多动症治疗成效显著,EPA为专家强烈推荐
【文献解读】
目前还没有研究探讨内源性多不饱和脂肪酸(PUFAs)水平与PUFAs治疗反应之间的关系。2019年11月,伦敦国王学院和中华医科大学的研究团队进行了一项为期12周的双盲安慰剂对照试验,比较了大剂量二十碳五烯酸(EPA)和安慰剂对92名患有注意力缺陷多动障碍(ADHD)的青年认知功能的影响。并将实验结果发表在期刊《Translational Psychiatry》上。

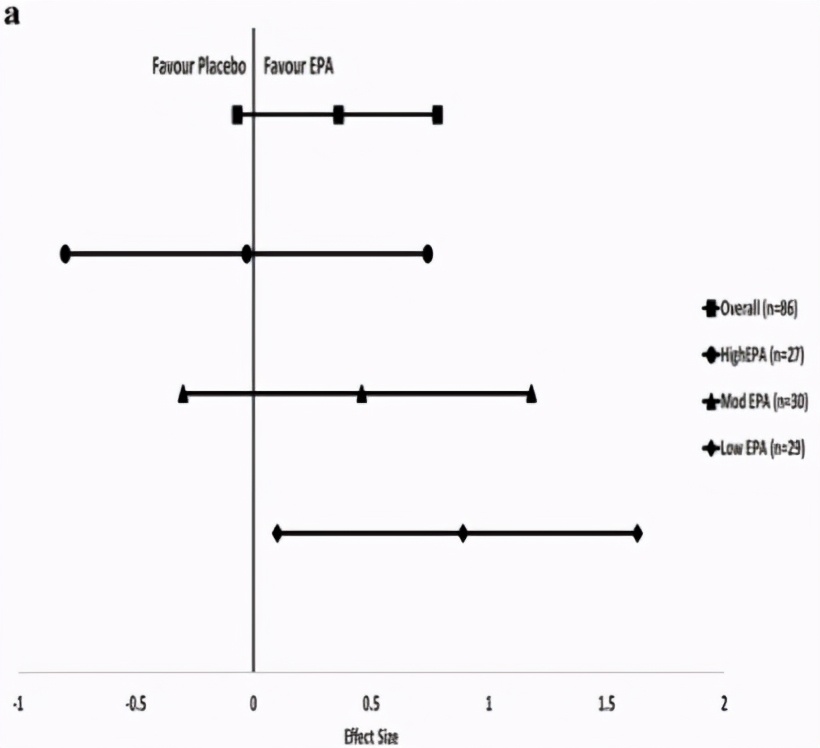
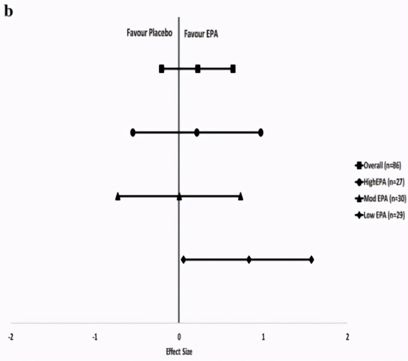
本试验主要检测治疗前后血红细胞PUFAs水平,观察基线内源性EPA水平对治疗反应的影响以及EPA治疗对PUFAs水平的影响。总体而言,EPA组在集中注意力上比安慰剂组改善得更多;在基线内源性EPA水平最低的年轻人中,EPA组在另一项集中注意力指标和警觉性方面比安慰剂组改善得更多。EPA治疗改善了内源性EPA水平较低ADHD青少年的认知症状。



注:EPA对认知功能的影响,a.注意力指标(HRT)b.警觉性(HRTISIC)C.冲动性方面(COM)
综上所述,他们的研究显示了EPA单一疗法对ADHD症状的一些益处。有专家提出EPA+DHA的联合策略可能会更有益,内源性多不饱和脂肪酸水平较低的儿童,应更强烈地倡导这一策略。这个结果可以为ADHD儿童带来“个性化治疗”的好处。
【文献节选】
We have compared the effects of EPA and placebo on cognitive and clinical symptoms of ADHD and on mechanistically-related biomarkers. Overall, EPA improves (more than placebo) focused attention at the CPT test, one of our main outcome measures. Moreover, youth with low endogenous EPA levels show even stronger effects of EPA in a further measure of attention (HRT) and in a measure of vigilance (HRTISIC), both improving more than in the placebo group. To our knowledge, this is the first study to report the effects of EPA monotherapy in ADHD, and the first study ever to use endogenous baseline PUFAs levels to stratify subjects in a PUFAs clinical trial. Further analyses indicate that EPA treatment in those with high endogenous EPA levels may actually have detrimental effects.