
前段时间,有朋友问我,“混凝土结构设计中经验公式这么多,你最喜欢哪一个呢?这是一个有趣的问题。但却是一个不容易回答的问题。如果你问我最喜欢哪个数学公式,我可以脱口而出:
e^iπ+1=0
切换到混凝土结构设计,哪个公式最具代表性呢?我还真得想一想。
我想,这个公式至少应该具备如下几个特点:

基于以上四条,我在脑子里搜索了一番。结构设计中最伟大的经验公式,我选择如下这条:
As=M/(0.9* fy* h0)
下面解释我的理由。
首先,这确实是一条设计公式,这条公式明确地表述在设计规范中。虽然是在地基规范中出现,但其实被广泛应用于混凝土梁、板的配筋估算。
其次,它够简单。每个结构工程师都能闭眼写出这条公式,计算也仅仅是简单地乘除法运算。其力学原理就是弯矩=力X力臂,概念非常清晰。
再次,这条公式只涉及四个参数和一个常数。截面弯矩M、截面有效高度h0、钢筋屈服强度fy、钢筋截面面积As,这些都是混凝土结构设计中最基本但又最常用的四个参数。
唯一 一个常数0.9,反映的是工程师的常识和经验。根据经验删繁就简,以便捷的方式给出合理估算(比如地震反应谱、抗剪截面判别等),这是结构设计的一个基本思想。而0.9就是这种思想的体现。
最后,我们再来看看,这个公式帮我们解决了一个什么样的问题?
混凝土结构设计,最关键的一项任务就是根据内力得到配筋。而这条公式,在截面弯矩和截面配筋之间,架起了一道桥梁。知道了截面弯矩和截面参数,就可以快速估算截面配筋。这对结构工程师来说,是非常重要的。

当然,这条公式的厉害之处,还不止于此。我们继续讨论。
第一条,先说0.9,我们看看0.9的背后隐藏着什么?
相比其他纯经验公式,此处的0.9是可以被验证的,因为我们有更准确只是相对复杂的抗弯配筋计算公式。
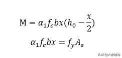
我们知道,这条公式主要适用于不考虑压区钢筋的单筋矩形截面。相对准确的计算公式是这样的:

要求得As,需要解一个一元二次方程,先得到受压区高度x。
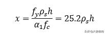
我们来做个变形。用配筋率来表达As,通过第二个式子可以求出受压区高度。通常情况下,对梁板来说,混凝土采用C30,钢筋采用三级钢。因此,受压区高度就是一个与配筋率相关的函数。

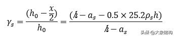
接着,我们对第一个式子做变形。



你会发现,最后这个式子就是0.9的含义。混凝土教材中,把此处的γs称作内力臂系数。
给定截面高度h、as、以及配筋率ρs,我们就可以计算γs。我测算了常用的梁板截面及配筋,γs基本介于0.85~0.95.
对梁来说,配筋率越大,尤其需要采用双排布筋的时候,γs与0.9的偏差越大(小于0.9);对板来说,配筋率越小,γs与0.9的偏差越大(大于0.9)。
如果要选择一个经验数字估算函数γs,0.9应该说是靠谱的。
有人说,这个公式不能计算双筋截面,但如果你把抗压钢筋的作用从公式中分离出去,变形后的公式也是类似形式,0.9也是可以用的。
你看,这就是经验,我们用0.9封装了一套相对复杂的算法,虽然它并不准确,甚至比较粗糙,但在绝大多数情况下,它给出了一个可接受的精度。对工程师来说,这个工具就是有效的。
第二条,减小配筋用量,提高经济性,是结构设计中的一个重要目标。如何减少配筋,这条公式给出了思路,即减小弯矩,提高钢筋强度,加大截面高度。
我们分别看看这三条思路的应用场景。
通常情况下,设计功能确定,荷载基本也是确定的。减小截面弯矩大概有两种方式。
第一种,在总弯矩恒定的情况下,让弯矩变得更均匀,对应地,配筋均匀,总配筋量往往相对较小。
双向板VS单向板、双次梁VS单次梁、连续梁VS简支梁、柱距等跨VS不等跨,前者的弯矩比后者均匀,总配筋通常更少。
第二种,减小跨度。在板式结构中,柱帽可以看做平板的支座,加大柱帽,相当于减小了板跨。在基础设计中,也是类似的原理,筏板加厚区范围扩大,也相当于减少了筏板跨度,这都可以减少板的跨中弯矩。
在梁式结构中,梁端加腋,或者梁端设置斜撑,跨中弯矩也会有所减小。
当然,减小弯矩,本身是一个平衡问题。我们的目标是减小构件层面的最大弯矩,手段是控制构件各个截面的弯矩尽量相等。从配筋角度来说,相等的含义是弯矩与截面高度呈正比。
钢筋强度与弯矩控制的计算配筋呈简单的线性关系。四级钢比三级钢强度提高20%,而单位价格仅提高5%~8%,所以,对计算控制的构件,采用四级钢具有明显的经济效益。
相同条件下,提高钢筋强度,意味着减小配筋率,这对施工也是有好处的。
与提高混凝土强度不同,提高钢筋强度,最小配筋率反而会减小。
截面高度对计算配筋的影响呈线性关系。如果保持配筋恒定,截面高度与截面弯矩之间近似正比。
对一根简支梁来说,跨中弯矩最大,做成鱼腹梁可有效控制配筋。而对连续梁来说,支座加腋,可控制支座配筋。
第三条,在结构设计中,受限于建筑要求,我们的首要目标可能是控制构件截面高度。其方法也是三种,减小弯矩、提高钢筋强度、加大配筋。
从经济性角度来看,控制配筋率在合理范围,想要减小截面高度,最有效的思路就是减小弯矩,因为单纯提高配筋的话,可能导致挠度和裂缝成为截面设计的控制因素。
减小弯矩也有两种办法:一种是采用更均匀有效的结构布置,比如,跨度不变,双向板比单向板截面高度更小;连续梁比简支梁截面高度更小。
另一种是减小构件(梁)的荷载分担面积,即采用密肋梁。密肋梁结构进一步退化,就会变成板式结构,比如无梁楼盖、空心楼盖等。
第四条,经济性估算。
对普通楼盖来说,楼板、梁的单位面积成本取决于水平构件混凝土、钢筋的用量,进一步,取决于楼板的厚度、梁的高度及抗弯钢筋面积。
构件截面高度一般与跨度呈正比,所以,单位面积的混凝土用量与跨度近似呈正比。
计算弯矩与跨度的平方呈正比,结合上面这条公式,计算配筋与跨度呈正比。
因此,水平构件的单位面积成本大致与跨度呈正比关系。这条结论对工程师的概念判断也是很有用的。
一条短小精悍的公式,凝聚了工程师的智慧与经验,为我们的设计工作提供了简明开阔的想象空间,我喜欢这样的公式。
本文来自: JIE构生活 编辑:大象结构天琊
