1总则
1.0.1 为在无粘结预应力混凝土结构的设计、施工及验收中贯彻执行国家的技术经济政策,做到安全适用、技术先进、经济合理和确保质量,制定本规程。
1.0.2 本规程适用于建筑工程中采用的无粘结预应力混凝土结构的设计、施工及验收。
1.0.3 无粘结预应力混凝土结构应根据建筑功能要求、材料供应和施工条件,确定合理的设计与施工方案。
1.0.4 无粘结预应力混凝土结构的设计、施工及验收,除应满足本规程外,尚应符合国家现行有关标准的规定。
2 术语和符号
2.1 术 语
2.1.1 无粘结预应力筋 unbonded tendon采用专用防腐润滑涂层和塑料护套包裹的单根预应力钢绞线或单根预应力纤维增强复合材料筋,布置在混凝土构件截面之内时,其与被施加预应力的混凝土之间可保持相对滑动。
2.1.2 无粘结预应力混凝土结构 unbonded prestressed con-crete structure在混凝土结构构件内或构件外配置无粘结预应力束并通过张拉建立预加应力的混凝土结构。
2.1.3 体外预应力束 external tendon布置在混凝土结构构件截面之外的无粘结预应力筋,仅在锚固区及转向块处与构件相连接,简称体外束。
2.1.4 体外预应力 external prestressing由布置在混凝土构件截面之外的后张预应力筋产生的预应力。
2.1.5 转向块 deviator改变体外预应力束方向的、与混凝土构件相连接的中间支承块。
2.1.6 纤维增强复合材料筋 fiber reinforced polymer bar用连续纤维束按拉挤成型工艺生产的棒状纤维增强复合材料制品,简称纤维筋。按增强材料不同可分为碳纤维筋、芳纶纤维筋等。
2.2 符 号
2.2.1 材料性能Ec——混凝土弹性模量;Ep——无粘结预应力钢绞线弹性模量;Es——普通钢筋弹性模量;fc——混凝土轴心抗压强度设计值;f′cu——施加预应力时的混凝土立方体抗压强度;fptk——无粘结预应力钢绞线极限强度标准值;ft——混凝土轴心抗拉强度设计值;ftk——混凝土轴心抗拉强度标准值;fy——普通钢筋抗拉强度设计值;fyv——锚栓抗拉强度设计值或箍筋的抗剪强度设计值。
2.2.2 作用、作用效应及承载力Fl——局部荷载设计值或集中反力设计值;M——弯矩设计值;Mcr——受弯构件正截面开裂弯矩值;Mk——按荷载的标准组合计算的弯矩值;Mq——按荷载的准永久组合计算的弯矩值;Mu——构件正截面受弯承载力设计值;Np——无粘结预应力筋及普通钢筋的合力;Npe——无粘结预应力筋的总有效预加力;V——剪力设计值;σcon——无粘结预应力筋的张拉控制应力;σpc——受拉区无粘结预应力筋合力点处混凝土法向压应力;σpe——无粘结预应力筋的有效预应力;σpu——在正截面承载力计算中无粘结预应力筋的应力设计值;wmax——按荷载标准组合,并考虑长期作用影响的计算最大裂缝宽度。
2.2.3 几何参数A——构件截面面积;An——构件净截面面积;Ap——无粘结预应力筋截面面积;As——普通钢筋截面面积;B——受弯构件的截面刚度;b——截面宽度;bd——平托板的宽度;bf——T形或I形截面受拉区的翼缘宽度;b′f——T形或I形截面受压区的翼缘宽度;h——截面高度;h0——截面有效高度;hf——T形或I形截面受拉区的翼缘高度;h′f——T形或I形截面受压区的翼缘高度;hp——纵向受拉无粘结预应力筋合力点至截面受压边缘的距离;hs——纵向受拉普通钢筋合力点至截面受压边缘的距离;I0——换算截面惯性矩;W——截面受拉边缘的弹性抵抗矩;W0——换算截面受拉边缘的弹性抵抗矩;um——计算截面周长,取距离局部荷载或集中反力作用面积周边h0/2处板垂直截面的最不利周长;
2.2.4 计算系数及其他αE——无粘结预应力筋弹性模量与混凝土弹性模量之比;ξp——综合配筋指标;γ——混凝土构件的截面抵抗矩塑性影响系数;n——型钢剪力架相同伸臂的数目;k——考虑无粘结预应力筋护套壁每米长度局部偏差的摩擦系数;μ——摩擦系数;ρp——无粘结预应力筋配筋率;ρs——普通钢筋配筋率;θ——考虑荷载长期作用对挠度增大的影响系数;σctk,lim——荷载标准组合下的混凝土拉应力限值;σctq,lim——荷载准永久组合下的混凝土拉应力限值。
3 基本规定
3.1 一般规定
3.1.1 无粘结预应力混凝土结构构件,除应根据设计状况进行承载力计算及正常使用极限状态验算外,尚应在施工阶段对实际受力状态进行验算。
3.1.2 无粘结预应力混凝土结构应按现行国家标准《混凝土结构设计规范》GB 50010的规定进行结构计算,并应符合下列规定:1 无粘结预应力混凝土结构的计算模型应能反映结构的实际受力状况,宜建立整体模型进行分析;2 当结构在施工阶段和使用阶段有多种受力状况时,预应力作用效应宜分别建立模型进行结构分析;3 预应力构件及与预应力构件相关的非预应力构件均应计入预应力作用效应的影响;4 由预应力作用引起的内力和变形可采用弹性理论分析,构件截面的几何特征可按毛截面计算。
3.1.3 无粘结预应力混凝土结构设计应计入预应力作用效应;对超静定结构,相应的次弯矩、次剪力、次轴力等应参与组合计算。计算预应力作用效应时,应符合下列规定:1 对承载能力极限状态,当预应力作用效应对结构有利时,预应力分项系数γp应取1.0;不利时γp应取1.2。2 对正常使用极限状态,预应力分项系数γp应取1.0。3 对参与组合的预应力作用效应项,当预应力作用效应对承载力有利时,结构重要性系数γ0应取1.0;当预应力作用效应对承载力不利时,结构重要性系数γ0应按现行国家标准《混凝土结构设计规范》GB 50010的规定采用。
3.1.4 直接承受动力荷载并进行疲劳验算的无粘结预应力混凝土结构,其疲劳强度及构造措施应经专门试验研究确定。
3.1.5 在无粘结预应力混凝土现浇板、梁中,应按现行国家标准《混凝土结构设计规范》GB 50010的有关规定配置温度、收缩构造钢筋。
3.1.6 在无粘结预应力混凝土结构设计中,应在设计计算中考虑柱、墙的侧向约束作用对梁、板中预应力传递及正常使用和承载能力极限状态的影响,同时可在柱、墙中配置附加钢筋承担该约束作用产生的附加效应。
3.1.7 在无粘结预应力混凝土结构设计中,宜采取下列措施减少柱和墙等约束构件对梁、板预加应力效果的不利影响:1 宜将抗侧刚度较大的构件布置在结构平面的中心附近,也可通过设置后浇带将抗侧刚度较大的构件分散于每个结构区段的中心附近;2 结构长度超过60m时,可采用后浇带或施工缝对结构分段施加预应力;3 梁和支承柱之间的节点可设计为在张拉过程中能滑动的支座。
3.1.8 无粘结预应力混凝土结构应具有整体稳固性,结构的局部破坏不应导致大范围坍塌。对无粘结预应力混凝土单向多跨连续梁、板,在设计中宜将无粘结预应力筋分段锚固,或增设中间锚固点。
3.1.9 无粘结预应力混凝土结构构件正截面裂缝控制验算时,裂缝控制等级、荷载引起的混凝土拉应力限值和最大裂缝宽度限值应符合表3.1.9的规定;斜截面裂缝控制验算应符合现行国家标准《混凝土结构设计规范》GB 50010的有关规定。正截面的受力裂缝控制等级可分为三级,等级划分及要求应符合下列规定:1 一级——严格要求不出现裂缝的无粘结预应力混凝土构件,在荷载标准组合下,构件截面边缘混凝土不应产生拉应力。2 二级——一般要求不出现裂缝的构件,根据结构类型和环境类别,在荷载标准组合下,构件截面边缘混凝土拉应力应符合表3.1.9的规定。
表3.1.9 无粘结预应力混凝土构件的裂缝控制等级、混凝土拉应力限值及最大裂缝宽度限值

3 三级——允许出现裂缝的构件,按荷载标准组合并考虑长期作用的影响计算时,构件的最大裂缝宽度应符合表3.1.9规定的最大裂缝宽度限值的规定;对处于二a类环境的构件,按荷载准永久组合计算的构件受拉边缘混凝土拉应力,应符合表3.1.9的规定。4 当施加预应力仅为了减小钢筋混凝土构件的裂缝宽度或满足构件的允许挠度限值,以及改善环境温度和混凝土收缩作用影响时,构件的裂缝控制等级、荷载引起的混凝土拉应力限值和最大裂缝宽度限值可不受表3.1.9的限制。
3.1.10 无粘结预应力混凝土结构初步设计时,可按本规程附录A的规定采用名义拉应力方法估算受拉区纵向无粘结预应力筋的截面面积。
3.1.11 对振动舒适度有要求的楼盖结构,在正常使用极限状态下,楼盖结构竖向振动频率宜满足表3.1.11的要求,不满足表3.1.11的要求时可根据功能要求对相应的振动指标进行分析。工业建筑及有特殊要求的建筑应根据使用功能提出要求。
表3.1.11 楼盖结构坚向振动频率
|
建筑功能 |
楼盖结构坚向振动频率 |
|
住宅和公寓 |
≥5Hz |
|
办公楼和旅馆 |
≥4Hz |
|
大跨公共建筑 |
≥3Hz |
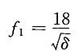
3.1.12 无粘结预应力混凝土等截面梁、板的竖向振动频率可按下式计算:

[3.1.12]
式中:f1——等截面梁或板的竖向振动频率(Hz);δ——等截面梁或板在有效荷载作用下的挠度(mm)。有效荷载取楼盖自重与有效分布活荷载之和,有效分布活荷载对住宅和公寓可取0.25kN/m2,其他结构可取0.50kN/m2。
3.1.13 板内双向布置预应力筋时,宜避免或减少双向预应力筋的交叉编网。
3.1.14 当无粘结预应力筋长度超过40m时,宜采取两端张拉;当无粘结预应力筋长度超过60m时,宜采取分段张拉和锚固。
3.2 防火及防腐蚀
3.2.1 根据不同耐火极限的要求,无粘结预应力钢绞线的混凝土保护层最小厚度应按表3.2.1-1及表3.2.1-2采用。
表3.2.1-1 板的混凝土保护层最小厚度(mm)
|
约束条件 |
耐火极限(h) |
|||
|
1 |
1.5 |
2 |
3 |
|
|
简支 |
25 |
30 |
40 |
55 |
|
连续 |
20 |
20 |
25 |
30 |
表3.2.1-2 梁的混凝土保护层最小厚度(mm)

3.2.2 无粘结预应力混凝土结构的迎火面应采取设置防火隔热层或在混凝土保护层内配置钢筋网等措施避免高温下混凝土爆裂。
3.2.3 预应力筋锚固区的耐火极限不应低于结构本身的耐火极限。
3.2.4 在无粘结预应力混凝土结构的混凝土中不应掺用氯盐。在混凝土施工中,包括外加剂在内的混凝土或砂浆各组成材料中,氯离子总含量以胶凝材料总量的百分率计,不应超讨0.06%。
3.2.5 处于三a、三b类环境条件下的无粘结预应力钢绞线锚固系统,应采用连续全封闭的防腐蚀体系,并应符合下列规定:1 张拉端和固定端应为预应力钢绞线提供全封闭防水保护;2 无粘结预应力钢绞线与锚具部件的连接及其他部件间的连接,应采用密封装置或其他封闭措施,使无粘结预应力锚固系统处于全封闭保护状态;3 全封闭体系应满足10kPa静水压力下不透水的要求。
3.2.6 无粘结预应力钢绞线张拉完毕后,应根据环境类别和设计要求及时对锚具系统进行防腐蚀保护,并应符合下列规定:1 处于一类环境的锚固系统,对圆套筒式锚具,封闭时应采用塑料保护套对锚具进行防腐蚀保护(图3.2.6a);埋入式固定端也可采用挤压锚具。2 处于二a、*B二**类环境的锚固系统,宜采用垫板连体式锚具,封闭时应采用塑料密封套、塑料盖对锚具进行防腐蚀保护(图3.2.6b)。3 处于三a、三b类环境的锚固系统,宜采用全封闭垫板连体式锚具,封闭时应采用耐压密封盖、密封圈、热塑耐压密封长套管对锚具进行防腐蚀保护(图3.2.6c)。

图3.2.6 锚固系统防腐蚀措施示意 1-圆套筒锚具;2-垫板连体式锚具;3-全封闭连体式锚具;4-专用防腐油脂;5-塑料帽;6-密封盖;7-塑料密封套;8-耐压密封盖;9-密封圈;10-热塑耐压密封长套管;11-微膨胀细石混凝土或无收缩砂浆
3.2.7 对无粘结预应力筋与锚具系统有电绝缘防腐蚀要求时,可采用塑料等绝缘材料对锚具系统进行表面处理,形成整体电绝缘。
3.2.8 当锚具采用凹进混凝土表面布置时,宜先切除外露无粘结预应力筋多余长度,锚具封闭宜符合下列规定:1 在夹片及无粘结预应力筋端头外露部分应涂专用防腐油脂或环氧树脂,并采用塑料帽或密封盖进行封闭;2 凹槽宜采用后浇细石混凝土或无收缩砂浆进行封闭,设计有规定时,应满足设计要求;3 采用无收缩砂浆或混凝土封闭保护时,其锚具或预应力筋端部的保护层厚度:一类环境时不应小于20mm,二a、二 b类环境时不应小于50mm,三a、三b类环境时不应小于80mm;4 混凝土或砂浆不能包裹的部位,应对无粘结预应力筋的锚具全部涂以与无粘结预应力筋防腐涂层相同的防腐材料,并应用具有可靠防腐和防火性能的保护罩将锚具全部封闭。
3.2.9 当锚具凸出混凝土侧表面布置时,锚具封闭宜符合下列规定:1 锚固系统可采用后浇的外包钢筋混凝土圈梁进行封闭,外包圈梁不宜突出外墙面,其混凝土强度等级宜与构件混凝土强度等级一致;2 封锚混凝土与构件混凝土应可靠粘结,锚具封闭前应将周围混凝土界面凿毛并冲洗干净,且宜配置(1~2)片钢筋网,钢筋网应与构件混凝土拉结;3 锚具或预应力筋端部的保护层厚度应符合本规程第3.2.8条的规定。
4 材料及锚具系统
4.1 混凝土与普通钢筋
4.1.1 在无粘结预应力混凝土结构中,板的混凝土强度等级不应低于C30;梁及其他构件的混凝土强度等级不宜低于C40,且不应低于C30。
4.1.2 在无粘结预应力混凝土结构中,预应力筋采用无粘结预应力钢绞线时,纵向普通钢筋宜采用HRB400、HRB500钢筋;梁纵向受力普通钢筋应采用HRB400、HRB500钢筋;箍筋宜采用HRB400、HRB500钢筋,也可采用HPB300钢筋。
4.1.3 在无粘结预应力混凝土结构中,预应力筋采用无粘结预应力纤维筋时,在三a、三b、四、五类环境中纵向普通钢筋宜采用环氧涂层钢筋或镀锌钢筋。
4.1.4 混凝土及普通钢筋的力学性能指标应符合现行国家标准《混凝土结构设计规范》GB 50010的规定。
4.2 预应力筋
4.2.1 制作无粘结预应力筋的钢绞线性能应符合现行国家标准《预应力混凝土用钢绞线》GB/T 5224的规定,常用预应力钢绞线的主要力学性能应符合表4.2.1的规定。
4.2.2 钢绞线弹性模量Ep宜取1.95×105N/mm2,也可采用弹性模量的实测值。
4.2.3 采用钢绞线制作的无粘结预应力筋不应有死弯。
4.2.4 制作无粘结预应力筋的纤维筋性能应符合现行国家标准《结构工程用纤维增强复合材料筋》GB/T 26743的规定,常用纤维筋的力学性能应符合表4.2.4的规定。
表4.2.1 常用预应力钢绞线的主要力学性能
表4.2.4 常用纤维筋的主要力学性能
|
纤维筋类型 |
抗拉强度标准值(N/mm2) |
弹性模量(N/mm2) |
断裂伸长率(%) |
|
碳纤维筋 |
≥1800 |
≥1.4×105 |
≥1.50 |
|
芳纶纤维筋 |
≥1300 |
≥0.65×105 |
≥2.00 |
4.2.5 无粘结预应力纤维筋宜采用碳纤维筋和芳纶纤维筋。增强纤维和基体树脂应符合现行国家标准《结构工程用纤维增强复合材料筋》GB/T 26743和《聚丙烯腈基碳纤维》GB/T 26752等的规定。
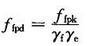
4.2.6 纤维筋的截面面积应按名义直径计算。无粘结预应力纤维筋的抗拉强度设计值应按下式计算:

[4.2.6]
式中:ffpd——无粘结预应力纤维筋的抗拉强度设计值(N/mm2);ffpk——无粘结预应力纤维筋的抗拉强度标准值(N/mm2);γf——纤维筋的材料分项系数,取1.4;γe——纤维筋的环境影响系数,按表4.2.6取用。
表4.2.6 纤维筋的环境影响系数γe
|
环境类别 |
纤维筋类型 |
|
|
碳纤维筋 |
芳纶纤维筋 |
|
|
一类 |
1.0 |
1.2 |
|
二a、二 b |
1.1 |
1.3 |
|
三a、三b、四类、五类 |
1.2 |
1.5 |
4.2.7 无粘结预应力筋的外包层材料性能及涂包质量应符合现行行业标准《无粘结预应力钢绞线》JG 161的规定,防腐油脂质量应符合现行行业标准《无粘结预应力筋用防腐润滑脂》JG/T 430的规定。
4.3 锚 具
4.3.1 无粘结预应力钢绞线用锚具应符合国家现行标准《预应力筋用锚具、夹具和连接器》GB/T 14370及《预应力筋用锚具、夹具和连接器应用技术规程》JGJ 85的有关规定。
4.3.2 无粘结预应力钢绞线用锚具应根据无粘结预应力钢绞线的品种、张拉力值及工程应用的环境类别选定。
4.3.3 无粘结预应力钢绞线张拉端锚具系统可采用圆套筒式锚具、垫板连体式夹片锚具或全封闭垫板连体式夹片锚具,并应符合下列规定:1 圆套筒式锚具应由锚环、夹片、承压板和间接钢筋组成,宜采用凹进混凝土表面布置(图4.3.3-1);

图4.3.3-1 圆套筒式锚具系统构造示意 1-夹片;2-锚环;3-承压板;4-间接钢筋;5-无粘结预应力钢绞线;6-穴模;7-塑料帽;8-微膨胀细石混凝土或无收缩砂浆
2 垫板连体式夹片锚具应由连体锚板、夹片、穴模、密封连接件及螺母、间接钢筋、密封盖、塑料密封套等组成,宜采用凹进混凝土表面布置(图4.3.3-2);

图4.3.3-2 垫板连体式锚具系统构造示意 1-夹片;2-间接钢筋;3-无粘结预应力钢绞线;4-穴模;5-连体锚板;6-塑料密封套;7-密封连接件及螺母;8-密封盖;9-微膨胀细石混凝土或无收缩砂浆
3 全封闭垫板连体式夹片锚具应由连体锚板、夹片、穴模、密封连接件及螺母、间接钢筋、耐压金属密封盖、密封圈、热塑耐压密封长套管等组成,宜采用凹进混凝土表面布置(图4.3.3-3)。

图4.3.3-3 全封闭垫板连体式锚具系统构造示意 1-夹片;2-间接钢筋;3-无粘结预应力钢绞线;4-穴模;5-连体锚板;6-密封连接件及螺母;7-热塑耐压密封长套管;8-耐压密封盖;9-密封圈;10-微膨胀细石混凝土或无收缩砂浆
4.3.4 无粘结预应力钢绞线固定端锚具系统埋设在混凝土中时,可采用挤压锚具、垫板连体式夹片锚具或全封闭垫板连体式夹片锚具,并应符合下列规定:1 挤压锚具应由挤压锚、承压板和间接钢筋组成,并应用专用设备将套筒等挤压组装在钢绞线端部(图4.3.4a)。2 垫板连体式夹片锚具应由连体锚板、夹片、密封盖、塑料密封套与间接钢筋等组成。安装时应预先用专用紧楔器以不低于0.75倍预应力钢绞线强度标准值的顶紧力将夹片预紧,并应安装密封盖(图4.3.4b)。3 全封闭垫板连体式夹片锚具应由连体锚板、夹片、间接钢筋、耐压金属密封盖、密封圈、热塑耐压密封长套管组成。安装时应预先用专用紧楔器以不低于0.75倍预应力钢绞线强度标准值的顶紧力将夹片预紧,并应安装带密封圈的耐压金属密封盖(图4.3.4c)。
4.3.5 无粘结预应力纤维筋采用的锚具应符合下列规定:1 应根据纤维筋的品种、张拉力值及工程应用的环境类型选用锚具,并应采取措施降低锚具在锚固过程中对锚固区域的纤

图4.3.4 固定端锚具系统构造示意 1-挤压锚具;2-专用防腐油脂;3-密封盖;4-塑料密封套;5-耐压密封盖;6-密封圈;7-热塑耐压密封长套管
维筋造成的环向剪切应力。2 无粘结预应力纤维筋-锚具组装件的锚具效率系数及疲劳性能应符合现行国家标准《预应力筋用锚具、夹具和连接器》GB/T 14370的规定;计算锚具效率系数时,宜取无粘结预应力纤维筋的抗拉强度标准值ffpk。3 无粘结预应力纤维筋-锚具组装件静载试验达到实测极限拉力时的总伸长率不应小于本规程表4.2.4规定的断裂伸长率。4 无粘结预应力纤维筋用锚具在制作、包装、运输、锚固、封闭过程中,应避免撞击和摩擦对纤维筋及其锚具造成损伤。
5 设计计算与构造
5.1 一般规定
5.1.1 无粘结预应力混凝土梁、板构件的跨高比可按表5.1.1的规定采用,并宜符合下列规定:1 高层建筑中的框架-剪力墙结构、剪力墙结构、框架-核心筒结构中,柱支承平板的厚度不应小于200mm,周边支承平板的厚度不应小于150mm;2 扁梁的宽度不宜大于柱宽加1.5倍梁高,梁高宜大于板厚度的2.0倍;3 周边支承双向板的跨高比,宜按柱网的短向跨度计算;柱支承双向板的跨高比,宜按柱网的长向跨度计算;4 梁、板的跨高比可根据构件跨度、作用荷载等条件进行调整;当有工程实践经验并经验算符合设计要求时,其跨高比可不受表5.1.1的限制。
表5.1.1 无粘结预应力混凝土梁、板构件的跨高比选用范围

5.1.2 由预加力对结构产生的内力和变形,可用等效荷载法进行计算。对一般民用建筑,当采用荷载平衡法估算无粘结预应力筋数量时,平衡荷载值可取永久荷载标准值或永久荷载标准值加不超过50%的可变荷载标准值。
5.1.3 对无粘结预应力混凝土平板,扣除全部预应力损失后,在混凝土总截面面积上建立的平均预压应力不宜小于1.0N/mm2,也不宜大于3.5N/mm2。
5.1.4 无粘结预应力钢绞线的张拉控制应力σcon不宜超过0.75fptk,且不应超过0.80fptk,其中fptk为无粘结预应力钢绞线极限强度标准值。
5.1.5 无粘结预应力筋的有效预应力σpe应按公式(5.1.5)计算。计算时,无粘结预应力筋的总损失值不应小于80N/mm2。

[5.1.5]
式中:σcon——无粘结预应力筋张拉控制应力(N/mm2);σl1——张拉端锚具变形和无粘结预应力筋内缩引起的预应力损失(N/mm2);σl2——无粘结预应力筋与护套壁之间的摩擦引起的预应力损失(N/mm2);σl4——无粘结预应力筋的应力松弛引起的预应力损失(N/mm2);σl5——混凝土的收缩、徐变引起的预应力损失(N/mm2)。
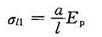
5.1.6 无粘结预应力钢绞线直线筋由于锚具变形和无粘结预应力钢绞线内缩引起的预应力损失σl1可按下式计算:

[5.1.6]
式中:a——张拉端锚具变形和无粘结预应力钢绞线内缩值(mm)。对于夹片式锚具,有顶压时取5mm,无顶压时取6mm~8mm,也可根据实测数据确定;其他类型的锚具变形和预应力钢绞线内缩值应根据实测数据确定。l——张拉端至锚固端之间的距离(mm)。Ep——无粘结预应力钢绞线弹性模量(N/mm2)。
5.1.7 无粘结预应力钢绞线曲线筋或折线筋由于锚具变形和预应力钢绞线内缩引起的预应力损失值σl1,可按本规程附录B的规定计算,当有可靠依据时,也可采用其他方法计算。计算时,无粘结预应力钢绞线曲线筋或折线筋与护套壁之间反向摩擦影响长度lf范围内的反向摩擦系数可按本规程表5.1.8中数值取用,大直径钢绞线宜实测确定。
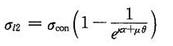
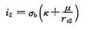
5.1.8 无粘结预应力钢绞线与护套壁之间的摩擦引起的预应力损失σl2宜按公式(5.1.8-1)计算,当kx+μθ≤0.3时也可按公式(5.1.8-2)计算。

[5.1.8-1]

[5.1.8-2]
式中:k——考虑无粘结预应力钢绞线护套壁每米长度局部偏差对摩擦的影响系数,可按表5.1.8采用,也可根据实测数据确定;大直径钢绞线宜实测确定。μ——无粘结预应力钢绞线与护套壁之间的摩擦系数,可按表5.1.8采用,也可根据实测数据确定;大直径钢绞线宜实测确定。x——从张拉端至计算截面的曲线长度,可近似取曲线在纵轴上的投影长度(m)。

其中,αv为按抛物线、圆弧曲线变化的空间曲线预应力钢绞线在竖直向投影所形成抛物线、圆弧曲线的弯转角(rad);αh为按抛物线、圆弧曲线变化的空间曲线预应力钢绞线在水平向投影所形成抛物线、圆弧曲线的弯转角(rad);△αv为广义空间曲线预应力钢绞线在竖直向投影所形成分段曲线的弯转角增量(rad);△αh为广义空间曲线预应力钢绞线在水平向投影所形成分段曲线的弯转角增量(rad)。
表5.1.8 无粘结预应力钢绞线的摩擦系数

图5.1.8 预应力筋转角示意 1-张拉端;2-计算截面
5.1.9 低松弛无粘结预应力钢绞线由于应力松弛引起的预应力损失值σl4可按下列公式计算:
1 当 0.7fptk<σcon≤0.8*fptk 时

[5.1.9-1]
2 当 0.5fptk<σcon≤0.7*fptk 时

(5.1.9-2)
3 当 σcon≤ 0.5fptk 时

(5.1.9-3)
5.1.10 混凝土收缩、徐变引起受拉区和受压区纵向无粘结预应力筋的预应力损失值σl5、σ′l5可分别按公式(5.1.10-1)和式(5.1.10-2)计算。对处于年平均相对湿度低于40%干燥环境的结构,σl5及σ′l5计算值应增加30%。

[5.1.10-1]

[5.1.10-2]
式中:σpc——受拉区无粘结预应力筋合力点处混凝土法向压应力(N/mm2)。计算时,可根据构件制作情况计入构件自重的影响,预应力损失值应仅考虑混凝土预压前的损失σl1与σl2之和。当σpc的计算值大于0.5f′cu时,应取为0.5 f′cu。
σ′pc——受压区无粘结预应力筋合力点处混凝土法向压应力(N/mm2)。计算时,可根据构件制作情况计入构件自重的影响,预应力损失值应仅考虑混凝土预压前的损失σl1与σl2之和。当σ′pc的计算值大于0.5f′cu时,应取为0.5f′cu;当σ′pc的计算值为拉应力时,其值应取为0。f′cu——施加预应力时的混凝土立方体抗压强度(N/mm2)。
ρ——受拉区无粘结预应力筋和普通钢筋的配筋率,应取为(Ap+As)/An;对于对称配置预应力筋和普通钢筋的构件,配筋率ρ应按钢筋总截面面积的一半计算。ρ′——受压区无粘结预应力筋和普通钢筋的配筋率,应取为(A′p+A′s)/An;对于对称配置预应力筋和普通钢筋的构件,配筋率ρ′应按钢筋总截面面积的一半计算。
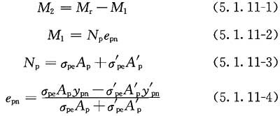
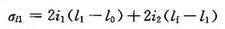
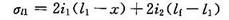
5.1.11 后张法无粘结预应力混凝土超静定结构,在进行正截面受弯承载力计算及抗裂验算时,在弯矩设计值中次弯矩应参与组合;在进行斜截面受剪承载力计算及抗裂验算时,在剪力设计值中次剪力应参与组合。次弯矩、次剪力及其参与组合的计算应符合下列规定:1 按弹性分析计算时,次弯矩M2宜按下列公式计算

式中:Np——无粘结预应力混凝土构件的预加力(N)。epn——净截面重心至无粘结预应力筋及普通钢筋合力点的距离(mm)。Mr——由预加力Np的等效荷载在结构构件截面上产生的弯矩值(N·mm)。M1——预加力Np对净截面重心偏心引起的弯矩值(N·mm)。σpe——受拉区无粘结预应力筋有效预应力(N/mm2)。σ′pe——受压区无粘结预应力筋有效预应力(N/mm2)。Ap——受拉区纵向无粘结预应力筋的截面面积(mm2)。A′p——受压区纵向无粘结预应力筋的截面面积(mm2)。ypn——受拉区预应力合力点至净截面重心的距离(mm)。y′pn——受压区预应力合力点至净截面重心的距离(mm)。2 次剪力宜根据结构构件各截面次弯矩分布按结构力学方法计算,次轴力宜根据结构的约束条件进行计算。
5.1.12 对采用钢绞线作无粘结预应力筋的受弯构件,在进行正截面承载力计算时,无粘结预应力筋的应力设计值σpu宜按下列公式计算,计算值应不小于σpe且不大于fpy。

式中:σpe——扣除全部预应力损失后,无粘结预应力筋中的有效预应力(N/mm2)。△σp——无粘结预应力筋中的应力增量(N/mm2);对于不少于3跨的连续梁、连续单向板及连续双向板,△σp取值不应小于50N/mm2。ξp——综合配筋指标,不宜大于0.4;对于连续梁、板,取各跨内支座和跨中截面综合配筋指标的平均值。对翼缘位于受压区的T形、I形截面受弯构件,当受压区高度大于翼缘高度时,ξp可取为

,其中,h′f为T形、I形截面受压区的翼缘高度(mm);b′f为T形、I形截面受压区的翼缘计算宽度(mm),应按现行国家标准《混凝土结构设计规范》GB 50010有关规定执行。l0——受弯构件计算跨度(mm)。h——受弯构件截面高度(mm)。hp——无粘结预应力筋合力点至截面受压边缘的距离(mm)。l1——连续无粘结预应力筋两个锚固端间的总长度(mm)。l2——与l1相关的由活荷载最不利布置图确定的荷载跨长度之和(mm)。fpy——无粘结预应力钢绞线抗拉强度设计值(N/mm2)。
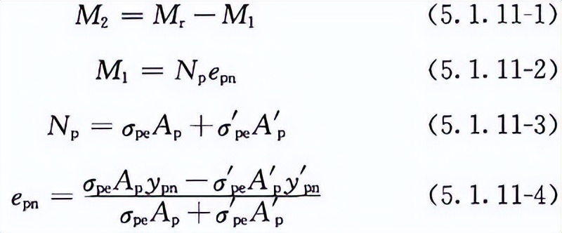
5.1.13 在矩形、T形、倒T形和I形截面的无粘结预应力混凝土轴心受拉和受弯构件中,按荷载标准组合并考虑长期作用影响的最大裂缝宽度wmax,可按下列公式计算:


式中:wmax——按荷载标准组合并考虑长期作用影响的构件最大裂缝宽度(mm)。αcr——构件受力特征系数。对轴心受拉构件,αcr取为2.2;对受弯构件,αcr取为1.5。ψ——裂缝间纵向受拉普通钢筋应变不均匀系数。当ψ小于0.2时,ψ取为0.2;当ψ大于1.0时,ψ取为1.0;对直接承受重复荷载的构件,ψ取为1.0。
σsk——按荷载标准组合计算的无粘结预应力混凝土构件纵向受拉钢筋的等效应力(N/mm2),按本规程第5.1.14条的规定计算。cs——最外层纵向受拉普通钢筋外边缘至受拉区边缘的距离(mm)。当cs小于20时,可取为20;当cs大于65时,可取为65;对裂缝宽度无特殊外观要求的构件,当保护层设计厚度cs大于30时,可取为30。
ρte——按有效受拉混凝土截面面积计算的纵向受拉普通钢筋配筋率;在最大裂缝宽度计算中,当ρte小于0.01时,取为0.01。Ate——有效受拉混凝土截面面积(mm2)。对受弯构件,Ate取0.5bh+(bf—b)hf,此处,bf、hf分别为受拉翼缘的宽度、高度。As——受拉区纵向普通钢筋截面面积(mm2)。deq——受拉区纵向受拉普通钢筋的等效直径(mm)。di——受拉区第i种纵向受拉普通钢筋的公称直径(mm)。ni——受拉区第i种纵向受拉普通钢筋的根数。vi——受拉区第i种纵向受拉普通钢筋的相对粘结特性系数。对光面钢筋,取为0.7;对带肋钢筋,取为1.0。
5.1.14 在荷载标准组合作用下,无粘结预应力混凝土构件纵向受拉钢筋等效应力σsk可按下列公式计算:

式中:As——受拉区纵向普通钢筋截面面积(mm2)。对轴心受拉构件,应取全部纵向钢筋截面面积;对受弯构件,应取受拉区纵向钢筋截面面积。A′s——受压区纵向普通钢筋截面面积(mm2)。Ap——受拉区纵向无粘结预应力筋截面面积(mm2)。对无粘结预应力钢筋混凝土轴心受拉构件,应取全部纵向预应力筋截面面积;对无粘结预应力钢筋混凝土受弯构件,应取受拉区纵向预应力筋截面面积;对于无粘结预应力纤维筋混凝土受弯构件应取为EfpAfp/Ep,其中Afp为受拉区纵向无粘结预应力纤维筋截面面积(mm2),Efp为无粘结预应力纤维筋弹性模量(N/mm2)。
A′p——受压区纵向预应力筋截面面积(mm2)。对于无粘结预应力纤维筋混凝土受弯构件应取为EfpAfp/Ep,其中Afp为受压区纵向无粘结预应力纤维筋截面面积(mm2),Efp为无粘结预应力纤维筋弹性模量(N/mm2)。αE——无粘结预应力筋弹性模量与混凝土弹性模量的比值,对于无粘结预应力钢绞线应取为Ep/Ec,对于无粘结预应力纤维筋应取为Efp/Ec。Nk——按荷载标准组合计算的轴向力值(N)。Mk——按荷载标准组合计算的弯矩值(N·mm)。Np0——计算截面上混凝土法向预应力等于零时的预加力(N)。z——受拉区纵向普通钢筋和预应力筋合力点至截面受压区纵向普通钢筋和预应力筋合力点的距离(mm)。
ep——Np0的作用点至受拉区纵向预应力和普通钢筋合力点的距离(mm)。yps——受拉区纵向预应力和普通钢筋合力点的偏心距(mm)。ep0——计算截面上混凝土法向预应力等于零时的预加力作用点的偏心距(mm)。yp——受拉区预应力合力点至截面重心的距离(mm)。y′p——受压区预应力合力点至截面重心的距离(mm)。ys——受拉区的普通钢筋重心至截面重心的距离(mm)。y′s——受压区的普通钢筋重心至截面重心的距离(mm)。
5.1.15 矩形、T形、倒T形和I形截面无粘结预应力混凝土受弯构件中,按荷载标准组合并考虑荷载长期作用影响的刚度B,可按下式计算:

式中:Mk——按荷载标准组合计算的弯矩(N·mm),应取计算区段内的最大弯矩值;Mq——按荷载准永久组合计算的弯矩(N·mm),应取计算区段内的最大弯矩值;θ——考虑荷载长期作用对挠度增大的影响系数,取2.0;Bs——荷载标准组合作用下受弯构件的短期刚度,可按本规程第5.1.16条的规定计算,预压时预拉区出现裂缝的构件,Bs应降低10%。
5.1.16 在荷载标准组合作用下,无粘结预应力混凝土受弯构件的短期刚度Bs可按下列公式计算:

式中:I0——换算截面惯性矩(mm4)。αE——钢筋弹性模量与混凝土弹性模量的比值,应取为Es/Ec。ρ——纵向受拉钢筋配筋率,对于无粘结预应力钢筋混凝土梁,可取为(0.3Ap+As)/(bh0);对于无粘结预应力纤维筋混凝土梁,可取为(0.3EfpAfp/Ep+As)/(bh0)。Mcr——受弯构件的正截面开裂弯矩值(N·mm)。γf——受拉翼缘截面面积与腹板有效截面面积的比值。bf——受拉翼缘的宽度(mm)。hf——受拉翼缘的高度(mm)。kcr——无粘结预应力混凝土受弯构件正截面的开裂弯矩Mcr与弯矩Mk的比值,当kcr大于1.0时,取为1.0。γ——混凝土构件的截面抵抗矩塑性影响系数,应按现行国家标准《混凝土结构设计规范》GB 50010相关规定计算。
5.1.17 无粘结预应力混凝土受弯构件在使用阶段的预加力反拱值宜符合下列规定:1 预加力反拱值可用结构力学方法按刚度EcIo进行计算,并应考虑预压应力长期作用的影响,将计算求得的预加力反拱值乘以增大系数2.0;2 重要的或特殊的预应力混凝土受弯构件的长期反拱值可根据专门的试验分析确定,也可采用合理的收缩、徐变计算方法经分析确定;3 永久荷载较小的构件,应考虑反拱过大对使用的不利影响;4 在计算中,无粘结预应力筋中的应力应扣除全部预应力损失。
5.1.18 无粘结预应力混凝土构件的端部锚固区,应验算局部受压承载力,并应符合下列规定:1 采用普通钢垫板时,应按现行国家标准《混凝土结构设计规范》GB 50010的规定验算锚具下混凝土局部受压承载力,垫板的刚性扩散角应取为45°;2 采用整体铸造垫板时,锚具下混凝土局部受压承载力应经试验确定;3 在锚固区的局部受压承载力计算中,压力设计值应取1.2倍张拉控制力和fptkAp或fptkAfp中的较大值。
5.1.19 无粘结预应力混凝土构件的端部锚固区可采用配置螺旋筋或钢筋网片等间接钢筋的方式提高锚具下混凝土局部受压承载力,当锚具密集布置时,宜采用整体钢筋网片。采用螺旋筋或网片筋时宜符合下列规定:1 宜采用带肋钢筋,其体积配筋率不应小于0.5%;2 螺旋筋的圈内径宜大于锚垫板对角线长度或直径,且螺旋筋的圈内径所围面积与锚垫板端面轮廓所围面积之比不应小于1.25,螺旋筋应与锚具对中,螺旋筋的首圈钢筋距锚垫板的距离不宜大于25mm;3 网片筋的钢筋间距不宜大于150mm,首片网片筋至锚垫板的距离不宜大于25mm,网片筋之间的距离不宜大于150mm。
5.2 单向体系
5.2.1 无粘结预应力混凝土受弯构件的受拉区,纵向普通钢筋的配置应符合下列规定:1 单向板纵向普通钢筋的截面面积As应符合下式规定,且纵向普通钢筋直径不应小于8mm,间距不应大于200mm。

式中:b——截面宽度(mm);h——截面高度(mm)。2 梁中受拉区配置的纵向普通钢筋的最小截面面积As应取下列两式计算结果的较大值,纵向普通钢筋直径不宜小于14mm,且应均匀分布在梁的受拉边缘区。


3 对一级裂缝控制等级的梁,当无粘结预应力筋承担75%以上弯矩设计值时,纵向普通钢筋面积应满足承载力计算和公式(5.2.1-3)的要求。
5.2.2 无粘结预应力混凝土受弯构件的正截面受弯承载力设计值应满足下式要求:

式中:Mu——构件正截面受弯承载力设计值(N·mm),按现行国家标准《混凝土结构设计规范》GB 50010的有关规定计算;Mcr——构件正截面开裂弯矩值(N·mm),按本规程公式(5.1.16-5)计算。
5.2.3 无粘结预应力混凝土受弯构件的斜截面受剪承载力计算应按现行国家标准《混凝土结构设计规范》GB 50010有关规定执行,计算时无粘结预应力弯起筋的应力设计值应取有效预应力值。
5.2.4 无粘结预应力筋在构件中单根或集束布置时,应符合下列规定:1 板中单根无粘结预应力筋的间距不宜大于板厚的6倍,且不宜大于1m;2 带状束的无粘结预应力筋根数不宜多于5根,带状束间距不宜大于板厚的12倍,且不宜大于2.4m;3 梁中集束布置的无粘结预应力筋,集束的水平净间距不宜小于50mm且不宜小于集束的轮廓外径,集束至构件边缘的净距不宜小于40mm。
5.3 双向体系
5.3.1 矩形柱网的无粘结预应力混凝土板柱结构,可按板的纵横两个方向分别采用等代框架法进行内力计算,在计算中每个方向均应取全部作用荷载。柱网不规则的平板、井式梁板、密肋板、承受大集中荷载和大开孔的板及板柱-抗震墙结构进行内力分析时,宜采用有限单元法进行计算。
5.3.2 矩形柱网的无粘结预应力混凝土板柱结构,采用等代框架法进行内力计算时宜符合下列规定:1 在水平荷载作用下,等代梁的梁宽取值宜符合本规程第5.3.3条的规定。水平荷载产生的内力,应组合到柱上板带。2 在垂直荷载作用下,等代框架梁的梁宽可取柱两侧半跨之和。3 当跨度差别较大或相邻跨荷载相差较大时,宜考虑柱及柱两侧抗扭构件的影响按等效柱计算,等效柱的刚度计算以及采用平面框架程序实现等代框架法计算的处理方法可按本规程附录C的规定执行。
5.3.3 在水平荷载作用下,沿该方向等代框架梁的计算宽度,宜取下列公式计算结果的较小值:

式中:by——y向等代框架梁的计算宽度(mm);lx、ly——等代梁在纵横两个方向的计算跨度(mm);bd——平托板或柱帽的有效宽度(mm)。
5.3.4 周边支承的无粘结预应力双向板,每一方向上纵向普通钢筋的配筋率不应小于0.15%;无粘结预应力混凝土板柱结构中的双向平板,纵向普通钢筋截面面积As及其分布应符合下列规定:1 在柱边的负弯矩区,纵向钢筋应分布在柱宽及两侧各离柱边1.5h的范围板带内;每一方向应至少设置4根直径不小于16mm的钢筋;纵向钢筋间距不应大于300mm,外伸出柱边长度不应小于支座每一边净跨的1/6;每一方向上纵向普通钢筋的截面面积应符合下式规定:

式中:l——板带宽度(mm),取纵横两个方向板跨度的较大值;h——板的厚度(mm)。2 在荷载标准组合下,当正弯矩区每一方向上抗裂验算截面边缘的混凝土法向拉应力满足下式要求时,正弯矩区可按不小于0.2%的配筋率配置构造纵向普通钢筋:

3 在荷载标准组合下,当正弯矩区每一个方向上抗裂验算截面边缘的混凝土法向拉应力超过0.4ftk且不大于1.0ftk时,纵向普通钢筋的截面面积应符合下式规定:

式中:Ntk——在荷载标准组合下构件混凝土未开裂截面受拉区的合力(N);fy——钢筋的抗拉强度设计值(N/mm2),当fy大于360N/mm2时,取360N/mm2。4 在平板的边缘和拐角处,应设置暗圈梁或钢筋混凝土边梁。暗圈梁的纵向钢筋直径不应小于12mm,且不应少于4根;箍筋直径不应小于6mm,间距不应大于150mm。5 在温度、收缩应力较大的现浇双向平板区域内,应按现行国家标准《混凝土结构设计规范》GB 50010的规定配置普通构造钢筋网。
5.3.5 由水平荷载在板支座处产生的弯矩应与按本规程第5.3.3条所规定的等代框架梁宽度上的竖向荷载弯矩相组合,承受该弯矩所需全部钢筋应配置在该柱上板带中,且其中不少于50%应配置在该柱上板带的暗梁中;由弯曲传递的不平衡弯矩,应由暗梁内的无粘结预应力筋和普通钢筋承受;暗梁的截面和配筋应符合下列规定:1 暗梁的宽度为在柱或柱帽两侧各1.5h范围(图5.3.5),h为板厚或平托板的厚度;2 支座处暗梁的上部纵向钢筋应连续通长布置,暗梁下部钢筋不宜少于上部钢筋的1/2;3 支座处暗梁箍筋直径按计算确定,但不应小于8mm;箍筋加密区长度不应小于3h,其箍筋肢距不应大于250mm,箍筋间距不应大于100mm。

图5.3.5 暗梁配筋示意 1-柱;2-上部连续钢筋
5.3.6 平板和密肋板可在局部留洞,但应验算留洞后板的承载力与刚度。当未作专门分析而在板的不同部位留单个洞时,所有洞边均应设置补强钢筋,留单个洞的大小及洞口处无粘结预应力筋的布置应符合下列规定:1 在两个方向的柱上板带公共区域内,洞1(图5.3.6a)的长边尺寸b不应大于bc/4或h/2,其中,bc为对应于洞口长边方向的柱宽度,h为板厚度;
图5.3.6 板柱体系楼板开洞示意
2 在一方向的跨中板带和另一个方向上的柱上板带公共区域内,洞2(图5.3.6a)的边长a不应大于A2/4,边长b不应大于B1/4,其中A2为跨中板带宽度,B1为柱上板带宽度;3 在两个方向的跨中板带公共区域内,洞3(图5.3.6a)的边长a不应大于A2/4,边长b不应大于B2/4,其中A2、B2分别为两个方向的跨中板带宽度;4 在同一部位留多个洞时,在同一截面上各个洞宽之和不应大于该部位单个洞的允许宽度;5 在板内被孔洞阻断的无粘结预应力筋可分两侧绕过洞口铺设,其离洞口的距离a不宜小于150mm,偏移点距离洞口的距离b不宜小于300mm,水平偏移的曲率半径R不宜小于6.5m(图5.3.6b),洞口四周应配置构造钢筋加强;当偏移量c与偏移段长度d之比大于1/6时,偏移段应配置U形筋。
5.3.7 当楼盖留洞较大且在洞边截断无粘结预应力筋或密肋板的肋时,应沿洞口周边设置边梁或加强带。
5.3.8 在均布荷载作用下,现浇平板结构中无粘结预应力筋的布置和分配宜符合下列规定:1 无粘结预应力筋可按划分柱上板带和跨中板带的方式布置(图5.3.8a),图中A1与A3、B1与B3分别为两个方向的柱上板带,A2与B2分别为两个方向的跨中板带。无粘结预应力筋分配在柱上板带的数量可占预应力筋总量60%~75%,其余40%~25%分配在跨中板带上。
图5.3.8 布筋方式示意
2 无粘结预应力筋也可取一向集中布置,另一向均匀布置(图5.3.8b)。集中布置的无粘结预应力筋,宜分布在各离柱边1.5h的范围内;均布方向的无粘结预应力筋,最大间距不应超过板厚度的6倍,且不宜大于1.0m。3 每一方向穿过柱子的无粘结预应力筋的数量不应少于2根。
5.3.9 沿两个主轴方向通过内节点柱截面的连续预应力筋及板底普通钢筋的总截面面积及布置应符合下列规定:1 沿两个主轴方向通过内节点柱截面的连续预应力筋及板底普通钢筋的总截面面积应符合下式规定:

式中:As——贯通柱截面的板底纵向普通钢筋截面面积(mm2),对一端在柱截面对边按受拉弯折锚固的普通钢筋,截面面积按一半计算;Ap——贯通柱截面连续预应力筋截面面积(mm2),对一端在柱截面对边锚固的预应力筋,截面面积按一半计算;fy——普通钢筋的抗拉强度设计值(N/mm2);σpu——无粘结预应力筋的应力设计值(N/mm2);NG——在该层楼板重力荷载代表值作用下的柱轴压力设计值(N)。重力荷载代表值应按现行国家标准《建筑抗震设计规范》GB 50011的有关规定确定。
2 连续预应力筋应布置在板柱节点上部,呈下凹进入板跨中。3 连续普通钢筋应布置在板柱节点下部及预应力筋的下方,钢筋连接位置宜在距柱边laE拒与2倍板厚的较大值以外,且应避开板底受拉区范围。钢筋宜采用机械连接或焊接连接;当采用搭接时,钢筋端部宜有垂直于板面的弯钩。laE为钢筋锚固长度。
5.3.10 在筏板基础和箱形基础中采用无粘结预应力混凝土结构时,应符合下列规定:1 在筏板基础的肋梁中可采用多根无粘结预应力筋组成的集束预应力筋,在筏板基础和箱形基础的底板中可采用分散布置的无粘结预应力筋;2 在设计预应力混凝土基础时,应考虑基础底板与地基之间的摩擦力对基础底板中建立轴向预压应力的影响及土与基础及上部结构的相互作用影响,并应对基础受力状况进行严格分析后确定等效荷载值;3 基础板中的无粘结预应力筋应布置在两层普通钢筋的内侧,混凝土保护层厚度及防水隔离层做法等应符合现行国家标准《混凝土结构设计规范》GB 50010等的规定;4 基础中的预应力筋可按设计要求分期分批施加预应力;5 普通钢筋的配置应符合控制基础板温度、收缩裂缝的构造要求。
5.3.11 现浇板柱节点形式及构造设计应符合下列规定:1 无粘结预应力筋和按本规程第5.3.4条规定配置的纵向普通钢筋应正交穿过板柱节点。2 对柱支承密肋板结构,在板柱节点周围应做成实心板,其宽度不应小于冲切破坏锥体的宽度;采用箍筋、锚栓、弯起钢筋或剪力架加强节点的受冲切承载能力时,其宽度不应小于加强件的延伸长度。
3 板柱结构、板柱-框架结构及板柱-抗震墙结构中,采取在板柱节点处的板中配置抗冲切钢筋、增加板厚、增加结构的侧向刚度等措施提高板柱节点抗冲切承载能力时,应符合下列规定:1)设置柱帽或平托板(图5.3.11a)时,平托板的长度和厚度,以及柱帽尺寸和厚度应按受冲切承载力的要求确定,并应符合本规程第5.3.12条的规定;2)配置抗冲切箍筋或弯起钢筋时,可设置穿过柱截面布置于板内的暗梁(图5.3.11b),暗梁上部钢筋不应少于暗梁宽度范围内柱上板带所需非预应力纵向钢筋,且直径不应小于16mm,下部钢筋直径也不应小于16mm;3)配置抗冲切锚栓时,应符合本规程第5.3.19条~第5.3.22条的规定;4)设置穿过柱截面的型钢剪力架(图5.3.11c)时,应符合本规程第5.3.23条~第5.3.26条的规定;5)配置抗冲切钢筋时宜优先选用抗冲切锚栓。

图5.3.11 节点形式及构造示意 1-局部加厚板;2-柱;3-抗剪箍筋;4-工字钢或槽钢
5.3.12 板柱节点的形状与尺寸应包容45°的冲切破坏锥体,并应满足受冲切承载力的要求。板柱节点可采用带柱帽、托板或柱帽与托板结合的结构形式,并应符合下列规定:1 采用柱帽(图5.3.12a)或托板(图5.3.12b)的形式时,柱帽的高度不应小于板的厚度h;托板的厚度不应小于h/4。柱帽高度或托板厚度与板厚之和不宜小于16d。柱帽或托板在平面两个方向上的尺寸均不宜小于同方向上柱截面宽度b加4h的数值。d为柱中主筋的最大直径。2 采用柱帽与托板结合(图5.3.12c)的形式时,柱帽与托板的总高度不应小于板的厚度h;托板的厚度不宜小于h/4。柱帽高度、托板厚度与板厚之和不宜小于16d;托板在平面两个方向上的尺寸均不宜小于同方向上柱截面宽度b加4h的数值。d为柱中主筋的最大直径。

图5.3.12 带柱帽或托板的板柱节点冲切示意
5.3.13 板柱节点应验算下列截面的受冲切承载力:1 局部荷载或集中反力作用面积周边h0/2处;2 截面厚度发生变化处;3 配置抗冲切钢筋时,配置抗冲切钢筋的冲切破坏锥体以外h0/2处。
5.3.14 板柱结构在竖向荷载、水平荷载作用下,当考虑板柱节点计算截面上的剪应力传递不平衡弯矩时,其集中反力设计值Fl应以等效集中反力设计值Fl,eq代替。
5.3.15 板柱结构的双向板开有孔洞或局部荷载邻*平近**板的自由边,计算其受冲切承载力时临界截面周长um的取值应符合下列规定:1 孔洞至局部荷载或集中反力作用面积边缘的距离不大于6h0时,um应扣除局部荷载或集中反力作用面积中心至开孔外边两条切线之间所包含的长度ld(图5.3.15a),当l1大于l2时,孔洞边长l2应用

代替。2 局部荷载或集中反力邻*平近**板的自由边时,对边柱um可取为2(la+lb)和(la+2lb+2lc)二值中的较小值(图5.3.15b);对角柱um可取为2(la+lb)和(la+lb+lc1+lc2)二值中的较小值(图5.3.15c)。
图5.3.15 临界截面周长计算示意 1-孔洞;2-局部荷载或集中反力作用面;3-按中柱确定的临界截面周长;4-应扣除的长度ld;5-自由边;6-由垂直于板边的直线确定的临界截面周长
5.3.16 在局部荷载或集中反力作用下,配置或不配置箍筋和弯起钢筋的无粘结预应力混凝土平板的受冲切承载力计算,应符合现行国家标准《混凝土结构设计规范》GB 50010的有关规定。
5.3.17 混凝土平板中配置抗冲切箍筋应符合下列构造要求:1 板的厚度不应小于200mm。2 按计算所需的箍筋及相应的架立钢筋应配置在与45°冲切破坏锥面相交的范围内,且从集中荷载作用面或柱截面边缘向外的分布长度不应小于1.5h0(图5.3.17);箍筋直径不应小于6mm,且应做成封闭式,间距不应大于h0/3,且不应大于100mm。

图5.3.17 板中用箍筋作抗冲切钢筋布置示意 1-架立钢筋;2-冲切破坏锥面;3-箍筋
5.3.18 板柱结构在竖向荷载、水平荷载作用下,当板柱节点的受冲切承载力不满足公式(5.3.18-1)的要求且板厚受到限制时,可在板柱节点中配置抗冲切锚栓。计算时,系数η应按公式(5.3.18-2)和(5.3.18-3)分别计算,并取η1和η2中的较小值。


式中:Fl,eq——距柱周边h0/2处的等效集中反力设计值(N),当无不平衡弯矩时,对板柱结构的节点,取柱所承受的轴向压力设计值层间差值减去冲切破坏锥体范围内板所承受的荷载设计值;当有不平均弯矩时,应符合本规程第5.3.14条的规定;ft——混凝土轴心抗拉强度设计值(N/mm2);σpc,m——计算截面周长上两个方向混凝土有效预压应力按长度的加权平均值(N/mm2),宜控制为1.0N/mm2~3.5N/mm2;um——计算截面的周长(mm),取距离局部荷载或集中反力作用面积周边h0/2处板垂直截面的最不利周长;
h0——截面有效高度(mm),取两个配筋方向的截面有效高度的平均值;η1——局部荷载或集中反力作用面积形状的影响系数;η2——计算截面周长与板截面有效高度之比的影响系数;βs——局部荷载或集中反力作用面积为矩形时的长边与短边尺寸的比值,βs不宜大于4;当βs小于2时,βs取为2;当面积为圆形时,βs取为2;αs——板柱结构中柱类型的影响系数,对中柱,取为40;对边柱,取为30;对角柱,取为20。
5.3.19 配置锚栓的无粘结预应力混凝土板柱节点,其受冲切截面及受冲切承载力应符合下列规定:1 受冲切截面的尺寸应满足下式的要求:

2 受冲切截面的受冲切承载力应满足下式的要求:

式中:s——锚栓间距(mm);fyv——锚栓抗拉强度设计值(N/mm2),其数值大于360N/mm2时应取为360N/mm2;Asv——与柱面距离相等围绕柱一圈内锚栓的截面面积(mm2)。3 对配置抗冲切锚栓的冲切破坏锥体以外的截面,其受冲切承载力应符合本规程公式(5.3.18-1)的规定。
5.3.20 在混凝土板柱节点中配置锚栓时,应符合下列规定(图5.3.20-1):

图5.3.20-1 矩形柱周边抗冲切锚栓排列示意 1-柱;2-板边
1 混凝土板的厚度不应小于150mm;2 锚栓的锚头可采用方形或圆形板,其面积不应小于锚杆截面面积的10倍;3 锚头板和底部钢条板的厚度不应小于0.5d,钢条板的宽度不应小于2.5d,d为锚杆的直径(图5.3.20-2a);
图5.3.20-2 板中抗冲切锚栓布置示意 1-锚头板;2-焊缝;3-冲切破坏锥面;4-锚栓;5-受弯钢筋;6-底部钢条板
4 里圈锚栓与柱边之间的距离s0不应小于50mm,且不应大于0.35h0;5 锚栓圈与圈之间的距离s不应大于0.5h0;6 锚栓沿柱边长方向的距离g不应大于2h0;7 按计算所需的锚栓应配置在与45°冲切破坏锥面相交的范围内,且从柱截面边缘向外的分布长度不应小于1.5h0(图5.3.20-2b);8 锚栓的最小混凝土保护层厚度与纵向受力钢筋相同;锚栓的混凝土保护层不应超过纵向受力钢筋的混凝土保护层厚度与纵向受力钢筋半径之和(图5.3.20-2c)。
5.3.21 配置型钢剪力架时,型钢剪力架的型钢高度不应大于其腹板厚度的70倍;剪力架每个伸臂末端可削成与水平呈30°~60°的斜角;型钢的全部受压翼缘应位于距混凝土板的受压边缘0.3h0范围内;板的受冲切承载力应满足下式要求:

5.3.22 型钢剪力架每个伸臂的刚度与混凝土组合板换算截面刚度的比值αa应满足下列公式要求:

式中:Ia——型钢截面惯性矩(mm4);Io,cr——组合板裂缝截面的换算截面惯性矩(mm4),按型钢和普通钢筋的换算面积以及混凝土受压区的面积计算确定,此时组合板截面宽度取垂直于所计算弯矩方向的柱宽bc与板的有效高度h0之和。
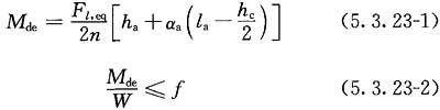
5.3.23 型钢剪力架每个伸臂根部的弯矩设计值Mde及受弯承载力应满足下列公式要求:

式中:ha——剪力架每个伸臂型钢的全高(mm);hc——计算弯矩方向的柱子尺寸(mm);n——型钢剪力架相同伸臂的数目;f——钢材的抗拉强度设计值(N/mm2),按现行国家标准《钢结构设计规范》GB 50017有关规定取用;W——型钢剪力架验算截面受拉边缘的弹性抵抗矩(mm3)。
5.3.24 工字钢焊接剪力架(图5.3.24a)和槽钢焊接剪力架(图5.3.24b)的伸臂长度可按下列公式计算。
图5.3.24 剪力架及其计算冲切面示意 1-设计截面周长;2-工字钢;3-槽钢
式中:um,de——设计截面周长(mm);Fl,eq——距柱周边h0/2处的等效集中反力设计值(N),当无不平衡弯矩时,对板柱结构的节点取柱所承受的轴向压力设计值层间差值减去冲切破坏锥体范围内板所承受的荷载设计值;当有不平衡弯矩时,应符合本规程第5.3.14条的规定;bc——方形柱的边长(mm);h0——板的截面有效高度(mm);η——考虑局部荷载或集中反力作用面积形状、临界截面周长与板截面有效高度之比的影响系数,应按本规程公式(5.3.18-2)、公式(5.3.18-3)计算,并取其中的较小值。
5.4 体外预应力梁
5.4.1 体外束可采用直线、双折线或多折线布置方式,且应使结构对称受力。对矩形或I字形截面梁,体外束应布置在梁的两侧;对箱形截面梁,体外束应对称布置在梁腹板的内侧。
5.4.2 体外束仅在锚固区及转向块处与混凝土梁相连接,其设计应满足下列要求:1 体外束锚固区和转向块的设置应根据体外束的设计线型确定。对多折线体外束,转向块宜布置在距梁端1/4至1/3跨度的范围内;对多跨连续梁采用多折线体外束时,可在中间支座或其他部位增设锚固块或转向块。2 体外束的自由段长度不应大于8m,超过时应增设约束支架。3 体外束在每个转向块处的弯折转角不应大于15°,转向块处最小曲率半径宜按表5.4.2采用,钢绞线根数为表列数值的中间值时,可按线性内插法确定;体外束与转向块的接触长度应由设计计算确定。用于制作体外束的钢绞线,应按偏斜拉伸试验方法确定其力学性能。
表5.4.2 转向块处最小曲率半径

4 体外束的锚固区应进行局部受压承载力计算。
5.4.3 当满足本规程第5.4.2条及下列计算要求时,配置体外束的混凝土结构构件的承载力计算和构造规定可按现行国家标准《混凝土结构设计规范》GB 50010的有关规定执行,其预应力损失值计算及变形、抗裂和应力验算应按本规程第5.1节的有关规定执行。1 体外无粘结预应力筋的张拉控制应力值σcon不宜超过0.6fptk,且不应小于0.4fptk;当要求部分抵消由于应力松弛、摩擦、分批张拉等因素产生的预应力损失时,张拉控制应力限值可提高0.05fptk。2 体外多根无粘结预应力筋组成的集束在转向块处的摩擦系数可按本规程表5.1.8采用。3 对采用体外预应力筋的受弯构件,在进行正截面受弯承载力计算时,体外预应力筋的应力设计值σpu宜按下式计算,计算值不应大于fpy。

4 体外预应力结构构件的裂缝控制等级及最大裂缝宽度限值可按现行国家标准《混凝土结构设计规范》GB 50010中关于钢筋混凝土构件的规定执行。
5.4.4 在计算体外预应力混凝土梁的斜截面受剪承载力时,其剪力设计值的计算截面应包括体外预应力筋锚固处、转向块等处的截面。
5.4.5 转向块和锚固块连接部位的混凝土应进行受冲切承载力和局部受压承载力计算。计算局部压力设计值时,应按本规程第5.1.18条的规定执行。
5.4.6 体外束的锚固块和转向块的构造应符合下列规定:1 体外束的锚固块宜设置在梁端,应保证传力可靠且变形符合设计要求。2 在混凝土矩形、T形、I形或箱形截面梁中,转向块可设在结构体外或箱形梁的箱体内。转向块处的钢套管鞍座应预先弯曲成型。3 对可更换的体外束,在锚固块和转向块处,与结构相连接的预埋套管应与体外束的外套管分离。
5.4.7 体外束及锚固区应进行防腐蚀保护。体外束的防腐保护宜采用本规程第6.4.1条规定的无粘结预应力钢绞线束多层防腐蚀体系,并应符合国家现行有关标准对防火设计的规定。
5.5 无粘结预应力纤维筋混凝土受弯构件
5.5.1 无粘结预应力纤维筋张拉控制应力σcon的限值应符合表5.5.1的规定。
表5.5.1 预应力纤维筋的张拉控制应力σcon限值
|
纤维筋类型 |
σcon下限值 |
σcon上限值 |
|
碳纤维筋 |
0.40ffpk |
0.65ffpk |
|
芳纶纤维筋 |
0.35ffpk |
0.55ffpk |
5.5.2 无粘结预应力纤维筋因锚具变形和预应力筋内缩引起的预应力损失值σl1可按下列规定计算:1 直线预应力纤维筋:

式中:a——张拉端锚具变形和纤维筋内缩值(mm),有实测数据时应取实测值,无实测数据时,对粘结型锚具可取为1mm~2mm,对夹片型锚具可取为8mm;l——张拉端至锚固端之间的距离(mm);Efp——无粘结预应力纤维筋的弹性模量(N/mm2)。2 曲线或折线预应力纤维筋,σl1可按本规程附录B的有关规定计算。
5.5.3 无粘结预应力纤维筋与孔道壁间的摩擦引起的预应力损失值σl2可按本规程第5.1.8条的规定进行计算,其中,摩擦系数μ可取为0.09,考虑无粘结预应力筋护套壁每米长度局部偏差对摩擦的影响系数k可取为0.004,有实测数据时宜取实测值。
5.5.4 无粘结预应力纤维筋的松弛损失σl4可按下式计算:

式中:r——松弛损失率。对于设计使用年限为50年的预应力纤维筋受弯构件,可按表5.5.4的数值取用;芳纶纤维筋张拉锚固前应进行持荷,持荷时间应超过一小时,未进行持荷时,表中松弛损失率应取为20.0%。有实测数据时,宜按实测数据采用。
表5.5.4 预应力纤维筋的松弛损失率r
|
纤维筋类型 |
松弛损失率r(%) |
|
碳纤维筋 |
2.2 |
|
芳纶纤维筋 |
16.0 |
5.5.5 无粘结预应力纤维筋因预应力作用下混凝土收缩和徐变引起的预应力损失σl5可按下列公式计算:

式中:σpc——预应力纤维筋合力点处的混凝土法向压应力(N/mm2);Efp——无粘结预应力纤维筋的弹性模量(N/mm2);ρ——预应力纤维筋和非预应力筋的配筋率;f′cu——施加预应力时的混凝土立方体抗压强度(N/mm2);As——纵向受拉非预应力筋的截面面积(mm2);Afp——预应力纤维筋的截面面积(mm2);An——净截面面积(mm2),即扣除孔道、凹槽等削弱部分以外的混凝土全部截面面积及纵向非预应力筋截面面积换算成混凝土的截面面积之和;对于不同混凝土强度等级组成的截面,应根据混凝土弹性模量比值换算成同一混凝土强度的截面面积。
5.5.6 无粘结预应力纤维筋混凝土梁的受拉区纵向普通钢筋的配置应符合本规程第5.2.1条的规定。
5.5.7 无粘结预应力纤维筋混凝土受弯构件的正截面受弯承载力应符合现行国家标准《混凝土结构设计规范》GB 50010的有关规定,并应符合本规程第5.2.2条的规定。在进行正截面承载力计算时,无粘结预应力筋的应力设计值σfpu宜按下列公式计算,计算值应不小于σfpe且不大于ffpd。ffpd为无粘结预应力纤维筋抗拉强度设计值。

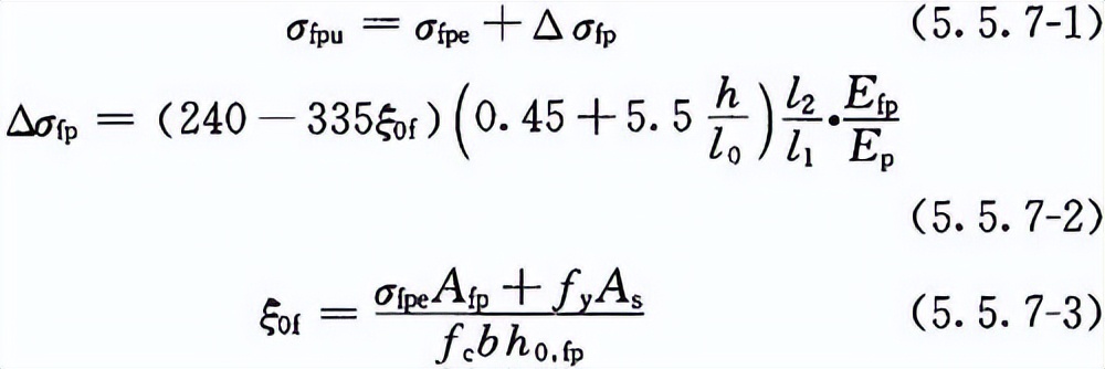
式中:fy——受拉区钢筋的抗拉强度设计值(N/mm2);As——受拉区所配钢筋的截面面积(mm2);Afp——无粘结预应力纤维筋的截面面积(mm2);Efp——无粘结预应力纤维筋的弹性模量(N/mm2);ξ0f——综合配筋指标,不宜大于0.4;对于连续梁、板,取各跨内支座和跨中截面综合配筋指标的平均值;h0,fp——无粘结预应力纤维筋面积重心至受压边缘的距离(mm);b——构件截面宽度(mm);σfpe——无粘结预应力纤维筋扣除应力损失后的有效预应力(N/mm2)。
5.5.8 无粘结预应力纤维筋混凝土受弯构件的斜截面受剪承载力应符合现行国家标准《混凝土结构设计规范》GB 50010的有关规定。
5.5.9 无粘结预应力纤维筋混凝土受弯构件的裂缝宽度和变形可根据本规程第5.1.14条~第5.1.18条的相关规定进行计算。
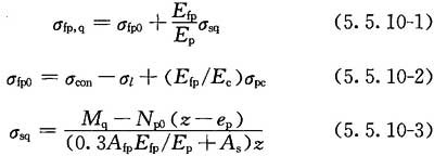
5.5.10 荷载效应准永久组合下,无粘结预应力纤维筋的应力σfp,q应按下列公式计算:

式中:σfp,q——荷载效应准永久组合下,无粘结预应力纤维筋的应力(N/mm2),不宜大于ffpk/(γfcγe),ffpk为纤维筋的抗拉强度标准值(N/mm2);γfc——正常使用状态下预应力纤维筋的徐变断裂折减系数,对碳纤维筋为1.4,对芳纶纤维筋为2.0;
γe——纤维筋的环境影响系数,按本规程表4.2.6取值。σfp0——扣除全部预应力损失后的无粘结预应力纤维筋有效预应力(N/mm2);σsq——按荷载效应的准永久组合计算的非预应力钢筋应力(N/mm2);Mq——按荷载效应的准永久组合计算的弯矩值(N·mm);σcon——无粘结预应力纤维筋张拉控制应力(N/mm2);σl——无粘结预应力纤维筋总损失(N/mm2);Efp——无粘结预应力纤维筋弹性模量(N/mm2);Ep——无粘结预应力钢绞线弹性模量(N/mm2);Afp——受拉区纵向无粘结预应力纤维筋截面面积(mm2);Ec——混凝土弹性模量(N/mm2);
σpc——受拉区无粘结预应力纤维筋合力点处混凝土法向压应力(N/mm2);Np0——计算截面上混凝土法向预应力等于零时的预加力(N);ep——Np0的作用点至受拉区纵向预应力和普通钢筋合力点的距离(mm);z——受拉区纵向普通钢筋和预应力筋合力点至截面受压区纵向普通钢筋和预应力筋合力点的距离(mm);As——受拉区纵向普通钢筋截面面积(mm2)。
5.6 无粘结预应力超长结构
5.6.1 超长混凝土结构在采用无粘结预应力技术减小混凝土收缩和降温作用的影响时,应合理布置预应力筋,同时宜采取优化混凝土配合比、配置温度构造钢筋、设置后浇带、加强养护和保温等配套措施。
5.6.2 在计算混凝土收缩和温度作用产生的内力时,可将混凝土收缩折算为当量温差,对整体结构模型采用弹性或弹塑性分析方法进行计算,并应符合下列规定:1 采用弹性方法计算时,应考虑徐变的影响;2 计算温度作用下结构内力,以及将混凝土收缩量折算成当量温差时,混凝土线膨胀系数αc宜取1×10-5/℃;3 混凝土的收缩量宜根据当地工程经验确定;无工程经验时,可按现行国家标准《混凝土结构设计规范》GB 50010的相关规定取用;4 温度作用宜取为结构最高初始平均温度与结构最低平均温度之差。
5.6.3 超长结构中无粘结预应力筋的布置应符合下列规定:1 楼盖或屋盖内的预应力效应宜连续,楼板中的有效预压应力宜为0.7N/mm2~3.0N/mm2,预应力筋间距宜为200mm~1000mm;2 施加预应力时,应考虑竖向构件的侧向约束作用;3 设置后浇带时,后浇带封闭之前宜先对后浇带分隔的各结构段分别施加预应力;4 用于减小混凝土收缩和温度作用效应的预应力筋宜兼作梁或板的受力钢筋。
5.6.4 超长结构设置后浇带时宜符合下列规定:1 后浇带间距不宜大于60m,留设时间不宜少于45d;2 跨过后浇带的楼板和墙体水平钢筋宜断开;3 后浇带宽度不宜小于1500mm;4 后浇带宜选择环境温度较低时进行封闭,并宜采用补偿收缩混凝土。
5.6.5 无粘结预应力超长结构中应配置防裂构造钢筋,防裂构造钢筋可利用原有钢筋贯通布置,也可另行设置并与原有钢筋搭接或在周边构件中锚固。防裂构造钢筋应符合下列规定:1 梁两个侧面应沿腹板高度配置纵向构造钢筋,每侧纵向构造钢筋的间距不宜大于200mm,配筋率不宜小于0.15%;2 在楼板的上表面应双向配置,配筋率均不宜小于0.1%,间距不宜大于200mm;3 楼板平面的瓶颈部位宜适当增加板厚或提高配筋率;4 沿板的洞边、凹角部位及楼电梯井筒周边楼板中宜加配防裂构造钢筋。
5.6.6 无粘结预应力超长结构应考虑预应力张拉、混凝土收缩和温度变化对竖向构件的影响,结构外围竖向构件的配筋宜加强。
6 施工及验收
6.1 无粘结预应力筋的制作、包装及运输
6.1.1 单根无粘结预应力筋的制作应采用挤塑成型工艺,并应由专业化工厂生产,涂料层的涂敷和护套的制作应一次连续完成,防腐涂层应完全填充预应力筋与护套之间的环形空间。
6.1.2 挤塑成型后的无粘结预应力筋应按工程所需的长度和锚固形式进行下料和组装,并应采取防止防腐涂层从预应力筋的端头溢出的措施。
6.1.3 无粘结预应力筋下料长度,应综合考虑其曲率、锚固端保护层厚度、张拉伸长值及混凝土压缩变形等因素,并应根据不同的张拉方法和锚固形式预留张拉长度。
6.1.4 无粘结预应力筋的包装、运输、保管应符合下列规定:1 不同规格、品种的无粘结预应力筋,均应有易于区别的标记;2 无粘结预应力筋在工厂加工成型后,可整盘包装运输或按设计下料组装后成盘运输,整盘运输时应采取可靠保护措施,避免包装破损及散包;工厂下料组装后,宜单根或多根合并成盘后运输,长途运输时,应采取有效的包装措施;3 装卸吊装及搬运时,严禁摔砸踩踏,严禁钢丝绳或其他坚硬吊具与无粘结预应力筋的外包层直接接触;4 无粘结预应力筋应按规格、品种成盘或顺直地分开堆放在通风干燥处,露天堆放时,不得直接与地面接触,并应采取覆盖措施。
6.2 无粘结预应力筋的铺放和混凝土浇筑
6.2.1 无粘结预应力筋铺放之前,应及时检查其规格尺寸和数量,逐根检查并确认其端部组装配件可靠无误后,方可在工程中使用。对护套轻微破损处,可采用外包防水聚乙烯胶带进行修补,每圈胶带搭接宽度不应小于胶带宽度的1/2,缠绕层数不应少于2层,缠绕长度应超过破损长度30mm。
6.2.2 张拉端端部模板预留孔应按施工图纸规定的无粘结预应力筋的位置编号和钻孔。
6.2.3 张拉端的承压板应固定牢固,且应保持张拉作用线与承压板面相垂直。
6.2.4 无粘结预应力筋应按设计图纸的规定进行铺放。铺放时应符合下列规定:1 无粘结预应力筋可采用与普通钢筋相同的绑扎方法,铺放前应通过计算确定无粘结预应力筋的位置,其垂直高度宜采用支撑钢筋控制,也可与其他钢筋绑扎,支撑钢筋应符合本规程第6.2.5条的要求,无粘结预应力筋束形控制点的设计位置偏差应符合表6.2.4的规定;
表6.2.4 束形控制点的设计位置允许偏差
|
截面高度(mm) |
h≤300 |
300<h≤1500 |
h>1500 |
|
允许偏差(mm) |
±5 |
±10 |
±15 |
2 无粘结预应力筋宜保持顺直;3 铺放双向配置的无粘结预应力筋时,宜避免两个方向的无粘结预应力筋相互穿插铺放,应对纵横筋每个交叉点相应的两个标高进行比较,对各交叉点标高较低的无粘结预应力筋应先进行铺放,标高较高的次之;4 敷设的各种管线不应将无粘结预应力筋的垂直位置抬高或压低;5 当采取集束配置多根无粘结预应力筋时,各根预应力筋应保持平行走向,防止相互扭绞;6 板中采用多根无粘结预应力筋平行带状布束时,每束不宜超过5根无粘结预应力筋,并应采取可靠的支撑固定措施,保证同束中各根无粘结预应力筋具有相同的矢高;带状束在锚固端应平顺地张开,并宜符合本规程第5.3.6条第5款有关无粘结预应力筋水平偏移的要求;7 无粘结预应力筋采取竖向、环向或螺旋形铺放时,应采用定位支架或其他构造措施控制位置。
6.2.5 在主梁、次梁和密肋板中,应设置无粘结预应力筋的定位支撑钢筋。(2~4)根无粘结预应力筋组成的集束预应力筋,定位支撑钢筋的直径不宜小于10mm,5根或更多无粘结预应力筋组成的集束预应力筋,其直径不宜小于12mm,间距均不宜大于1.0m;用于支撑平板中单根无粘结预应力筋的定位支撑钢筋,间距不宜大于2.0m。
6.2.6 在板内无粘结预应力筋绕过开洞处的铺放位置应符合本规程第5.3.6条的规定。
6.2.7 夹片锚具系统张拉端和固定端的安装,应符合下列规定:1 张拉端锚具系统安装时,无粘结预应力筋的外露长度应根据张拉机具所需的长度确定;无粘结预应力曲线筋或折线筋末端的切线应与承压板相垂直,曲线段的起始点至张拉锚固点应有不小于300mm的直线段;单根无粘结预应力筋要求的最小弯曲半径对直径12.7mm和直径15.2mm钢绞线分别不宜小于1.5m和2.0m。安装带有穴模或其他预先埋入混凝土中的张拉端锚具时,各部件之间不应有缝隙。
2 固定端锚具系统安装时,应将组装好的固定端锚具按设计要求的位置绑扎牢固,内埋式固定端垫板不得重叠,锚具与垫板应贴紧。3 单根无粘结预应力筋在构件端面上的水平和竖向排列间距不宜小于60mm。张拉端和固定端均应按设计要求配置螺旋筋或钢筋网片,螺旋筋和网片均应紧靠承压板或连体锚板,并保证与无粘结预应力筋对中和固定可靠。
6.2.8 浇筑混凝土时,应符合下列规定:1 无粘结预应力筋铺放、安装完毕后,应进行隐蔽工程验收,当确认合格后方可浇筑混凝土;2 混凝土浇筑时,严禁踏压撞碰无粘结预应力筋、定位支撑钢筋以及端部预埋部件;3 其他工序施工时,严禁电气焊触及预应力系统;4 混凝土应振捣密实。
6.3 无粘结预应力筋的张拉、释放与封锚
6.3.1 无粘结预应力筋张拉设备应由专人使用和管理,并应定期维护和校验。张拉设备的校验应符合下列规定:1 张拉设备应配套校验。压力表的精度不应低于0.4级;校验张拉设备用的试验机或测力设备测力示值的不确定度不应大于1%;校验时千斤顶活塞的运行方向,应与实际张拉工作状态一致。2 张拉设备的校验期限,不应超过半年。当张拉设备出现反常现象时或千斤顶检修后,应重新校验。
6.3.2 安装张拉设备时,应使张拉力的作用线与无粘结预应力钢绞线中心线重合。
6.3.3 无粘结预应力钢绞线的张拉控制应力不宜超过0.75fptk,最大张拉应力不应大于0.80fptk,并应符合设计要求。对于无粘结预应力纤维筋,张拉控制应力应按本规程第5.5.1条取用。
6.3.4 当采用超张拉方法减少无粘结预应力筋的损失时,无粘结预应力筋的张拉程序宜为从应力为零开始张拉至1.03倍预应力筋的张拉控制应力并锚固。
6.3.5 当采用应力控制方法张拉时,无粘结预应力筋的应力增长速度不宜大于500MPa/min,并应校核无粘结预应力筋的伸长值。当实际伸长值与计算伸长值相对偏差超过±6%时,应暂停张拉,查明原因并采取措施调整后,方可继续张拉。无粘结预应力筋的实际伸长值,宜在初应力约为张拉控制应力的10%时开始量测,分级记录。其伸长值可由量测结果按下式确定:

[6.3.5]
式中:△l0p1——初应力至最大张拉力之间的实测伸长值(mm);△l0p2——初应力以下的推算伸长值(mm),可根据弹性范围内张拉力与伸长值成正比的关系推算确定;△lc——混凝土构件在张拉过程中的弹性压缩值(mm),对平均预压应力较小的板类构件,可略去不计。
6.3.6 无粘结预应力筋计算伸长值△lcp可按下式计算:

[6.3.6]
式中:Fpm——无粘结预应力筋的平均拉力值(N),取每段预应力筋张拉力扣除摩擦损失后的拉力的平均值;lp——无粘结预应力筋的长度(mm);Ap——无粘结预应力筋的截面面积(mm2);Ep——无粘结预应力筋的弹性模量(N/mm2)。
6.3.7 无粘结预应力钢绞线张拉过程中应避免出现钢绞线滑脱或断丝。发生滑脱时,滑脱的钢绞线数量不应超过构件同一截面钢绞线总根数的3%;发生断丝时,断丝的数量不应超过构件同一截面钢绞线钢丝总数的3%,且每根钢绞线断丝不得超过一丝;对多跨双向连续板,其同一截面应按每跨计算。
6.3.8 无粘结预应力构件的侧模可在张拉前拆除,下部支撑体系的拆除顺序应符合设计的规定。无粘结预应力筋张拉时,混凝土同条件立方体试块抗压强度应满足设计要求;当设计无具体要求时,不应低于设计混凝土强度等级值的75%。
6.3.9 无粘结预应力筋的张拉顺序应符合设计要求。设计无要求时,可采用分批、分阶段对称张拉或依次张拉,并应保证各阶段不出现对结构不利的应力状态。确定张拉力时宜考虑后批张拉的无粘结预应力筋产生的结构构件的弹性压缩对先批张拉预应力筋的影响,可将先批张拉筋的张拉控制应力值σcon增加αEσpci;对无粘结预应力平板,可将张拉控制应力值σcon增加0.5αEσpci。此处,αE为无粘结预应力筋弹性模量与混凝土弹性模量之比,σpci为后批张拉筋在先批张拉筋重心处产生的混凝土法向应力。
6.3.10 无粘结预应力筋设计为两端张拉时,宜采取两端同时张拉工艺。
6.3.11 无粘结预应力筋张拉时,应逐根填写张拉记录表,记录表可采用本规程附录D的格式。
6.3.12 夹片锚具张拉时,应符合下列规定:1 张拉前应清理承压板面,并应检查承压板后面的混凝土质量;2 锚固采用液压顶压器顶压时,千斤顶应在保持张拉力的情况下进行顶压,顶压压力应符合设计规定值;3 锚固阶段张拉端无粘结预应力筋的内缩量应符合设计要求;当设计无要求时,其内缩量不应大于本规程第5.1.6条规定的数值;4 为减少锚具变形和预应力筋内缩造成的预应力损失进行二次补拉并加垫片时,二次补拉的张拉力为控制张拉力。
6.3.13 无粘结预应力筋采取集团束配置并在张拉端采用群锚时,在浇筑混凝土前应对无粘结预应力筋的相互关系准确定位,钢绞线与锚孔应准确对中,且整束无粘结预应力筋宜整体同步进行张拉。对平行排放的无粘结预应力筋集团束,可采用小型千斤顶逐根张拉,但应考虑无粘结预应力筋分批张拉对有效预应力的影响。
6.3.14 张拉后的预应力筋释放张拉力时,应采用专用的卸载工具对预应力筋张拉力进行释放;释放时,应制定施工方案和安全保护措施。
6.3.15 张拉后宜采用砂轮锯或其他机械方法切割多余的无粘结预应力筋,不得采用电弧焊切割,其切断后露出锚具夹片外的长度不宜小于预应力筋直径的1.5倍,且不应小于30mm。
6.3.16 张拉后的锚具,应及时按本规程第3.2节的有关规定进行防护处理。
6.4 体外预应力施工
6.4.1 无粘结预应力钢绞线束多层防腐蚀体系应由多根平行的无粘结预应力筋外套高密度聚乙烯管或镀锌钢管组成,管内应采用水泥灌浆或防腐油脂保护。防腐蚀材料应符合下列规定:1 对于水泥基浆体材料,其灌浆浆体的质量要求应符合现行国家标准《水泥基灌浆材料应用技术规范》GB/T 50448的规定,且应能填满外套管和连续包裹无粘结预应力筋的全长,并避免产生气泡;2 专用防腐油脂的质量应符合现行行业标准《无粘结预应力筋用防腐润滑脂》JG/T 430的规定;3 体外束采用工厂预制时,其防腐蚀材料在加工、运输、安装及张拉过程中,应能保证具有稳定性、柔性和不产生裂缝,在所要求的温度范围内不应流淌。
6.4.2 体外束的保护套管应采用高密度聚乙烯管或镀锌钢管,并应符合下列规定:1 保护套管应能抵抗运输、安装和使用过程中的各种作用力,不得损坏。2 采用水泥灌浆时,管道应能承受1.0N/mm2的内压,其内径不应小于

,使用塑料管道时应考虑灌浆时温度的影响。Ap为体外束计及单根无粘结预应力筋塑料护套厚度的截面面积。3 采用专用防腐油脂等防腐化合物填充管道时,除应符合现行行业标准《无粘结预应力筋用防腐润滑脂》JG/T 430等有关标准规定的温度和内压外,在管道和防腐化合物之间,因温度变化发生的效应不应对钢绞线产生腐蚀作用。4 镀锌钢管的壁厚不宜小于管径的1/40,且不应小于2mm;高密度聚乙烯管的壁厚宜为2mm~5mm,且应具有抗紫外线功能。
6.4.3 体外束保护套管的安装应保证连接平滑和完全密封防水,体外束的线型和安装误差应符合设计要求,在穿束过程中应防止保护套管受到机械损伤。
6.4.4 在转向块鞍座出口处应进行倒角处理形成圆滑过渡;转向块的偏转角制造误差应小于1.2°,安装误差应小于5%,也可采用可调节的转向块。
6.4.5 体外束的锚固体系、在锚固区体外束与锚固装置的连接应符合下列规定:1 体外束的锚固体系应按使用环境类别和结构部位等设计要求选用,可采用后张锚固体系或体外束专用锚固体系,其性能应符合现行国家标准《预应力筋用锚具、夹具和连接器》GB/T 14370的规定。2 有整体调束要求的钢绞线夹片锚固体系,可采用外螺母支撑承力方式调束;处于低应力状态下的体外束,锚具夹片应设防松装置;可更换的体外束,应采用体外束专用锚固体系,且应在锚具外预留钢绞线束的张拉工作长度。3 体外束应与承压板相垂直,其曲线段的起始点至张拉锚固点的直线段长度不宜小于600mm。4 在锚固区附近体外束最小曲率半径宜符合本规程表5.4.2的规定。
6.4.6 体外束的锚固区和转向块应与主体结构同时施工,预埋的锚固件及管道的位置和方向应符合设计要求。
6.4.7 当采用水泥灌浆防护时,无粘结预应力筋体外束宜在灌浆后进行张拉施工;采取措施将单根无粘结预应力筋定位并可靠传力时,也可在张拉后进行灌浆施工。
6.4.8 布置在梁两边体外束的张拉,应保证受力均匀和对称,以免梁发生侧向弯曲或失稳。
6.4.9 体外束张拉锚固后,应对锚具及外露预应力筋进行防腐处理。处于腐蚀环境时,应设置全密封防护罩。对不要求更换的体外束,可在防护罩内灌注环氧砂浆或其他防腐蚀材料;对可更换的体外束,应在防护罩内灌注专用防腐油脂或其他可清洗的防腐蚀材料。
6.4.10 当采用高密度聚乙烯管的体外束直接暴露在太阳辐射中时,护套材料性能应符合现行行业标准《建筑缆索用高密度聚乙烯塑料》CJ/T 297的规定。
6.4.11 当体外束有防火要求时,应涂刷防火涂料,并按设计要求采取其他可靠的防火措施。
6.4.12 体外束施工,除应符合本节规定外,尚应符合本章中无粘结预应力混凝土施工工艺及质量控制的有关规定。
6.5 无粘结预应力板开洞与拆除
6.5.1 既有无粘结预应力楼板开洞前应根据原结构设计的基本情况、使用功能,对原楼板的使用状态及预应力筋进行验算,保证原楼板的安全性能。
6.5.2 既有无粘结预应力楼板应根据开洞后的结构布置,对开洞的楼板及相邻的楼板进行内力与变形计算,并应按本规程第5章的规定验算无粘结预应力板开洞后的承载力、裂缝宽度、局部承压等,复杂板块可采用有限元方法进行分析计算;需要加固时应确定其加固方案,并对加固施工方案提出要求,洞口边可采用洞口平面内加边框梁或洞边加梁的加固措施。
6.5.3 切割预应力筋前,应根据原设计图纸及实际状况,计算预应力筋切割后的回缩长度。在预应力筋应力释放和切割时应采用专用工具对预应力筋临时锚固,并应采取安全防护措施,确保施工安全。
6.5.4 洞口边锚固区新浇筑混凝土达到张拉要求后应及时对应重新张拉的预应力筋进行张拉;重新张拉后,应按本规程第3.2节的有关规定对锚具进行防护处理。
6.5.5 无粘结预应力楼板拆除前,应先了解预应力筋的分布状况,制定具体的拆除和相关构件的支撑方案,并应有可靠的安全防护措施。拆除前宜先将应切断的预应力筋放松或采取措施降低其应力,严禁直接切断预应力筋。
6.6 工程验收
6.6.1 无粘结预应力分项工程的验收应符合现行国家标准《混凝土结构工程施工质量验收规范》GB 50204的有关规定。
6.6.2 无粘结预应力分项工程验收时,应提供下列文件和记录:1 经审查批准的施工组织设计和施工方案;2 设计变更文件;3 无粘结预应力筋质量证明文件和抽样检验报告;4 锚具、连接器质量证明文件和抽样检验报告;5 加工、组装无粘结预应力筋张拉端和固定端质量验收记录;6 无粘结预应力筋的安装质量验收记录;7 隐蔽工程验收记录;8 张拉时混凝土同条件养护立方体试件抗压强度试验报告;9 张拉设备配套校验报告;10 无粘结预应力筋张拉记录及质量验收记录;11 封锚记录;12 其他必要的文件与记录。
附录A 无粘结预应力筋数量估算
A.0.1 无粘结预应力筋截面面积可按公式(A.0.1)估算:

[A.0.1]
式中:Ap——无粘结预应力筋截面面积(mm2);σcon——无粘结预应力筋的张拉控制应力(N/mm2);σl,tot——无粘结预应力筋总损失的估算值(N/mm2),对板可取0.2σcon,对梁可取0.3σcon;Npe——无粘结预应力筋的总有效预加力(N)。
A.0.2 根据结构类型和正截面裂缝控制验算要求,无粘结预应力筋有效预加力值Npe,可按下列公式进行估算,并取其计算结果的较大值:

[A.0.2-1]

(A.0.2-2)
式中:Mk——按均布荷载的标准组合计算的弯矩值(N·mm);Mq——按均布荷载的准永久组合计算的弯矩值(N·mm);σctk,lim——荷载标准组合下的混凝土拉应力限值(N/mm2),可按本规程表3.1.9或本规程第A.0.3条规定采用;σctq,lim——荷载准永久组合下的混凝土拉应力限值(N/mm2),可按本规程表3.1.9或本规程第A.0.3条规定采用;W——构件截面受拉边缘的弹性抵抗矩(mm3);A——构件截面面积(mm2);ep——无粘结预应力筋重心对构件截面重心的偏心距(mm);β——系数,对简支结构,取为1.0;对连续结构的负弯矩截面,取为0.9,对连续结构的正弯矩截面,取为1.2。
A.0.3 对按三级允许出现裂缝控制的无粘结预应力混凝土连续梁和框架梁等,当满足本规程第5.2.1条普通钢筋最小截面面积要求时,可按下列经修正和提高后的名义拉应力值控制裂缝宽度:1 在荷载标准组合下,要求最大裂缝宽度wmax不大于0.2mm的构件,受拉边缘混凝土与裂缝宽度相应的名义拉应力,可按表A.0.3-1采用。
表A.0.3-1 混凝土名义拉应力限值(N/mm2)

2 表A.0.3-1中的名义拉应力限值尚应根据构件实际高度乘以表A.0.3-2规定的修正系数确定,当构件截面高度为表A.0.3-2所列数值的中间值时,可按线性内插法确定;对于组合构件,当在施工阶段的拉应力不超过表A.0.3-1的规定时,表A.0.3-2中的构件截面高度应采用截面全高。
表A.0.3-2 构件高度修正系数
|
构件截面高度(mm) |
≤400 |
600 |
800 |
≥1000 |
|
修正系数 |
1.0 |
0.9 |
0.8 |
0.7 |
3 当截面受拉区混凝土中配置的普通钢筋超过最小面积要求时,构件截面受拉边缘混凝土修正后的名义拉应力限值可提高。其增量按普通钢筋截面面积与混凝土截面面积的百分比计算,每增加1%,名义拉应力限值可提高3.0N/mm2,经修正和提高后的名义拉应力限值不应超过混凝土设计强度等级的1/4。
附录B 曲线无粘结预应力筋由锚具变形和无粘结筋内缩引起的预应力损失
B.0.1 抛物线形无粘结预应力筋可近似按圆弧形曲线预应力筋考虑。当其对应的圆心角θ不大于90°时(图B.0.1),反向摩擦影响长度lf及在lf范围内的预应力损失值σl1可按下列公式计算:


[B.0.1-1]

[B.0.1-2]
式中 σcon——无粘结预应力筋的张拉控制应力(N/mm2);rc——圆弧形曲线无粘结预应力筋的曲率半径(m);μ——无粘结预应力筋与护套壁之间的摩擦系数,按本规程表5.1.8采用;k——考虑护套壁每米长度局部偏差的摩擦系数,按本规程表5.1.8采用;x——张拉端至计算截面的距离(m);a——张拉端锚具变形和钢筋内缩值(mm),按本规程第5.1.6条采用。
B.0.2 端部为长度为l0的直线,而后由两条对应的圆心角θ不大于90°圆弧形曲线组成的无粘结预应力筋(图B.0.2),反向摩擦影响长度lf及在lf范围内的预应力损失值σl1可按下列公式计算:

[B.0.2-1]

(B.0.2-2)

(B.0.2-3)
当x ≤ l0 时

[B.0.2-4]
当l0 <x ≤l1 时

(B.0.2-5)
当l1 <x ≤ lf 时

(B.0.2-6)
式中:l1——无粘结预应力筋张拉端起点至反弯点的水平投影长度(m);i1——第一段圆弧形曲线无粘结预应力筋中应力近似直线变化的斜率;i2——第二段圆弧形曲线无粘结预应力筋中应力近似直线变化的斜率;rc1——第一段圆弧形曲线无粘结预应力筋的曲率半径(m);rc2——第二段圆弧形曲线无粘结预应力筋的曲率半径(m);σa——无粘结预应力筋在a点的应力(N/mm2);σb——无粘结预应力筋在b点的应力(N/mm2)。
B.0.3 当折线形无粘结预应力筋的锚固损失消失于折点c之外时(图B.0.3),反向摩擦影响长度lf及在lf范围内的预应力损失值σl1可按下列公式计算:


式中:i1——无粘结预应力筋在bc段中应力近似直线变化的斜率;i2——无粘结预应力筋在折点c以外应力近似直线变化的斜率;l1——张拉端起点至无粘结预应力筋折点c的水平投影长度(m)。

图B.0.3 折线形预应力筋的预应力损失值σl1
附录C 等效柱的刚度计算及等代框架计算模型
C.0.1 板柱结构按等代框架计算时,等代框架应由三部分组成:1)水平板带,包括在框架方向的梁;2)柱或其他竖向支承构件;3)在板带和柱间起弯矩传递作用的柱两侧的板条或边梁(图C.0.1)。

图C.0.1 等代框架示意 1-板格l2中心线;2-边板中心线;3-板边;4-内等代框架;5-边等代框架
C.0.2 柱的杆件长度lc可取为顶层板中线至底层板中线之间的距离;对于柱的截面惯性矩Ic,在板柱节点范围内,其惯性矩可取为无穷大;在节点范围以外,柱的截面惯性矩Ic可按毛截面面积计算。
C.0.3 柱两侧横向构件抗扭刚度kt可按下列公式计算:


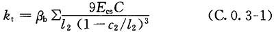
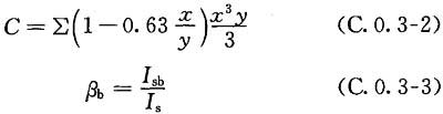
式中:Ecs——板的混凝土弹性模量(N/mm2);c2——垂直于板跨度l1方向的柱宽(mm);l2——垂直于板跨度l1方向的柱距(mm);C——柱两侧横向构件的抗扭惯性矩(mm4),可将图C.0.3所示垂直于跨度l2方向的横向构件的截面划分为若干个矩形,按公式(C.0.3-2)计算,并按不同划分方案取其中的最大值;βb——当等代框架方向有梁刚接于柱时,柱两侧横向构
图C.0.3 典型抗扭构件的宽度示意
件抗扭刚度的增大系数;对于无梁的柱支承板,取βb=1.0,对带梁的柱支承板,βb按公式(C.0.3-3)计算;Isb——等代框架梁宽度范围内跨中带梁板全截面的抗弯惯性矩(mm4);Is——等代框架梁宽度范围内楼板的截面抗弯惯性矩(mm4);x、y——分别为每一个矩形截面的短边与长边的几何尺寸(mm),仅有一个矩形时,x应取为h,y应取为c1。
C.0.4 等效柱(图C.0.4)的截面惯性矩Iec、线抗弯刚度kec按下列公式计算,kc为实际柱的线抗弯刚度。

图C.0.4 等代框架计算模型示意 1-节点

C.0.5 在等代框架中板梁杆件长度l1可取为柱中线之间的距离;在柱中线至柱边、托板边或柱帽边之间的截面惯性矩,可分别取为板梁在柱边、托板或柱帽边处的截面惯性矩除以(1—c2/l2)2(图C.0.4)。
附录D 无粘结预应力筋张拉记录表
D.0.1 无粘结预应力筋张拉记录表首页可按表D.0.1填写。
表D.0.1 无粘结预应力筋张拉记录表首页

D.0.2 无粘结预应力筋张拉记录表可按表D.0.2填写。
表D.0.2 无粘结预应力筋张拉记录表