分析 图2B 肝移植术后生存分析
- 结语
本研究中,经SIRT转化切除的HCC患者3年、5年、10年OS率分别为84.6%、76.9%、57%, 与米兰标准内、肝功能良好的早期HCC生存获益相当,更优于ALLPS和PVE疗效 。 5年DFS率53.9%,这与米兰标准内行手术切除的早期HCC生存获益相当。 而且, 该研究首次明确了经SIRT降期的HCC患者行腹腔镜肝切除可行性 ,患者中位住院时间2天,90天死亡率为0%。SIRT降期策略不仅可实现肝癌降期切除/移植,还可延长总体生存和无病生存,是适合中国肝癌国情和人群特点的有效策略。随着中国治疗经验丰富和积累,相信未来可形成中国特色的阶段降期策略,造福更多中国肝癌人群。
参考文献
[1] Aliseda D, Martí-Cruchaga P, Zozaya G, et al. Liver Resection and Transplantation Following Yttrium-90 Radioembolization for Primary Malignant Liver Tumors: A 15-Year Single-Center Experience. Cancers (Basel). 2023;15(3):733.