
文字/编辑:知识中枢局

在不同的尺度上,从群体内到种间, 小鼠第一上磨牙表现出反复的前伸长 , 我们的研究使用一种新的定量方法来比较两种具有短或长臼齿的小鼠品系的发展。

本研究中我们主要为了表现牙齿信号中心活性的时间,空间和功能差异,这是由于牙齿图案化背后的激活抑制机制的差异调整引起的。
通过追踪它们的命运,我们可以解释为什么只有上第一磨牙通过其前部的伸长而做出反应。

尽管缺乏遗传变异,但细长菌株的个体在牙齿长度和信号中心的时间动态方面有所不同, 突出了上磨牙发育系统的内在不稳定性, 总的来说,我们的目的在于揭示鼠磨牙发育的变化特性,以便于这些特性推动了沿最小阻力线的形态进化。


DUHi和FVB摩尔形态的变化遵循抗性最小的小鼠进化系
为了将这两种菌株置于臼齿形状自然变化的背景下,我们比较了许多鼠群中第一磨牙的轮廓,包括来自野生的 Mus musculus homeus 和三种实验室菌株 (两种近交系:FVB,DUHi;一种远交菌株CD1) 。

我们对轮廓描述符(从2D轮廓的轮廓分析中获得,请参阅方法)进行了主成分分析(PCA), 作为一种不可知的方法(即它不会对潜在变化的形状做出强有力的假设) ,以揭示数据集中变化的主要方向,并直接比较摩尔长/宽比, 对于上磨牙和下磨牙, PCA的第一轴对比宽窄轮廓。
因此,这可以被认为是两颗牙齿轮廓变化的最重要方面,其形态范围从短,紧凑和圆形的牙齿到长而窄的牙齿。

然而,这种变化在上磨牙中更为明显(PCA UM1 = 62%,而不是PC1 LM1 = 46%的方差), 因为它还涉及集中在牙齿前部的变化,并且与前伸长的UM1相对。
这种变化对应于 Mus 属中上磨牙反复看到的进化趋势:前伸长甚至可以采取小的额外尖点的形式。
我们注意到,尽管轮廓描述符的PCA原则上可以区分这两种类型的变异,但事实并非如此, 这表明这两种类型的变异在上磨牙中是相关的(即前伸长发生在其他狭窄的臼齿中,而宽臼齿的前部很短) 。

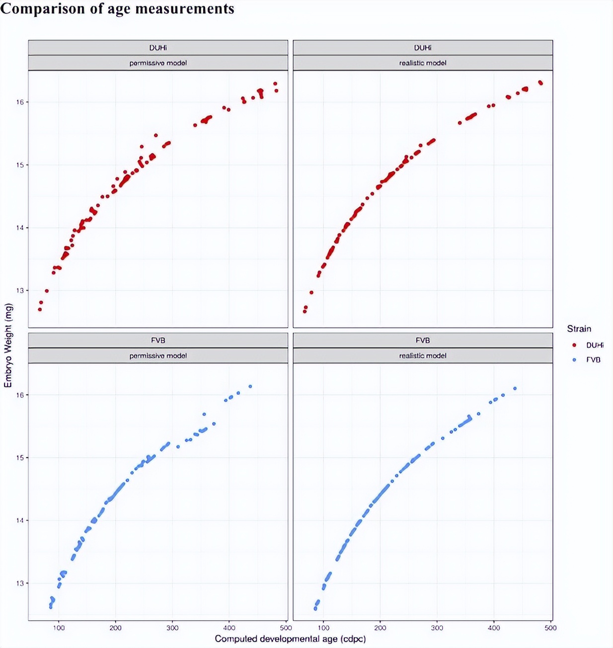
对数字胚胎年龄进行建模,以考虑应变间时序差异和系统的动态特性
为了比较发育中的臼齿的发育轨迹, 从所讨论的两种菌株(12.0至15.5 dpc) 的宽发育窗口采集胚胎样本。
对于每个菌株,每半天取样多个窝,由于窝内发育阶段的轻微变化,确保均匀覆盖, 考虑到系统的动态性质,需要对胚胎的胚胎年龄 (即反映胚胎发生进展的年龄)进行数字估计。

无论是以天为单位的年龄还是胚胎体重,都不能单独提供正确的估计,因此,在这项研究中, 我们设计了一种贝叶斯建模方法来计算每个胚胎的菌株特异性胚胎年龄 (后来称为cDPC),通过结合这两个信息。
这样的模型从数据中学习,还可以考虑应变差异, 而无需强加先验假设,因为该模型不包含有关实际阶段差异的信息, 因此我们估计cDPC 对于每种菌株,它不会纠正菌株之间的发育阶段差异,而是通过提供时间

这表明我们的结果在胚胎年龄估计中对噪声是稳健的,我们还使用直接从体重估计的胚胎年龄,本研究中显示的所有结果与这些估计相比都是稳健的, 尽管它们略有不同。

可能的发育状态范围和所采用的发育轨迹因菌株而异,尤其是上磨牙
我们继续比较DUHi和FVB下部和上部发育系统, 在颌骨和菌株中,我们在R2芽的信号中心看到Shh表达, 然后,该表达式逐渐消失,出现第二个表达点,代表早期M1信号中心。
随着发育进入牙帽过渡阶段,M1表达区的大小增加形成“成熟的M1信号中心”(在此过程中下颌和上颌之间的差异将在后面强调),牙齿继续发育。

对胚胎系列的简单检查表明信号中心的动力学存在差异,在DUHi小鼠的上颌骨中, 我们经常看到褪色的R2斑点与明显的M1斑点共同出现。
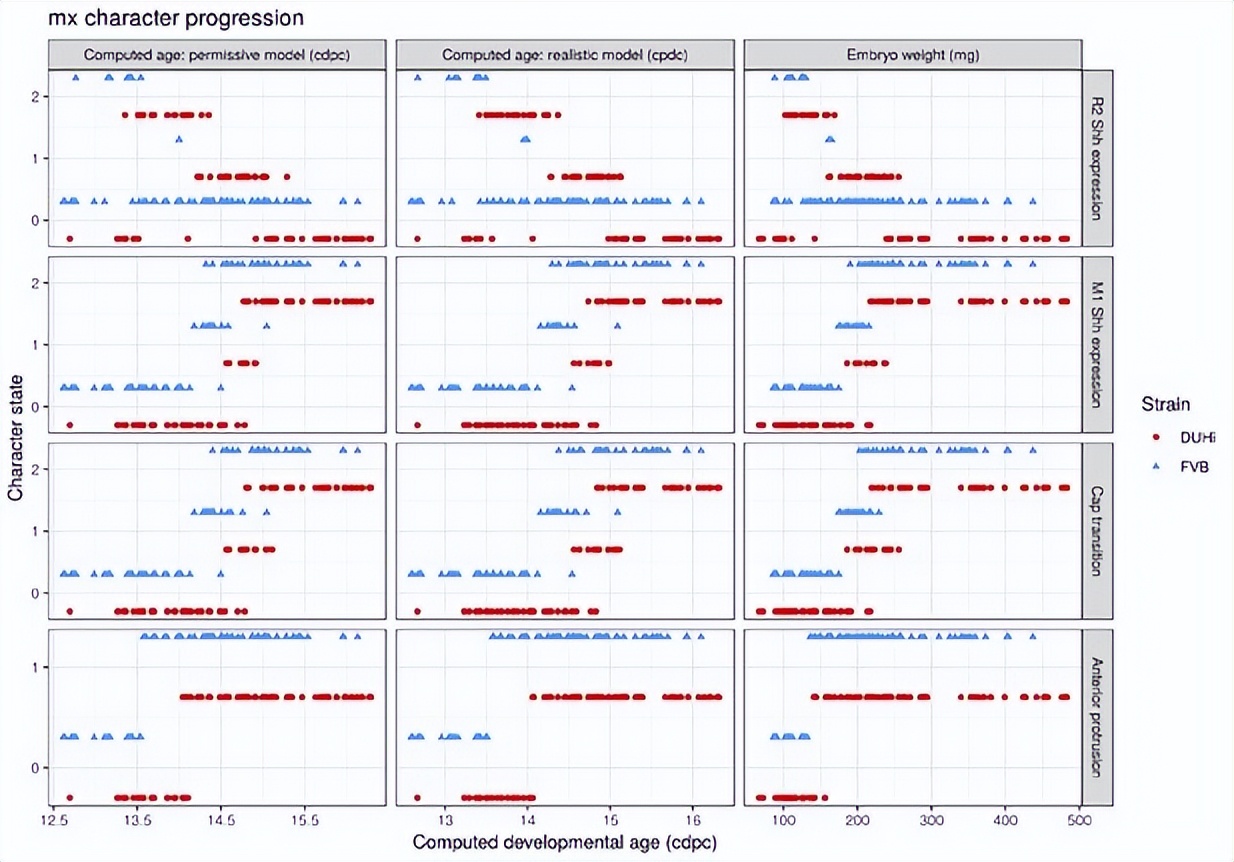
为了在下颌和菌株之间进行比较,我们继续以定量的方式检查发育。
对于cdpc中日期的每个样本,对2到1种可能状态的四个关键字符进行评分(字符是:前磨牙R1信号中心Shh的表达,M2信号中心 Shh 的表达,M1水平芽帽过渡的进展,以及R3水平的牙齿上皮突出。

然后,我们将这四个字符组合在一起,以计算每个样本的发育状态,从数学上讲,这产生了3种可能的牙齿上皮总状态,这可以概念化为理论上的“发育空间”,每个人都会在发育过程中移动。

但是,并非所有这些空间都被占用;观察到的状态数远小于理论上可能的数学最大值, 这是因为正常发展的展开对角色的状态转换和组合 施加了规则。
例如,从发育良好的牙帽过渡到芽似乎是不可能的,因为正常的牙齿发育是从芽到芽阶段,然而,在突变情况下,形态发生将被阻止,组织将开始退化,这仍然是可以想象的。

R1区无突起与帽过渡相结合是出乎意料的,因为R1在M<>之前发育。
结合大的Shh表达和没有帽转换也是出乎意料的 ,因为这个大表达式标志着PEK的存在,PEK驱动帽转换。

然而,同样在突变小鼠中,事情可能会发生不同的情况,因为正常的发育规则可能会被打破 (例如,尽管Shh表达正常,但PEK有缺陷), 这强调了发育空间的实际占用比例和通过该空间的轨迹是 给定基因型具有给定发育的特性。

DUHi 患者的前磨牙信号中枢持续时间比 FVB 上颌更长
然后,我们比较了两种菌株之间发育事件的时间,在上磨牙中,DUHi中的R2表达区比FVB中持续的时间更长(逻辑回归:R2信号中心活性的存在与计算的胚胎年龄有关,p<1.10E-8)。

R2和M1信号中枢经常同时出现在DUHi中, R2和成熟(大)M1信号中枢的共同出现仅在DUHi上磨牙中可见, 相比之下,仅在FVB小鼠中观察到早期M1信号中心没有R2信号中心。
逻辑回归还显示,M1斑点出现的时间在统计学上存在显着差异,M0斑点在DUHi中出现的时间比在FVB胚胎中出现的时间晚。

R1信号中心的持久性较长,DUHi小鼠上颌早期M2信号中心的出现较晚与更突出的R2芽有关, 如解离上皮所示,但也在牙胚的4D重建中。

在下颌,我们观察到类似的趋势,R2和M1信号中心偶尔仅在DUHi*共中**存,但从未在FVB*共中**存。
在这两种菌株中,较低的R2信号中心最终是称为pEK的成熟M1信号中心的一部分。

FVB和DUHi菌株在激活 - 抑制机制的平衡上有所不同
我们最近提出,作用在后向生长域中的激活抑制机制决定了R2信号中心的模式和命运,R2在DUHi小鼠中更大,寿命更长的发现表明,我们之前研究中提出的机制在两种菌株之间有所不同。
这可能是在不同的水平, 从后生长,成熟速率,间充质的影响或激活抑制机制本身。

下磨牙和上磨牙发育系统的动力学始终不同,无论应变如何
在之前的一项研究中,我们提出了CD1小鼠下摩尔和上摩尔发育系统之间的差异。
在这两种菌株中,我们发现与CD1小鼠相似的下颌 - 上颌差异,即1)R2 在上颌中的持续时间比在下颌中持续的时间更长, 通过对样品的Fisher精确测试进行测试,该样品具有同一胚胎的上颌和下颌数据(p = 0.04)。

2)M1 Shh 表达区在上颌和下颌的大小增加,但在下颌只有它包含R2信号中心的区域。
因此, 无论菌株之间激活抑制机制的差异, R2信号中心相对于M1信号中心的时空动力学和命运在两个颌骨之间都不同,这可以被认为是下部和上部发育系统的保守发育特性。

这可能是下颌和上颌发育系统对FVB和DUHi小鼠之间的相同遗传变化做出非线性反应的基础: R2信号中心持久性的增加可能更加强烈, 因为R2信号中心已经在上颌中更加持久,并且从与M1信号中心的早期融合中保存下来。

但是,为什么这只会导致上磨牙的前伸长呢?回答这个问题需要我们在两个颌骨之间进行比较, 以揭示R2芽如何对第一磨牙做出贡献。
。

进化轨迹不是随机的,而是倾向于采取首选路线,有几个因素可以解释这一点,其中包括发育系统在特定方向上变化的能力, 然后,变异通常遵循不同水平的相似趋势,从个体间差异到种群差异, 再到物种差异。

这支撑了进化“阻力最小线”或从发展系统规则推断的“进化可预测性”的概念。
然而, 它们很少通过直接检查发育系统的变化及其系统基础来测试,至少对于哺乳动物模型来说是这样, 在这里,我们使用了比较方法,重点关注显示进化相关变异的精细发育差异,以揭示形状变异背后的生成原理。

有趣的是,在小鼠臼齿发育中识别R2退化芽的存在是一个争论多年的问题,并且在首次鉴定R2的CD1菌株中,R2的瞬时和离散性要比FVB少得多,FVB需要更重的采样来捕捉短的发育窗口。
因此,菌株之间的差异很可能掩盖了辩论,总之,我们认为, 加强对发育变异的关注对于摆脱过于简单化的发育变异观点非常重要, 这种观点或多或少有意识地影响着我们的生物学实践。

引用
[1]阿布扎诺夫,(2013) 冯·贝尔时代定律:发育进化的失物招领原则
[2]桑德森,克莱因,(2010) 通过明智(Sostdc1)抑制wnt信号传导和来自shh的负反馈控制牙齿数量和模式
[3]阿尔伯奇,盖尔,(1985) 进化趋势的发展分析:两栖动物的数字减少